Inflammatory Ratios as Survival Prognostic Factors in Resectable Gastric Adenocarcinoma
Abstract
1. Introduction
2. Materials and Methods
2.1. Study Design
2.2. Participants
2.3. Variables, Data Collection, and Follow-Up
2.4. Statistical Analysis
2.5. Ethical Statement
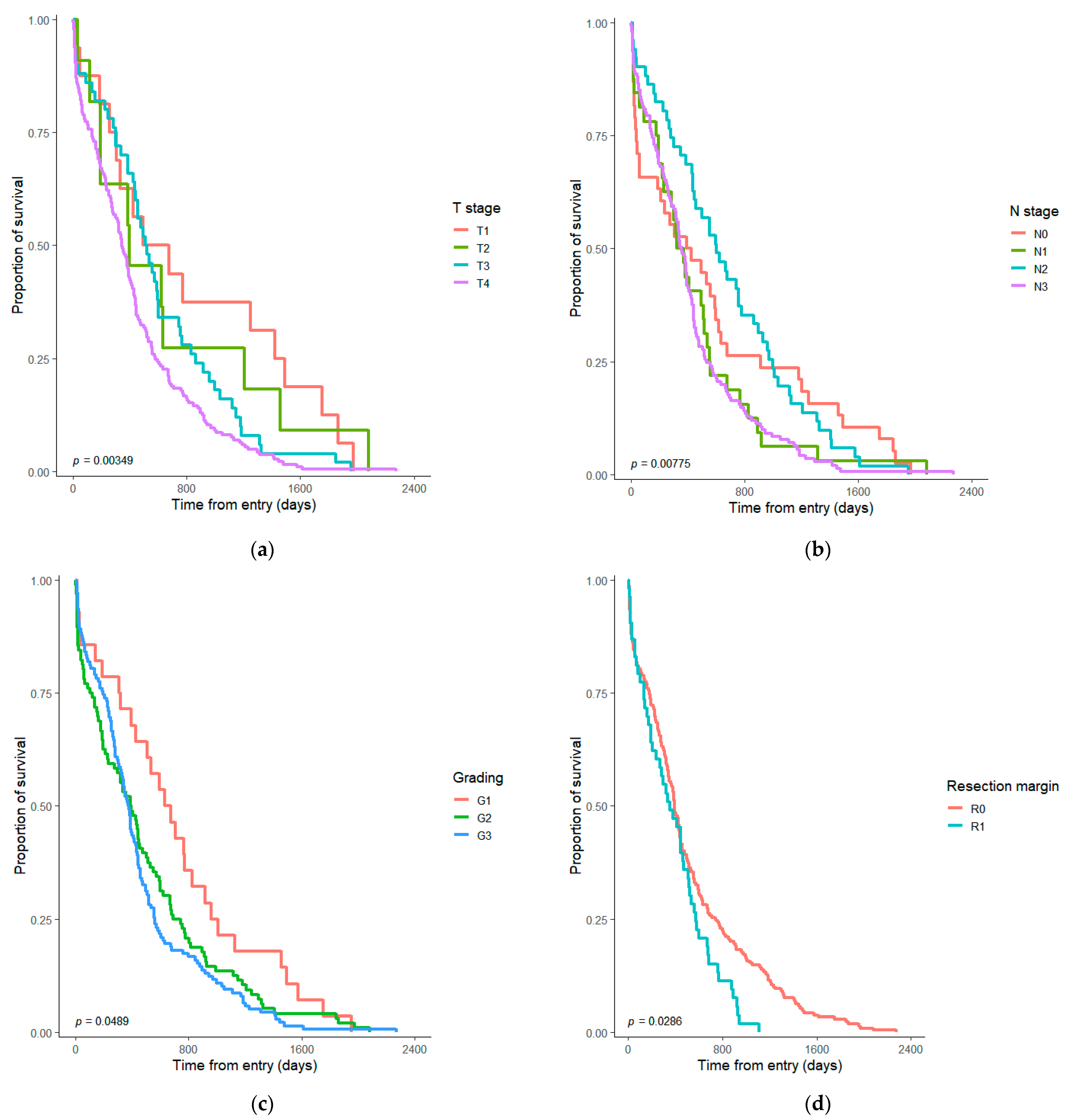
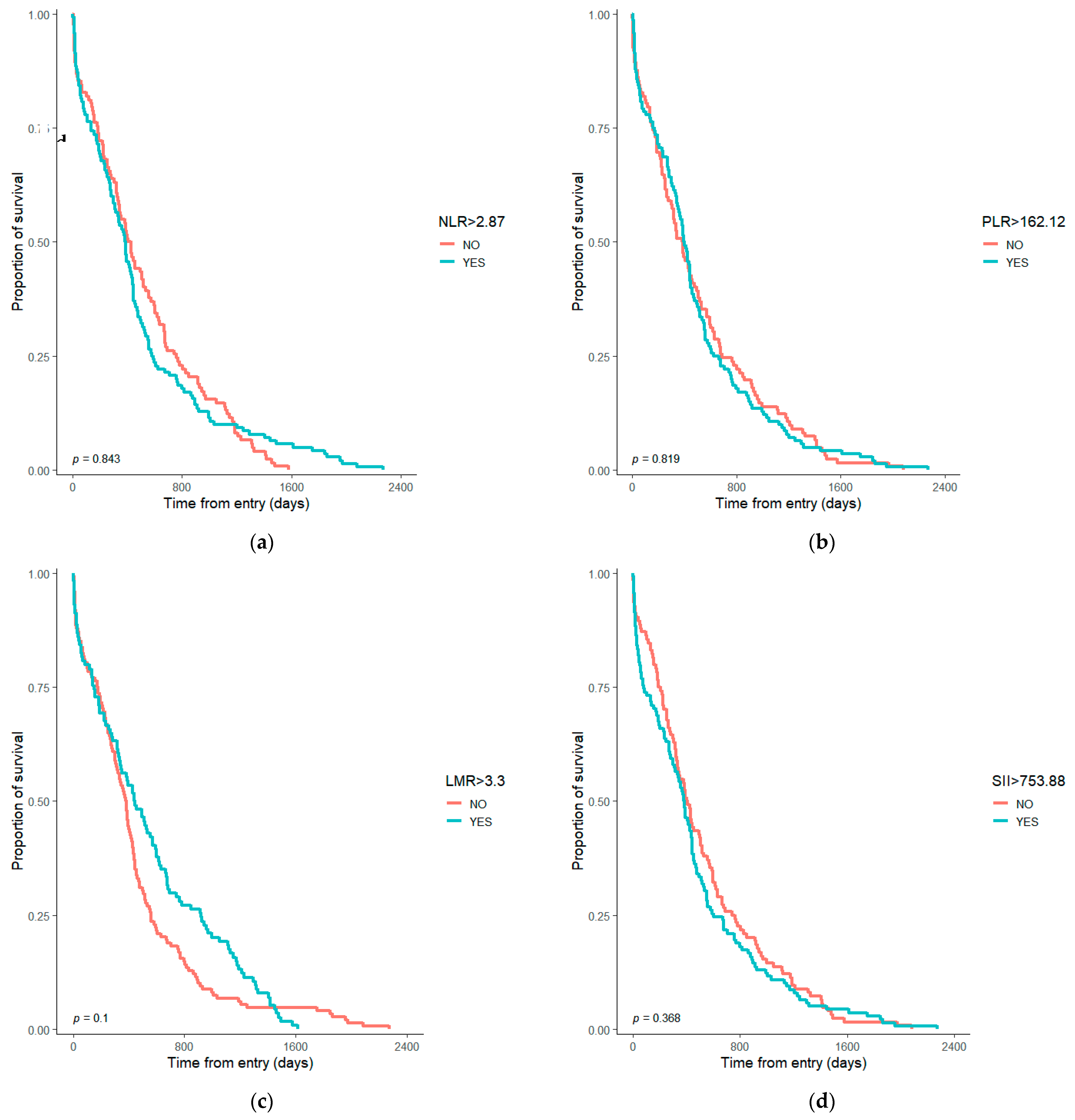
3. Results
4. Discussion
5. Conclusions
Author Contributions
Funding
Institutional Review Board Statement
Informed Consent Statement
Data Availability Statement
Conflicts of Interest
References
- Sung, H.; Ferlay, J.; Siegel, R.L.; Laversanne, M.; Soerjomataram, I.; Jemal, A.; Bray, F. Global Cancer Statistics 2020: GLOBOCAN Estimates of Incidence and Mortality Worldwide for 36 Cancers in 185 Countries. CA Cancer J. Clin. 2021, 71, 209–249. [Google Scholar] [CrossRef]
- Rawla, P.; Barsouk, A. Epidemiology of gastric cancer: Global trends, risk factors and prevention. Prz. Gastroenterol. 2019, 14, 26–38. [Google Scholar] [CrossRef]
- Forman, D.; Burley, V.J. Gastric Cancer: Global Pattern of the Disease and an Overview of Environmental Risk Factors. Best Pract. Res. Clin. Gastroenterol. 2006, 20, 633–649. [Google Scholar] [CrossRef] [PubMed]
- Ajani, J.A.; D’Amico, T.A.; Bentrem, D.J.; Chao, J.; Cooke, D.; Corvera, C.; Das, P.; Enzinger, P.C.; Enzler, T.; Fanta, P.; et al. Gastric Cancer, Version 2.2022, NCCN Clinical Practice Guidelines in Oncology. J. Natl. Compr. Canc. Netw. 2022, 20, 167–192. [Google Scholar] [CrossRef] [PubMed]
- Smyth, E.C.; Verheij, M.; Allum, W.; Cunningham, D.; Cervantes, A.; Arnold, D. Gastric Cancer: ESMO Clinical Practice Guidelines for Diagnosis, Treatment and Follow-Up. Ann. Oncol. 2016, 27, v38–v49. [Google Scholar] [CrossRef]
- Smyth, E.C.; Nilsson, M.; Grabsch, H.I.; van Grieken, N.C.; Lordick, F. Gastric Cancer. Lancet 2020, 396, 635–648. [Google Scholar] [CrossRef]
- Cunningham, D.; Allum, W.H.; Stenning, S.P.; Thompson, J.N.; Van de Velde, C.J.H.; Nicolson, M.; Scarffe, J.H.; Lofts, F.J.; Falk, S.J.; Iveson, T.J.; et al. Perioperative Chemotherapy versus Surgery Alone for Resectable Gastroesophageal Cancer. N. Engl. J. Med. 2006, 355, 11–20. [Google Scholar] [CrossRef]
