Comparative Study of Ablation Zone of EMPRINT HP Microwave Device with Contemporary 2.4 GHz Microwave Devices in an Ex Vivo Porcine Liver Model
Abstract
:1. Introduction
2. Materials and Methods
3. Results
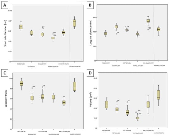
3.1. Comparison of Maximum System Setting (Protocols 1–6)
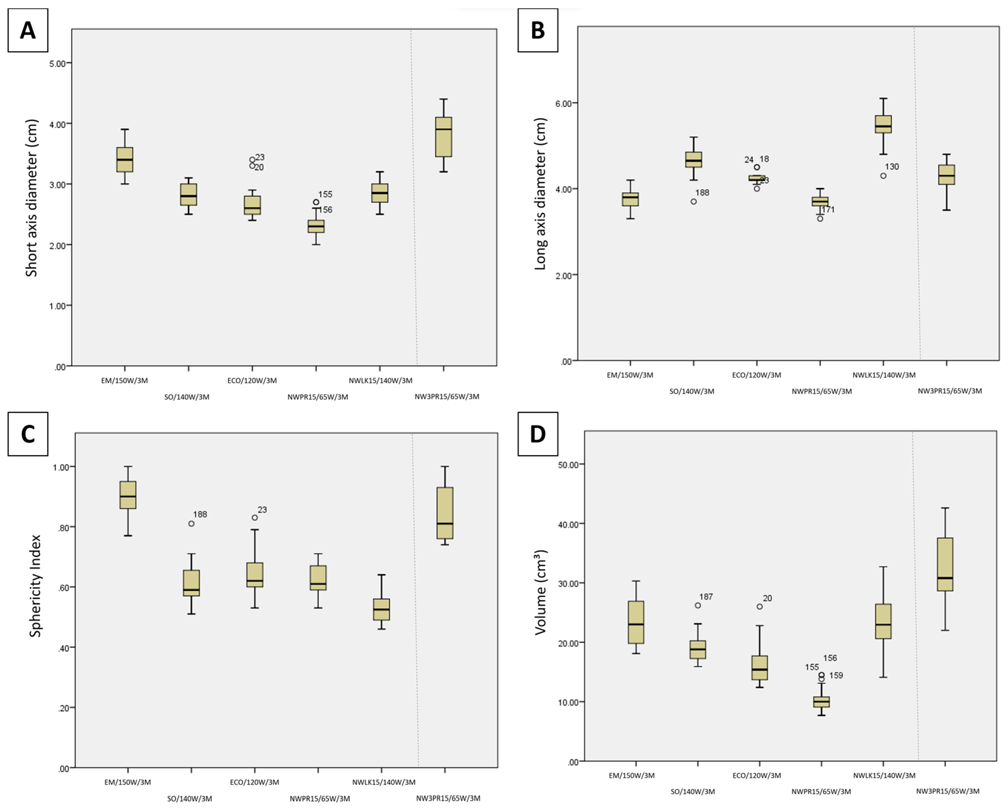
3.2. Comparison of 3 min Setting (Protocols 7–12)
4. Discussion
5. Conclusions
Author Contributions
Funding
Institutional Review Board Statement
Informed Consent Statement
Data Availability Statement
Acknowledgments
Conflicts of Interest
References
- European Association for the Study of the Liver. EASL Clinical Practice Guidelines: Management of hepatocellular carcinoma. J. Hepatol. 2018, 69, 182–236. [Google Scholar] [CrossRef]
- Vogel, A.; Cervantes, A.; Chau, I.; Daniele, B.; Llovet, J.M.; Meyer, T.; Nault, J.C.; Neumann, U.; Ricke, J.; Sangro, B.; et al. Hepatocellular carcinoma: ESMO Clinical Practice Guidelines for diagnosis, treatment and follow-up. Ann. Oncol. 2018, 29, iv238–iv255. [Google Scholar] [CrossRef]
- Gillams, A.; Goldberg, N.; Ahmed, M.; Bale, R.; Breen, D.; Callstrom, M.; Chen, M.H.; Choi, B.I.; de Baere, T.; Dupuy, D.; et al. Thermal ablation of colorectal liver metastases: A position paper by an international panel of ablation experts, The Interventional Oncology Sans Frontieres meeting 2013. Eur. Radiol. 2015, 25, 3438–3454. [Google Scholar] [CrossRef]
- Brace, C.L. Microwave ablation technology: What every user should know. Curr. Probl. Diagn. Radiol. 2009, 38, 61–67. [Google Scholar] [CrossRef] [PubMed]
- Poulou, L.S.; Botsa, E.; Thanou, I.; Ziakas, P.D.; Thanos, L. Percutaneous microwave ablation vs. radiofrequency ablation in the treatment of hepatocellular carcinoma. World J. Hepatol. 2015, 7, 1054–1063. [Google Scholar] [CrossRef] [PubMed]
- Alonzo, M.; Bos, A.; Bennett, S.; Ferral, H. The Emprint Ablation System with Thermosphere Technology: One of the Newer Next-Generation Microwave Ablation Technologies. Semin. Intervent. Radiol. 2015, 32, 335–338. [Google Scholar] [CrossRef] [PubMed]
- Hoffmann, R.; Rempp, H.; Erhard, L.; Blumenstock, G.; Pereira, P.L.; Claussen, C.D.; Clasen, S. Comparison of four microwave ablation devices: An experimental study in ex vivo bovine liver. Radiology 2013, 268, 89–97. [Google Scholar] [CrossRef]
- Ahmed, M.; Solbiati, L.; Brace, C.L.; Breen, D.J.; Callstrom, M.R.; Charboneau, J.W.; Chen, M.H.; Choi, B.I.; de Baere, T.; Dodd, G.D., III; et al. Image-guided tumor ablation: Standardization of terminology and reporting criteria—A 10-year update. Radiology 2014, 273, 241–260. [Google Scholar] [CrossRef]
