One Step Back from Bedside to the Bench—How Do Different Arterial Stiffness Parameters Behave in Relation to Peripheral Resistance?
Abstract
:1. Introduction
2. Materials and Methods
2.1. Study Population and Environmental Settings
2.2. Vascular Assessments
2.2.1. Oscillometric Method
2.2.2. Radial Artery Applanation Tonometry
2.2.3. Ultrasound-Based Methods
2.3. Study Design
2.4. Statistical Analysis
3. Results
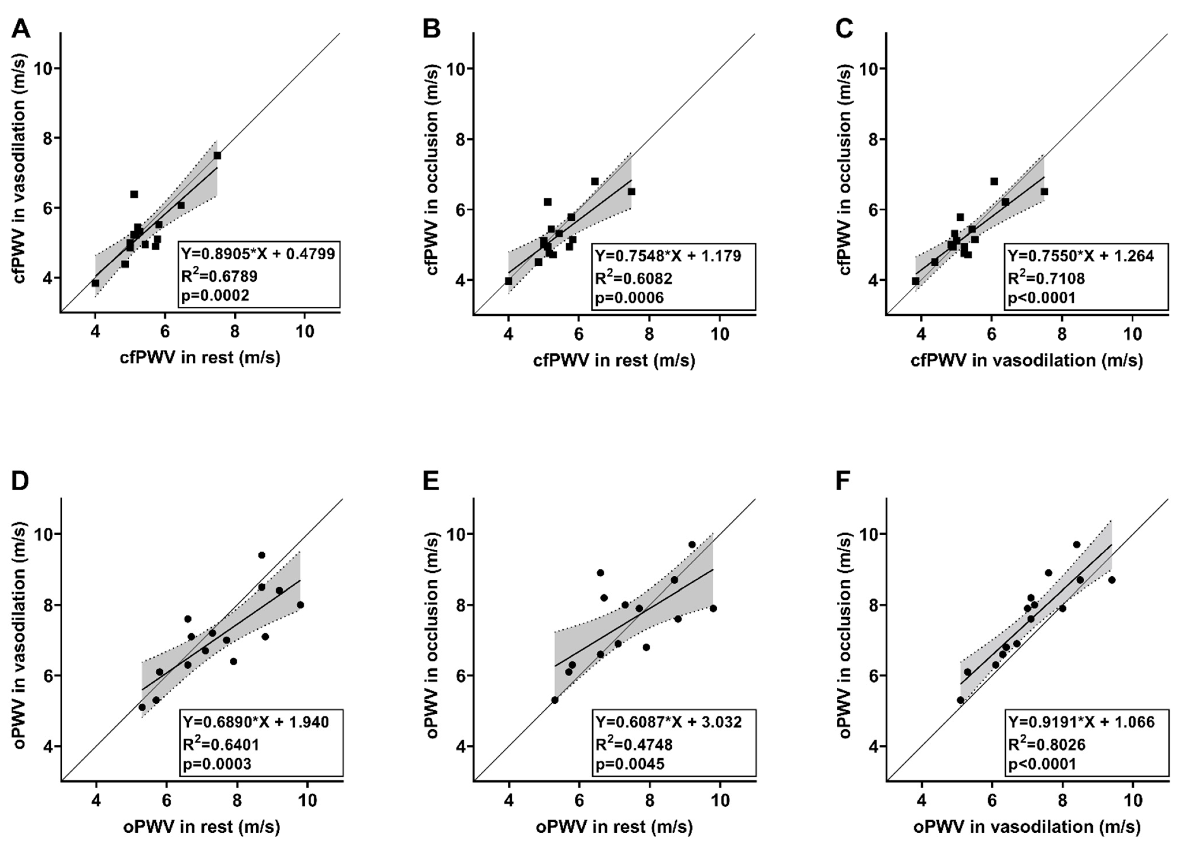
3.1. Direct Ultrasound Measurement
3.2. Indirect Oscillometric Method (Arteriograph)
3.3. Applanation Tonometry (Sphygmocor)
4. Discussion
5. Conclusions
Supplementary Materials
Author Contributions
Funding
Institutional Review Board Statement
Informed Consent Statement
Data Availability Statement
Acknowledgments
Conflicts of Interest
References
- Nelson, M.R.; Stepanek, J.; Cevette, M.; Covalciuc, M.; Hurst, R.T.; Tajik, A.J. Noninvasive Measurement of Central Vascular Pressures with Arterial Tonometry: Clinical Revival of the Pulse Pressure Waveform? Mayo Clin. Proc. 2010, 85, 460–472. [Google Scholar] [CrossRef]
- Boutouyrie, P.; Fliser, D.; Goldsmith, D.; Covic, A.; Wiecek, A.; Ortiz, A.; Martinez-Castelao, A.; Lindholm, B.; Massy, Z.A.; Suleymanlar, G.; et al. Assessment of Arterial Stiffness for Clinical and Epidemiological Studies: Methodological Considerations for Validation and Entry into the European Renal and Cardiovascular Medicine Registry. Nephrol. Dial. Transpl. 2014, 29, 232–239. [Google Scholar] [CrossRef] [PubMed]
- Mancia, G.; De Backer, G.; Dominiczak, A.; Cifkova, R.; Fagard, R.; Germano, G.; Grassi, G.; Heagerty, A.M.; Kjeldsen, S.E.; Laurent, S.; et al. 2007 Guidelines for the Management of Arterial Hypertension: The Task Force for the Management of Arterial Hypertension of the European Society of Hypertension (ESH) and of the European Society of Cardiology (ESC). J. Hypertens. 2007, 25, 1105–1187. [Google Scholar] [CrossRef]
- Williams, B.; Mancia, G.; Spiering, W.; Agabiti Rosei, E.; Azizi, M.; Burnier, M.; Clement, D.L.; Coca, A.; de Simone, G.; Dominiczak, A.; et al. 2018 ESC/ESH Guidelines for the Management of Arterial HypertensionThe Task Force for the Management of Arterial Hypertension of the European Society of Cardiology (ESC) and the European Society of Hypertension (ESH). Eur. Heart J. 2018, 39, 3021–3104. [Google Scholar] [CrossRef]