- Xiang, Y.-Y.; Deng, C.-C.; Liu, H.-Y.; Kuo, Z.-C.; Zhang, C.-H.; He, Y.-L. The Prognostic Effect of Multidisciplinary Team Intervention in Patients with Advanced Gastric Cancer. Curr. Oncol. 2022, 29, 1201–1212. [Google Scholar] [CrossRef]
- Coburn, N.; Cosby, R.; Klein, L.; Knight, G.; Malthaner, R.; Mamazza, J.; Mercer, C.D.; Ringash, J. Staging and Surgical Approaches in Gastric Cancer: A Clinical Practice Guideline. Curr. Oncol. 2017, 24, 324–331. [Google Scholar] [CrossRef] [PubMed]
- Di Carlo, S.; Siragusa, L.; Fassari, A.; Fiori, E.; La Rovere, F.; Izzo, P.; Usai, V.; Cavallaro, G.; Franceschilli, M.; Dhimolea, S.; et al. Laparoscopic versus Open Total Gastrectomy for Locally Advanced Gastric Cancer: Short and Long-Term Results. Curr. Oncol. 2022, 29, 8442–8455. [Google Scholar] [CrossRef]
- Moon, Y.W.; Jeung, H.C.; Rha, S.Y.; Yoo, N.C.; Roh, J.K.; Noh, S.H.; Kim, B.S.; Chung, H.C. Changing patterns of prognosticators during 15-year follow-up of advanced gastric cancer after radical gastrectomy and adjuvant chemotherapy: A 15-year follow-up study at a single Korean institute. Ann. Surg. Oncol. 2007, 14, 2730–2737. [Google Scholar] [CrossRef]
- Blanchette, P.; Lipton, J.H.; Barth, D.; Mackay, H. Case Report of Very Late Gastric Cancer Recurrence. Curr. Oncol. 2013, 20, 161–164. [Google Scholar] [CrossRef]
- Maroufizadeh, S.; Hajizadeh, E.; Baghestani, A.R.; Fatemi, S.R. Multivariate analysis of prognostic factors in gastric cancer patients using additive hazards regression models. Asian Pac. J. Cancer Prev. 2011, 12, 901–907. [Google Scholar]
- Shiraishi, N.; Sato, K.; Yasuda, K.; Inomata, M.; Kitano, S. Multivariate Prognostic Study on Large Gastric Cancer. J. Surg. Oncol. 2007, 96, 14–18. [Google Scholar] [CrossRef]
- Kim, M.R.; Kim, A.S.; Choi, H.I.; Jung, J.H.; Park, J.Y.; Ko, H.J. Inflammatory Markers for Predicting Overall Survival in Gastric Cancer Patients: A Systematic Review and Meta-Analysis. PLoS ONE 2020, 15, E0236445. [Google Scholar] [CrossRef] [PubMed]
