Abstract
Blood-based diagnostics are critical for many medical decisions, but mostly rely on venepuncture, which can be inconvenient and painful. The Onflow Serum Gel (Loop Medical SA, Vaud, Lausanne, Switzerland) is a novel blood collection device that utilises needle-free technology to collect capillary blood. In this pilot study, 100 healthy participants were enrolled and provided two Onflow collected specimens and one venous blood specimen. Five chemistry analytes (AST, ALT, LDH, potassium, creatinine) and haemolysis were measured per specimen, and laboratory analyte results were compared. Onflow was found to be more acceptable than venepuncture with lower pain ratings, and 96.5% of participants would use the Onflow method again. All phlebotomists (100%) found Onflow intuitive and user-friendly, with ~1 mL of Onflow blood successfully collected from 99% of participants in <12 min (mean: 6 min, 40 s) and 91% collected on the first attempt. ALT and AST analytes showed no difference in performance, while creatinine generated a negative bias (−5.6 µmol/L), and increased variability was noted with potassium (3.6%CV) and LDH (6.7%CV), although none were clinically relevant. These differences may be due to 35% of Onflow collected specimens having “mild” haemolysis. Onflow is a promising alternative blood collection device that should now be evaluated in participants with expected abnormal chemistries and as an option for self-collection.
1. Introduction
Venous blood collection requires skilled healthcare practitioners trained in phlebotomy procedures, which is often unavailable in resource-limited settings (RLS). There is also an increased preference for patient-centric sampling and methods that are not only “pain-free” but also maintain specimen quality [1]. Some of these alternative technologies draw only small blood volumes (less than 30 microlitres (µL)), which are not suitable for multi-analyte and automated testing. Four commercial products, however, are able to obtain 400–600 µL capillary, whole blood for testing. The BD Microtainers (Becton Dickinson and Company, Franklin Lakes, New Jersey, United States) are small tubes designed for capillary blood collection (approximately 600 µL) from a finger stick specimen [1,2,3,4]. The Haiim Vacuum Assisted Blood Collection device (Winnoz, New Taipei City, Taiwan) uses a lancet and small vacuum device to collect up to 500 µL whole blood from a finger stick but does require a trained HCP (health care practitioner) to oversee the collection [1,5]. The TAP® II (up to 350 µL) and TAP® micro (up to 600 µL) devices (YourBio Health, Medford, MA, USA) use a microneedle array to collect capillary blood, usually from the upper arm, using a vacuum [6]. The Tasso+ and Tasso® micro devices (Tasso Inc., Seattle, WA, USA) collect 400–600 µL (tube-dependent) capillary whole blood from the upper arm using a microneedle and a vacuum [7]. The widely evaluated Tasso-SST device collects ~300 µL whole blood [1,8,9,10,11] into a tube that contains a clot activator and separation gel but is no longer available [12]. To date, these devices have been assessed for clinical chemistry [3,4,13,14,15], haematology [2], and serology [8,9,10,11,16,17,18], with overall good analytical performance and participant acceptance. It must be noted, however, that most automated analysers require a dead volume (200–300 µL) of specimen in addition to the volume required for analyte testing. In addition, the source specimen is frequently plasma or serum, which makes up ~55% of the whole blood specimen [19], meaning that the volume of blood obtained is not the volume of specimen available for testing. None of the existing studies had difficulties with the volume of specimens obtained for their analyses, although the lack of specimens for repeat testing was raised [3,13]. Specimen self-collection using these devices has also been reported [3,4,17].
Loop Medical SA (Vaud, Lausanne, Switzerland) has developed a novel capillary blood collection device called the Onflow (www.loop-medical.com, accessed 11 May 2023) and Figure 1), which is a single-use blood collection device that accesses capillary blood between the skin surface and the nerve layer, usually from the upper arm, and is expected to be less painful than both venepuncture and finger stick blood collection. The device collects approximately one millilitre (mL) of capillary whole blood into a small phlebotomy tube in 5–10 min, without compromising patient safety or specimen quality. The key advantage of the Onflow device is that it minimises the need for trained phlebotomists as it can be applied by non-specialised HCP and potentially by patients themselves for specimen self-collection. This study describes a pilot evaluation of the Onflow device to measure the quality of the blood drawn through the analytical performance, and ease of use and acceptance of the Onflow compared to venepuncture.