- Arnett, D.K.; Blumenthal, R.S.; Albert, M.A.; Buroker, A.B.; Goldberger, Z.D.; Hahn, E.J.; Himmelfarb, C.D.; Khera, A.; Lloyd-Jones, D.; McEvoy, J.W.; et al. 2019 ACC/AHA Guideline on the Primary Prevention of Cardiovascular Disease: Executive Summary: A Report of the American College of Cardiology/American Heart Association Task Force on Clinical Practice Guidelines. Circulation 2019, 140, e563–e595. [Google Scholar] [CrossRef] [PubMed]
- Visseren, F.L.J.; MacH, F.; Smulders, Y.M.; Carballo, D.; Koskinas, K.C.; Bäck, M.; Benetos, A.; Biffi, A.; Boavida, J.M.; Capodanno, D.; et al. 2021 ESC Guidelines on Cardiovascular Disease Prevention in Clinical Practice. Eur. Heart J. 2021, 42, 3227–3337. [Google Scholar] [CrossRef]
- Townsend, R.R.; Wilkinson, I.B.; Schiffrin, E.L.; Avolio, A.P.; Chirinos, J.A.; Cockcroft, J.R.; Heffernan, K.S.; Lakatta, E.G.; McEniery, C.M.; Mitchell, G.F.; et al. Recommendations for Improving and Standardizing Vascular Research on Arterial Stiffness: A Scientific Statement from the American Heart Association. Hypertension 2015, 66, 698–722. [Google Scholar] [CrossRef] [PubMed]
- Ben-Shlomo, Y.; Spears, M.; Boustred, C.; May, M.; Anderson, S.G.; Benjamin, E.J.; Boutouyrie, P.; Cameron, J.; Chen, C.H.; Cruickshank, J.K.; et al. Aortic Pulse Wave Velocity Improves Cardiovascular Event Prediction: An Individual Participant Meta-Analysis of Prospective Observational Data from 17,635 Subjects. J. Am. Coll. Cardiol. 2014, 63, 636–646. [Google Scholar] [CrossRef]
- Wilkinson, I.B.; Mäki-Petäjä, K.M.; Mitchell, G.F. Uses of Arterial Stiffness in Clinical Practice. Arterioscler. Thromb. Vasc. Biol. 2020, 40, 1063–1067. [Google Scholar] [CrossRef] [PubMed]
- O’Rourke, M.F. Basic Concepts for the Understanding of Large Arteries in Hypertension. J. Cardiovasc. Pharmacol. 1985, 7 (Suppl. S2), S14–S21. [Google Scholar] [CrossRef]
- Segers, P.; Rietzschel, E.R.; Chirinos, J.A. How to Measure Arterial Stiffness in Humans. Arterioscler. Thromb. Vasc. Biol. 2020, 40, 1034–1043. [Google Scholar] [CrossRef]
- Zhou, S.; Xu, L.; Hao, L.; Xiao, H.; Yao, Y.; Qi, L.; Yao, Y. A Review on Low-Dimensional Physics-Based Models of Systemic Arteries: Application to Estimation of Central Aortic Pressure. Biomed. Eng. Online 2019, 18, 41. [Google Scholar] [CrossRef] [PubMed]
- Soltész, P.; Dér, H.; Kerekes, G.; Szodoray, P.; Szücs, G.; Dankó, K.; Shoenfeld, Y.; Szegedi, G.; Szekanecz, Z. A Comparative Study of Arterial Stiffness, Flow-Mediated Vasodilation of the Brachial Artery, and the Thickness of the Carotid Artery Intima-Media in Patients with Systemic Autoimmune Diseases. Clin. Rheumatol. 2009, 28, 655–662. [Google Scholar] [CrossRef]