- Lian, L.; Xia, Y.-Y.; Zhou, C.; Shen, X.-M.; Li, X.-L.; Han, S.-G.; Zheng, Y.; Mao, Z.-Q.; Gong, F.-R.; Wu, M.-Y.; et al. Application of Platelet/Lymphocyte and Neutrophil/Lymphocyte Ratios in Early Diagnosis and Prognostic Prediction in Patients with Resectable Gastric Cancer. Cancer Biomark. 2015, 15, 899–907. [Google Scholar] [CrossRef] [PubMed]
- Pan, Y.-C.; Jia, Z.-F.; Cao, D.-H.; Wu, Y.-H.; Jiang, J.; Wen, S.-M.; Zhao, D.; Zhang, S.-L.; Cao, X.-Y. Preoperative Lymphocyteto-Monocyte Ratio (LMR) Could Independently Predict Overall Survival of Resectable Gastric Cancer Patients. Medicine 2018, 97, e13896. [Google Scholar] [CrossRef]
- Ma, J.; Liu, Q. Clinicopathological and Prognostic Significance of Lymphocyte to Monocyte Ratio in Patients with Gastric Cancer: A Meta-Analysis. Int. J. Surg. 2018, 50, 67–71. [Google Scholar] [CrossRef] [PubMed]
- Li, C.; Tian, W.; Zhao, F.; Li, M.; Ye, Q.; Wei, Y.; Li, T.; Xie, K. Systemic Immune-Inflammation Index, SII, for Prognosis of Elderly Patients with Newly Diagnosed Tumors. Oncotarget 2018, 9, 35293–35299. [Google Scholar] [CrossRef] [PubMed]
- Fu, S.; Yan, J.; Tan, Y.; Liu, D. Prognostic Value of Systemic Immune-Inflammatory Index in Survival Outcome in Gastric Cancer: A Meta-Analysis. J. Gastrointest. Oncol. 2021, 12, 344–354. [Google Scholar] [CrossRef]
- R Core Team. R: A Language and Environment for Statistical Computing; R Foundation for Statistical Computing: Vienna, Austria, 2019; Available online: https://www.R-project.org/ (accessed on 7 February 2022).
- Ridwelski, K.; Fahlke, J.; Huß, M.; Otto, R.; Wolff, S. R1 resection for gastric carcinoma. Chirurg 2017, 88, 756–763. [Google Scholar] [CrossRef] [PubMed]
- Stiekema, J.; Trip, A.K.; Jansen, E.P.M.; Boot, H.; Cats, A.; Ponz, O.B.; Verheij, M.; van Sandick, J.W. The Prognostic Significance of an R1 Resection in Gastric Cancer Patients Treated with Adjuvant Chemoradiotherapy. Ann. Surg. Oncol. 2014, 21, 1107–1114. [Google Scholar] [CrossRef] [PubMed]