- Wang, X.; Sofocleous, C.T.; Erinjeri, J.P.; Petre, E.N.; Gonen, M.; Do, K.G.; Brown, K.T.; Covey, A.M.; Brody, L.A.; Alago, W.; et al. Margin size is an independent predictor of local tumor progression after ablation of colon cancer liver metastases. Cardiovasc. Intervent. Radiol. 2013, 36, 166–175. [Google Scholar] [CrossRef]
- Berber, E.; Siperstein, A. Local recurrence after laparoscopic radiofrequency ablation of liver tumors: An analysis of 1032 tumors. Ann. Surg. Oncol. 2008, 15, 2757–2764. [Google Scholar] [CrossRef]
- Ayav, A.; Germain, A.; Marchal, F.; Tierris, I.; Laurent, V.; Bazin, C.; Yuan, Y.; Robert, L.; Brunaud, L.; Bresler, L. Radiofrequency ablation of unresectable liver tumors: Factors associated with incomplete ablation or local recurrence. Am. J. Surg. 2010, 200, 435–439. [Google Scholar] [CrossRef] [PubMed]
- Kim, Y.S.; Rhim, H.; Cho, O.K.; Koh, B.H.; Kim, Y. Intrahepatic recurrence after percutaneous radiofrequency ablation of hepatocellular carcinoma: Analysis of the pattern and risk factors. Eur. J. Radiol. 2006, 59, 432–441. [Google Scholar] [CrossRef] [PubMed]
- Mulier, S.; Ni, Y.; Jamart, J.; Ruers, T.; Marchal, G.; Michel, L. Local recurrence after hepatic radiofrequency coagulation: Multivariate meta-analysis and review of contributing factors. Ann. Surg. 2005, 242, 158–171. [Google Scholar] [CrossRef] [PubMed]
- Liu, C.H.; Arellano, R.S.; Uppot, R.N.; Samir, A.E.; Gervais, D.A.; Mueller, P.R. Radiofrequency ablation of hepatic tumours: Effect of post-ablation margin on local tumour progression. Eur. Radiol. 2010, 20, 877–885. [Google Scholar] [CrossRef] [PubMed]
- Vogl, T.J.; Basten, L.M.; Nour-Eldin, N.A.; Kaltenbach, B.; Bodelle, B.; Wichmann, J.L.; Ackermann, H.; Naguib, N.N.N. Evaluation of microwave ablation of liver malignancy with enabled constant spatial energy control to achieve a predictable spherical ablation zone. Int. J. Hyperth. 2018, 34, 492–500. [Google Scholar] [CrossRef]
- Hendriks, P.; Berkhout, W.E.M.; Kaanen, C.I.; Sluijter, J.H.; Visser, I.J.; van den Dobbelsteen, J.J.; de Geus-Oei, L.F.; Webb, A.G.; Burgmans, M.C. Performance of the Emprint and Amica Microwave Ablation Systems in ex vivo Porcine Livers: Sphericity and Reproducibility Versus Size. Cardiovasc. Intervent. Radiol. 2021, 44, 952–958. [Google Scholar] [CrossRef]
- Berber, E. Laparoscopic microwave thermosphere ablation of malignant liver tumors: An initial clinical evaluation. Surg. Endosc. 2016, 30, 692–698. [Google Scholar] [CrossRef]