- Karamanoglu, M.; O’Rourke, M.F.; Avolio, A.P.; Kelly, R.P. An Analysis of the Relationship between Central Aortic and Peripheral Upper Limb Pressure Waves in Man. Eur. Heart J. 1993, 14, 160–167. [Google Scholar] [CrossRef] [PubMed]
- Chen, C.H.; Nevo, E.; Fetics, B.; Pak, P.H.; Yin, F.C.P.; Maughan, W.L.; Kass, D.A. Estimation of Central Aortic Pressure Waveform by Mathematical Transformation of Radial Tonometry Pressure. Validation of Generalized Transfer Function. Circulation 1997, 95, 1827–1836. [Google Scholar] [CrossRef]
- Pauca, A.L.; O’Rourke, M.F.; Kon, N.D. Prospective Evaluation of a Method for Estimating Ascending Aortic Pressure from the Radial Artery Pressure Waveform. Hypertension 2001, 38, 932–937. [Google Scholar] [CrossRef] [PubMed]
- Timár, O.; Szekanecz, Z.; Kerekes, G.; Végh, J.; Oláh, A.V.; Nagy, G.; Csiki, Z.; Dankó, K.; Szamosi, S.; Németh, Á.; et al. Rosuvastatin Improves Impaired Endothelial Function, Lowers High Sensitivity CRP, Complement and Immuncomplex Production in Patients with Systemic Sclerosis—A Prospective Case-Series Study. Arthritis Res. Ther. 2013, 15, R105. [Google Scholar] [CrossRef]
- Gamble, G.; Zorn, J.; Sanders, G.; MacMahon, S.; Sharpe, N. Estimation of Arterial Stiffness, Compliance, and Distensibility from M-Mode Ultrasound Measurements of the Common Carotid Artery. Stroke 1994, 25, 11–16. [Google Scholar] [CrossRef]
- Waring, W.S.; Sinclair, H.M.; Webb, D.J. Effects of Salbutamol and Glyceryl Trinitrate on Large Arterial Stiffness Are Similar between Patients with Hypertension and Adults with Normal Blood Pressure. Br. J. Clin. Pharmacol. 2006, 62, 621–626. [Google Scholar] [CrossRef]
- McEniery, C.M.; Wallace, S.; MacKenzie, I.S.; McDonnell, B.; Newby, D.E.; Cockcroft, J.R.; Wilkinson, I.B. Endothelial Function Is Associated with Pulse Pressure, Pulse Wave Velocity, and Augmentation Index in Healthy Humans. Hypertension 2006, 48, 602–608. [Google Scholar] [CrossRef]
- Heffernan, K.S.; Lefferts, W.K.; Kasprowicz, A.G.; Tarzia, B.J.; Thijssen, D.H.; Brutsaert, T.D. Manipulation of Arterial Stiffness, Wave Reflections, and Retrograde Shear Rate in the Femoral Artery Using Lower Limb External Compression. Physiol. Rep. 2013, 1, e00022. [Google Scholar] [CrossRef]
- Stone, K.; Fryer, S.; Faulkner, J.; Meyer, M.L.; Zieff, G.; Paterson, C.; Burnet, K.; Kelsch, E.; Credeur, D.; Lambrick, D.; et al. Acute Changes in Carotid-Femoral Pulse-Wave Velocity Are Tracked by Heart-Femoral Pulse-Wave Velocity. Front. Cardiovasc. Med. 2021, 7, 592834. [Google Scholar] [CrossRef]