Figure 1.
Examples of the Onflow device placed on the upper arm.
2. Materials and Methods
2.1. Clinical Study Processes
This study was performed among HCP and staff at Ezintsha Clinic in Johannesburg, South Africa. The study was approved by the University of the Witwatersrand Human Research Ethics Committee (WITS HREC: M210731) and the South African Health Products Regulatory Authority (SAHPRA: DMMH008_V1.3). A total of 100 HCP were invited to participate, with exclusion criteria being persons presenting with oedema or open wounds, abnormal skin integrity on the upper arm, subcutaneous implants in the upper arm, known stainless steel allergies, haemophilia and those receiving anticoagulant therapy. Two Onflow specimens (one per arm) and one venous blood specimen were collected by trained phlebotomists from each enrolled participant. Participants were asked to warm the capillary blood collection site by rubbing their upper arm prior to site sterilisation and application of the Onflow device. The Onflow device is equipped with its own internal serum separation tube (Serum Gel) into which the sample was directly deposited during collection. All venous blood samples were collected into 3.5 mL serum separator tubes (BD SST™) (SST; Becton Dickinson and Company, Franklin Lakes, New Jersey, United States). The specimen collection order was randomised, and specimens were collected sequentially. Post-blood collection, the collection site was examined according to dermal response scoring ([20] and Table 1) and the level of pain and acceptability experienced was rated by the participant. The study phlebotomists also rated the condition of devices and their ease of use and answered questions outlined in Table 1.
Table 1.
Device usability and acceptability questions.
2.2. Laboratory Specimen Processing
Once blood was collected by the Onflow devices, the tubes were removed from the devices and stored upright along with the venous blood SSTs at ambient temperature (~23 °C) for a maximum of 2 h before transport to the testing laboratory (clinical laboratory platform of the WITS Diagnostic Innovation Hub (WDIH, Johannesburg, South Africa). The transport from the collection site to the testing laboratory is approximately a 5-min drive. At the laboratory, the Onflow blood tubes were weighed using an OHAUS® Navigator™ scale (OHAUS Corporation, Parsippany, NJ, USA), and three decimal points were recorded. The approximate blood volume was obtained by subtracting the mean tube weight (empty) from the total weight and dividing it by the density of blood (1.06 g/mL [21]). The specimens were centrifuged at 5000× g for 2 min to separate the serum from the blood cells. The haemoglobin concentration (g/dL) was measured using 10 µL of serum tested on the HemoCue® Plasma/Low Hb System (HemoCue AB, Ӓngelholm, Sweden). The absolute result was converted to g/L, which was used as a measure of haemolysis according to conventional haemolysis classifications [22]. Briefly, haemolysis was defined as not haemolysed (free haemoglobin ≤0.25 g/L) or as having insignificant (free haemoglobin >0.25 g/L and ≤0.5 g/L), mild (free haemoglobin >0.5 g/L and ≤3.0 g/L), moderate (free haemoglobin >3.0 g/L and ≤5.0 g/L) or gross (free haemoglobin >5.0 g/L) haemolysis [22]. The remaining serum in the Onflow tube was transferred into clear Polystyrene, round-bottom test tubes (JPlast Plastic Products, Roodepoort, Gauteng, South Africa) and five analytes were tested on the cobas c 501 chemistry analyser (Roche Molecular Systems, Pleasanton, CA, USA): aspartate transaminase (AST), alanine transaminase (ALT), potassium, creatinine and lactate dehydrogenase (LDH). Residual specimens were stored at 4 °C. The ALT analyte was measured from refrigerated venous and Onflow specimens (within seven days of being stored) for the first 49 specimens.