- Zaidi, N.; Okoh, A.; Yigitbas, H.; Yazici, P.; Ali, N.; Berber, E. Laparoscopic microwave thermosphere ablation of malignant liver tumors: An analysis of 53 cases. J. Surg. Oncol. 2016, 113, 130–134. [Google Scholar] [CrossRef]
- Harari, C.M.; Magagna, M.; Bedoya, M.; Lee, F.T., Jr.; Lubner, M.G.; Hinshaw, J.L.; Ziemlewicz, T.; Brace, C.L. Microwave Ablation: Comparison of Simultaneous and Sequential Activation of Multiple Antennas in Liver Model Systems. Radiology 2016, 278, 95–103. [Google Scholar] [CrossRef]
- Ruiter, S.J.S.; Heerink, W.J.; de Jong, K.P. Liver microwave ablation: A systematic review of various FDA-approved systems. Eur. Radiol. 2019, 29, 4026–4035. [Google Scholar] [CrossRef]
- Hui, T.C.H.; Brace, C.L.; Hinshaw, J.L.; Quek, L.H.H.; Huang, I.K.H.; Kwan, J.; Lim, G.H.T.; Lee, F.T., Jr.; Pua, U. Microwave ablation of the liver in a live porcine model: The impact of power, time and total energy on ablation zone size and shape. Int. J. Hyperth. 2020, 37, 668–676. [Google Scholar] [CrossRef] [PubMed]
- Bedoya, M.; del Rio, A.M.; Chiang, J.; Brace, C.L. Microwave ablation energy delivery: Influence of power pulsing on ablation results in an ex vivo and in vivo liver model. Med. Phys. 2014, 41, 123301. [Google Scholar] [CrossRef]
- Radosevic, A.; Prieto, D.; Burdio, F.; Berjano, E.; Prakash, P.; Trujillo, M. Short pulsed microwave ablation: Computer modeling and ex vivo experiments. Int. J. Hyperth. 2021, 38, 409–420. [Google Scholar] [CrossRef]
- Lee, J.; Rhim, H.; Lee, M.W.; Kang, T.W.; Song, K.D.; Lee, J.K. Direction of Tissue Contraction after Microwave Ablation: A Comparative Experimental Study in Ex Vivo Bovine Liver. Korean J. Radiol. 2022, 23, 42–51. [Google Scholar] [CrossRef]
- Amabile, C.; Farina, L.; Lopresto, V.; Pinto, R.; Cassarino, S.; Tosoratti, N.; Goldberg, S.N.; Cavagnaro, M. Tissue shrinkage in microwave ablation of liver: An ex vivo predictive model. Int. J. Hyperth. 2017, 33, 101–109. [Google Scholar] [CrossRef] [PubMed]




| No. | Generator | Antenna | Power (W) | Time (min) | Label | n |
|---|---|---|---|---|---|---|
| 1 | Emprint HP CAGENHP | CA15L2, 15 cm | 150 | 10 | EM/150 W/10 M | 17 |
| 2 | Solero H78712740000US0 | H787700106001US0, 14 cm | 140 | 6 | SO/140 W/6 M | 15 |
| 3 | Eco ECO-100E2 | ECO-100CL8C, 14 GX15 cm | 120 | 10 | ECO/120 W/10 M | 15 |
| 4 | Neuwave NWC1US1N | Neuwave PR15, 15 cm | 65 | 10 | NWPR/65 W/1 0M | 19 |
| 5 | Neuwave NWC1US1N | Neuwave LK15, 15 cm | 140 | 10 | NWLK/140 W/10 M | 16 |