- Steppan, J.; Sikka, G.; Hori, D.; Nyhan, D.; Berkowitz, D.E.; Gottschalk, A.; Barodka, V. Seeking a Blood Pressure-Independent Measure of Vascular Properties. Hypertens. Res. 2015, 39, 27–38. [Google Scholar] [CrossRef]
- Giudici, A.; Palombo, C.; Kozakova, M.; Morizzo, C.; Penno, G.; Jamagidze, G.; Della Latta, D.; Chiappino, D.; Cruickshank, J.K.; Khir, A.W. Noninvasive Carotid Pressure-Diameter Loops to Identify Viscoelastic Properties in Ageing, Hypertension and Type 2 Diabetes. J. Hypertens. 2021, 39, 2307–2317. [Google Scholar] [CrossRef]
- Pewowaruk, R.J.; Tedla, Y.; Korcarz, C.E.; Tattersall, M.C.; Stein, J.H.; Chesler, N.C.; Gepner, A.D. Carotid Artery Stiffening with Aging: Structural Versus Load-Dependent Mechanisms in MESA (the Multi-Ethnic Study of Atherosclerosis). Hypertension 2022, 79, 150–158. [Google Scholar] [CrossRef]
- Pewowaruk, R.J.; Hein, A.J.; Hansen, K.M.; Barnes, J.N.; Chesler, N.C.; Korcarz, C.E.; Gepner, A.D. Exercise Increases Arterial Stiffness Independent of Blood Pressure in Older Veterans. J. Hypertens. 2023, 41, 316–325. [Google Scholar] [CrossRef] [PubMed]
- Vlachopoulos, C.; Aznaouridis, K.; Stefanadis, C. Prediction of Cardiovascular Events and All-Cause Mortality with Arterial Stiffness: A Systematic Review and Meta-Analysis. J. Am. Coll. Cardiol. 2010, 55, 1318–1327. [Google Scholar] [CrossRef] [PubMed]
- Horikoshi, Y.; Katsuda, S.I.; Fujikura, Y.; Hazama, A.; Shimura, H.; Shimizu, T.; Shirai, K. Opposing Responses of the Calcium Channel Blocker Nicardipine to Vascular Stiffness in the Elastic and Muscular Arteries in Rabbits. J. Atheroscler. Thromb. 2021, 28, 1340–1348. [Google Scholar] [CrossRef] [PubMed]
- Katsuda, S.I.; Fujikura, Y.; Horikoshi, Y.; Hazama, A.; Shimizu, T.; Shirai, K. Different Responses of Arterial Stiffness between the Aorta and the Iliofemoral Artery during the Administration of Phentolamine and Atenolol in Rabbits. J. Atheroscler. Thromb. 2021, 28, 611–621. [Google Scholar] [CrossRef]
- Sasaki, H.; Saiki, A.; Endo, K.; Ban, N.; Yamaguchi, T.; Kawana, H.; Nagayama, D.; Ohhira, M.; Oyama, T.; Miyashita, Y.; et al. Protective Effects of Efonidipine, a T- and L-Type Calcium Channel Blocker, on Renal Function and Arterial Stiffness in Type 2 Diabetic Patients with Hypertension and Nephropathy. J. Atheroscler. Thromb. 2009, 16, 568–575. [Google Scholar] [CrossRef] [PubMed]