- Gaspar-Figueiredo, S.; Joliat, G.-R.; Borgstein, A.B.J.; Van Berge Henegouwen, M.I.; Brunel, C.; Demartines, N.; Allemann, P.; Schäfer, M. Impact of Positive Resection Margins (R1) on Long-Term Survival of Patients with Advanced Diffuse Type Gastric Cancer. Br. J. Surg. 2022, 109, znac188.002. [Google Scholar] [CrossRef]
- Xue, J.; Yang, H.; Huang, S.; Zhou, T.; Zhang, X.; Zu, G. Comparison of the Overall Survival of Proximal and Distal Gastric Cancer after Gastrectomy: A Systematic Review and Meta-Analysis. World J. Surg. Oncol. 2021, 19, 17. [Google Scholar] [CrossRef]
- Nakamura, N.; Kinami, S.; Tomita, Y.; Miyata, T.; Fujita, H.; Takamura, H.; Ueda, N.; Kosaka, T. The Neutrophil/Lymphocyte Ratio as a Predictor of Successful Conversion Surgery for Stage IV Gastric Cancer: A Retrospective Study. BMC Cancer 2020, 20, 363. [Google Scholar] [CrossRef] [PubMed]
- Liu, Z.; Liang, Y.; Tang, X.; Qu, H. Decrease in Blood Neutrophil-to-Lymphocyte Ratio Indicates Better Survival After Neoadjuvant Chemotherapy in Patients With Advanced Gastric Cancer. Front. Surg. 2021, 8. [Google Scholar] [CrossRef]
- Ramos-Esquivel, A.; Brenes, D.; Cordero, E.; Alpizar-Alpizar, W. Neutrophil to Lymphocyte Ratio and Platelet to Lymphocyte Ratio Are Independent Prognostic Factors for Overall Survival in Hispanic Patients with Gastric Adenocarcinoma. Ann. Oncol. 2018, 29, v16. [Google Scholar] [CrossRef]
- Peng, X.; Zeng, W.; Tang, B.; He, A.; Zhang, M.; Luo, R. Utility of Pretreatment Blood Platelet-To-Lymphocyte Ratio in Prediction of Clinical Outcomes and Chemosensitivity in Patients with Advanced Gastric Cancer: A Meta-Analysis. Med. Sci. Monit. Int. Med. J. Exp. Clin. Res. 2022, 28, e933449. [Google Scholar] [CrossRef]
- Romania Demographics 2020 (Population, Age, Sex, Trends)—Worldomete. Available online: https://www.worldometers.info/demographics/romania-demographics/#median-age (accessed on 25 March 2023).


| All Subjects (n = 549) | Free-Margins Resection (R0) (n = 476) | Positive Margins Resection (R1) (n = 73) | |
|---|---|---|---|
| Age (years) a | 64.85 ± 10.51 | 65.15 ± 10.36 | 62.89 ± 11.30 |
| Male gender b | 374 (68.12%) | 322 (67.65%) | 52 (71.23%) |