| 6 | Neuwave NWC1US1N | 3× Neuwave PR15, 15 cm | 65 | 10 | NW3PR/65 W/10 M | 13 |
| 7 | Emprint HP CAGENHP | CA15L2, 15 cm | 150 | 3 | EM/150 W/3 M | 25 |
| 8 | Solero H78712740000US0 | H787700106001US0, 14 cm | 140 | 3 | SO/140 W/3 M | 16 |
| 9 | Eco ECO-100E2 | ECO-100CL8C, 14 G, 15 cm | 120 | 3 | ECO/120 W/3 M | 14 |
| 10 | Neuwave NWC1US1N | Neuwave PR15, 15 cm | 65 | 3 | NWPR/65 W/3 M | 21 |
| 11 | Neuwave NWC1US1N | Neuwave LK15, 15 cm | 140 | 3 | NWLK/140 W/3 M | 18 |
| 12 | Neuwave NWC1US1N | 3× Neuwave PR15, 15 cm | 65 | 3 | NW3PR/65 W/3 M | 15 |
| System | SI of Max | SI of 3 min | p-Value |
|---|---|---|---|
| Emprint | 0.90 | 0.90 | 0.995 |
| Solero | 0.59 | 0.59 | 0.806 |
| Eco | 0.75 | 0.62 | 0.066 |
| Neuwave PR15 | 0.70 | 0.61 | 0.090 |
| Neuwave LK15 | 0.57 | 0.53 | 0.363 |
| Neuwave 3× PR15 | 0.84 | 0.81 | 0.985 |
Disclaimer/Publisher’s Note: The statements, opinions and data contained in all publications are solely those of the individual author(s) and contributor(s) and not of MDPI and/or the editor(s). MDPI and/or the editor(s) disclaim responsibility for any injury to people or property resulting from any ideas, methods, instructions or products referred to in the content. |
© 2023 by the authors. Licensee MDPI, Basel, Switzerland. This article is an open access article distributed under the terms and conditions of the Creative Commons Attribution (CC BY) license (https://creativecommons.org/licenses/by/4.0/).
Share and Cite
Hui, T.C.H.; How, G.Y.; Chim, M.S.M.; Pua, U. Comparative Study of Ablation Zone of EMPRINT HP Microwave Device with Contemporary 2.4 GHz Microwave Devices in an Ex Vivo Porcine Liver Model. Diagnostics 2023, 13, 2702. https://doi.org/10.3390/diagnostics13162702
Hui TCH, How GY, Chim MSM, Pua U. Comparative Study of Ablation Zone of EMPRINT HP Microwave Device with Contemporary 2.4 GHz Microwave Devices in an Ex Vivo Porcine Liver Model. Diagnostics. 2023; 13(16):2702. https://doi.org/10.3390/diagnostics13162702
Chicago/Turabian StyleHui, Terrence C. H., Guo Yuan How, Michelle S. M. Chim, and Uei Pua. 2023. "Comparative Study of Ablation Zone of EMPRINT HP Microwave Device with Contemporary 2.4 GHz Microwave Devices in an Ex Vivo Porcine Liver Model" Diagnostics 13, no. 16: 2702. https://doi.org/10.3390/diagnostics13162702
APA StyleHui, T. C. H., How, G. Y., Chim, M. S. M., & Pua, U. (2023). Comparative Study of Ablation Zone of EMPRINT HP Microwave Device with Contemporary 2.4 GHz Microwave Devices in an Ex Vivo Porcine Liver Model. Diagnostics, 13(16), 2702. https://doi.org/10.3390/diagnostics13162702