- Mynard, J.P.; Kondiboyina, A.; Kowalski, R.; Cheung, M.M.H.; Smolich, J.J. Measurement, Analysis and Interpretation of Pressure/Flow Waves in Blood Vessels. Front. Physiol. 2020, 11, 1085. [Google Scholar] [CrossRef] [PubMed]
- O’Rourke, M.F.; Staessen, J.A.; Vlachopoulos, C.; Duprez, D.; Plante, G.E. Clinical Applications of Arterial Stiffness; Definitions and Reference Values. Am. J. Hypertens. 2002, 15, 426–444. [Google Scholar] [CrossRef]
- Angoff, R.; Mosarla, R.C.; Tsao, C.W. Aortic Stiffness: Epidemiology, Risk Factors, and Relevant Biomarkers. Front. Cardiovasc. Med. 2021, 8, 709396. [Google Scholar] [CrossRef]
- Kerekes, G.; Soltész, P.; Nurmohamed, M.T.; Gonzalez-Gay, M.A.; Turiel, M.; Végh, E.; Shoenfeld, Y.; McInnes, I.; Szekanecz, Z. Validated Methods for Assessment of Subclinical Atherosclerosis in Rheumatology. Nat. Rev. Rheumatol. 2012, 8, 224–234. [Google Scholar] [CrossRef] [PubMed]
- Sharman, J.E.; Lim, R.; Qasem, A.M.; Coombes, J.S.; Burgess, M.I.; Franco, J.; Garrahy, P.; Wilkinson, I.B.; Marwick, T.H. Validation of a Generalized Transfer Function to Noninvasively Derive Central Blood Pressure during Exercise. Hypertension 2006, 47, 1203–1208. [Google Scholar] [CrossRef] [PubMed]
- Horváth, I.G.; Németh, Á.; Lenkey, Z.; Alessandri, N.; Tufano, F.; Kis, P.; Gaszner, B.; Cziráki, A. Invasive Validation of a New Oscillometric Device (Arteriograph) for Measuring Augmentation Index, Central Blood Pressure and Aortic Pulse Wave Velocity. J. Hypertens. 2010, 28, 2068–2075. [Google Scholar] [CrossRef]




| Parameter | Measurement | p-Value | |||||||
|---|---|---|---|---|---|---|---|---|---|
| Rest | Vasodilation | Occlusion | R vs. V | R vs. O | V vs. O | ||||
| Mean | ±SD | Mean | ±SD | Mean | ±SD | ||||
| Oscillometric method | |||||||||
| Systolic BP (mmHg) | 139.20 | 14.62 | 133.80 | 14.21 | 137.10 | 16.15 | 0.01 | 0.38 | 0.07 |
| Diastolic BP (mmHg) | 75.90 | 10.65 | 69.40 | 11.02 | 75.10 | 8.12 | 0.01 | 0.71 | 0.04 |
| Pulse pressure (mmHg) | 63.30 | 10.05 | 64.40 | 10.24 | 62.00 | 12.46 | 0.60 | 0.34 | 0.23 |
| Augmentation index | 5.30 | 8.74 | 2.60 | 4.57 | 5.80 | 6.32 | 0.24 | 0.80 | <0.01 |
| Reflection time (msec) | 152.90 | 25.25 | 160.10 | 21.81 | 149.50 | 19.68 | 0.09 | 0.50 | <0.01 |
| Pulse wave velocity (m/s) | 7.46 | 1.37 | 7.10 | 1.18 | 7.60 | 1.21 | 0.05 | 0.68 | <0.001 |
| Ultrasound-based PWV | |||||||||
| cfPWV (m/s) | 5.43 | 0.79 | 5.32 | 0.86 | 5.28 | 0.77 | 0.38 | 0.27 | 0.76 |
| Applanation tonometry | |||||||||