| Urban setting b | 319 (58.11%) | 278 (58.40%) | 41 (56.16%) |
| Lauren type b | |||
| intestinal | 268 (48.82%) | 244 (51.26%) | 24 (32.87%) |
| mixed | 180 (32.78%) | 148 (31.09%) | 32 (43.83%) |
| diffuse | 101 (18.39%) | 84 (40.47%) | 17 (23.28%) |
| Tumor stage (T) b | |||
| T1 | 72 (13.1%) | 71 (14.92%) | 1 (1.36%) |
| T2 | 57 (10.4%) | 55 (11.55%) | 2 (2.74%) |
| T3 | 131 (23.9%) | 123 (25.84%) | 8 (10.95%) |
| T4 | 289 (52.6%) | 227 (47.69%) | 62 (84.93%) |
| Tumor dimension a | 51.02 ± 29.66 | 48.66 ± 28.43 | 66.39 ± 32.97 |
| Grading b | |||
| G1 | 88 (16.03%) | 82 (17.23%) | 6 (8.22%) |
| G2 | 209 (38.07%) | 186 (39.07%) | 23 (31.51%) |
| G3 | 252 (45.9%) | 208 (43.69%) | 44 (60.27%) |
| Node stage (N) b | |||
| N0 | 158 (28.78%) | 152 (31.93%) | 6 (8.22%) |
| N1 (1–2 regional lymph nodes) | 85 (15.48%) | 77 (16.17%) | 8 (10.96%) |
| N2 (3–6 regional lymph nodes) | 110 (20.03%) | 100 (21.00%) | 10 (13.69%) |
| N3 (more than 6 regional lymph nodes) | 193 (35.15%) | 145 (30.46%) | 48 (65.75%) |
| Event (death) b | 262 (47.72%) | 209 (43.90%) | 53 (72.60%) |
| Median survival time (days) | 390 (159–676) | 392 (178–742) | 355 (135–571) |
| NLR at admission | 2.87 (2.05–4) | 2.84 (1.99–3.94) | 3.15 (2.31–4.49) |
| PLR at admission | 162.12 (114.87–217.02) | 156.86 (114.49–214.26) | 182.58 (122.04–252.44) |
| LMR at admission | 3.3 (2.44–4.35) | 3.35 (2.46–4.39) | 2.87 (2.15–4.11) |
| SII at admission | 753.88 (466.12–1232.64) | 737.96 (447.23–1224.19) | 900.11 (550.02–1419.75) |
| HR Unadjusted | (95% CI) | p | HR Adjusted * | (95% CI) | p | HR Adjusted ** | (95% CI) | p | |
|---|---|---|---|---|---|---|---|---|---|
| NLR | 1.064 | (1.01–1.121) | 0.0204 | 1.068 | (1.011–1.12) | 0.018 | 1.063 | (1.0038–1.12) | 0.036 |
| PLR | 1.001 | (0.99–1.002) | 0.481 | 0.99 | (0.99–1.0013) | 0.89 | 1.002 | (0.998–1.0012) | 0.77 |
| LMR | 0.94 | (0.88–1.014) | 0.113 | 0.97 | (0.91–1.044) | 0.44 | 0.97 | (0.91–1.05) | 0.54 |
| SII | 1.0001 | (0.999–1.0002) | 0.303 | 1.0001 | (0.99–1.0002) | 0.4 | 1 | (0.999–1.0002) | 0.68 |