| Systolic BP (mmHg) | 104.30 | 6.82 | 102.90 | 6.02 | 104.10 | 6.10 | 0.20 | 0.66 | 0.04 |
| Diastolic BP (mmHg) | 78.50 | 5.48 | 77.90 | 5.09 | 77.80 | 5.05 | 0.13 | 0.14 | 0.48 |
| Pulse pressure (mmHg) | 25.90 | 5.63 | 25.00 | 4.58 | 26.30 | 5.39 | 0.11 | 0.15 | 0.01 |
| HR-corrected Aix | 7.30 | 9.62 | −4.70 | 12.02 | 4.70 | 10.05 | <0.01 | 0.31 | 0.01 |
| Reflection time (msec) | 150.90 | 20.65 | 161.10 | 22.55 | 149.90 | 14.99 | 0.39 | 0.73 | 0.13 |
| Carotid distensibility | |||||||||
| Distensibility coefficient (10,000/mmHg) | 5.07 | 1.59 | 5.06 | 1.99 | 4.95 | 1.91 | 0.88 | 0.30 | 0.82 |
Disclaimer/Publisher’s Note: The statements, opinions and data contained in all publications are solely those of the individual author(s) and contributor(s) and not of MDPI and/or the editor(s). MDPI and/or the editor(s) disclaim responsibility for any injury to people or property resulting from any ideas, methods, instructions or products referred to in the content. |
© 2023 by the authors. Licensee MDPI, Basel, Switzerland. This article is an open access article distributed under the terms and conditions of the Creative Commons Attribution (CC BY) license (https://creativecommons.org/licenses/by/4.0/).
Share and Cite
Obajed Al-Ali, N.; Tóth, S.R.; Váróczy, L.; Pinczés, L.I.; Soltész, P.; Szekanecz, Z.; Kerekes, G. One Step Back from Bedside to the Bench—How Do Different Arterial Stiffness Parameters Behave in Relation to Peripheral Resistance? Diagnostics 2023, 13, 2897. https://doi.org/10.3390/diagnostics13182897
Obajed Al-Ali N, Tóth SR, Váróczy L, Pinczés LI, Soltész P, Szekanecz Z, Kerekes G. One Step Back from Bedside to the Bench—How Do Different Arterial Stiffness Parameters Behave in Relation to Peripheral Resistance? Diagnostics. 2023; 13(18):2897. https://doi.org/10.3390/diagnostics13182897
Chicago/Turabian StyleObajed Al-Ali, Nóra, Sára Rebeka Tóth, László Váróczy, László Imre Pinczés, Pál Soltész, Zoltán Szekanecz, and György Kerekes. 2023. "One Step Back from Bedside to the Bench—How Do Different Arterial Stiffness Parameters Behave in Relation to Peripheral Resistance?" Diagnostics 13, no. 18: 2897. https://doi.org/10.3390/diagnostics13182897
APA StyleObajed Al-Ali, N., Tóth, S. R., Váróczy, L., Pinczés, L. I., Soltész, P., Szekanecz, Z., & Kerekes, G. (2023). One Step Back from Bedside to the Bench—How Do Different Arterial Stiffness Parameters Behave in Relation to Peripheral Resistance? Diagnostics, 13(18), 2897. https://doi.org/10.3390/diagnostics13182897