| NLR ≥ median | 1.025 | (0.79–1.31) | 0.85 | 1.018 | (0.78–1.32) | 0.89 | 0.96 | (0.74–1.26) | 0.81 |
| PLR ≥ median | 1.03 | (0.81–1.31) | 0.82 | 0.98 | (0.75–1.27) | 0.89 | 0.971 | (0.741–1.271) | 0.83 |
| LMR ≥ median | 0.81 | (0.63–1.042) | 0.1 | 0.86 | (0.66–1.12) | 0.25 | 0.83 | (0.636–1.087) | 0.177 |
| SII ≥ median | 1.12 | (0.87–1.43) | 0.37 | 1.041 | (0.8–1.35) | 0.75 | 0.998 | (0.766–1.3) | 0.99 |
Disclaimer/Publisher’s Note: The statements, opinions and data contained in all publications are solely those of the individual author(s) and contributor(s) and not of MDPI and/or the editor(s). MDPI and/or the editor(s) disclaim responsibility for any injury to people or property resulting from any ideas, methods, instructions or products referred to in the content. |
© 2023 by the authors. Licensee MDPI, Basel, Switzerland. This article is an open access article distributed under the terms and conditions of the Creative Commons Attribution (CC BY) license (https://creativecommons.org/licenses/by/4.0/).
Share and Cite
Nechita, V.-I.; Al-Hajjar, N.; Leucuța, D.-C.; Moiş, E.; Fetti, A.; Nechita, M.-A.; Graur, F. Inflammatory Ratios as Survival Prognostic Factors in Resectable Gastric Adenocarcinoma. Diagnostics 2023, 13, 1910. https://doi.org/10.3390/diagnostics13111910
Nechita V-I, Al-Hajjar N, Leucuța D-C, Moiş E, Fetti A, Nechita M-A, Graur F. Inflammatory Ratios as Survival Prognostic Factors in Resectable Gastric Adenocarcinoma. Diagnostics. 2023; 13(11):1910. https://doi.org/10.3390/diagnostics13111910
Chicago/Turabian StyleNechita, Vlad-Ionuţ, Nadim Al-Hajjar, Daniel-Corneliu Leucuța, Emil Moiş, Alin Fetti, Mihaela-Ancuţa Nechita, and Florin Graur. 2023. "Inflammatory Ratios as Survival Prognostic Factors in Resectable Gastric Adenocarcinoma" Diagnostics 13, no. 11: 1910. https://doi.org/10.3390/diagnostics13111910
APA StyleNechita, V.-I., Al-Hajjar, N., Leucuța, D.-C., Moiş, E., Fetti, A., Nechita, M.-A., & Graur, F. (2023). Inflammatory Ratios as Survival Prognostic Factors in Resectable Gastric Adenocarcinoma. Diagnostics, 13(11), 1910. https://doi.org/10.3390/diagnostics13111910