2.3. Data Analysis
Clinical and laboratory data were captured into Smart-Trial electronic data capture (Indianapolis, IN, USA) software. The combined data were exported as a Microsoft™ Excel (Microsoft Corporation, Redmond, WA, USA) file for subsequent analyses. Data were analysed using MedCalc (Ostend, West-Vlaanderen, Belgium) and R (R Foundation for Statistical Computing, Vienna, Austria). The Onflow specimen results were individually compared to the venous specimen results for each analyte, with the venous specimen result considered the reference. The mean absolute values, Bland–Altman mean bias [23] with 95 per cent confidence interval (95%CI), and percentage (%) similarity [24] with percentage standard deviation (%SD) and percentage coefficient of variation (%CV) were reported. The concordance correlation coefficient (Pc) was calculated with a measure of precision (Pearson, ρ) and a measure of accuracy (bias correction factor, cb) [25]. Overall agreement was considered poor for Pc < 0.9, moderate for Pc = 0.9–0.95, substantial for Pc = 0.95–0.99 and almost perfect for Pc > 0.99 [26]. Outliers were considered those falling outside the allowable difference from the reference (±15% for AST, ALT and LDH, ±10% for creatinine and ±0.3 mmol/L for potassium [27]). Split-violin plots (using the “introdataviz” package in R) were used for visualisation [28].
3. Results
3.1. Participant and Blood Draw Characteristics
The study participant demographics and specimen collection data are outlined in Table 2 and Table 3, respectively. In brief, 92% of the participants were Black African, 54% participants were female, and the overall mean participant age was 35 years. All participants had normal skin appearance before the Onflow blood draws, and only five participants (5/99) showed slight redness post blood collection. While the arm used for venous collection was evenly distributed (48.5% left arm, 51.5% right arm), the left arm was primarily used for the first Onflow device (85%) which is assumed to be a factor of clinical room set-up. All venous blood specimens were successfully collected (99% on first draw), Onflow 1 (the first draw performed with the Onflow) specimen collection was successful in 97% of attempts (91% on first attempt) with 3% collected with reduced blood volume, and all Onflow 2 (the second draw performed with the Onflow) specimens were successfully collected (92% on first attempt). The mean and median collection times for the two Onflow devices was similar (less than seven minutes), with a minimum time of 2 min and 5 s and a maximum time of 12 min and 47 s recorded.
Table 2.
Participant demographics.
Table 3.
Post-blood draw characteristics.
3.2. Laboratory Analyte Method Comparison
The specimens successfully collected with adequate blood volume (n = 294) showed 83% (82/99) had no or insignificant haemolysis when collected by venepuncture, compared to 65% (126/195) collected by the Onflow devices as visualised in Figure 2. The Onflow collection method showed a trend of causing mild haemolysis in 35% (69/195) specimens. One specimen collected by venepuncture reported moderate haemolysis. As no moderate or gross haemolysis was observed for the Onflow devices, all specimens would have been accepted for testing based on observed haemolysis.
Figure 2.
Measure of haemolysis (haemoglobin (g/L)) for each specimen collected by venepuncture and Onflow. Specimen results are sorted by increasing venous haemoglobin on the horizontal axis. The shaded areas represent the haemolysis classification [22], which are also tabulated alongside the graph. g/L: grams per litre.
A total of 1467 (of 1470) laboratory test results were reported, with three ALT results from two specimens that could not be generated due to insufficient volume. The percentage similarity scatter plots (Figure 3a) further highlighted two results (#5 and #14) that reported lower LDH values by Onflow compared to venous that would have been considered clinically relevant, which was linked to increased haemolysis of the venous specimens (“mild” and “moderate” haemolysis, respectively). These results were therefore removed from further method comparison of all analytes, and the total number of specimens available for statistical analysis was 1452 (98.8%). The percentage similarity, visualised by split violin plots (Figure 3b), shows on average similar test results between the two Onflow devices for all analytes. The statistical analysis was thus performed on combined Onflow results compared to the venous results. Overall, the Onflow capillary blood results were lower for creatinine and higher for LDH and potassium when compared to the venous blood results. The percentage similarity scatter plots showed less scatter beyond specimen #35 for Onflow device 1 and specimen #49 for Onflow device 2, and there is evidence of more scatter among the ALT analyte overall, which may be due to the Onflow ALT specimens #1 to #49 being stored for seven days at 4 °C prior to testing.
Figure 3.
Percentage similarity analysis. (a) Scatter plots for Onflow 1 and Onflow 2 device test results compared to venous blood test results for all analytes from each specimen listed in sequence. Black circles highlight two results for LDH which would be clinically relevant, but both had the presence of haemolysis on venous blood. (b) Split-violin plots representing the percentage similarity for each Onflow device result compared to the venous blood result across the five analytes. The dotted line marks the 100% similarity reference line. %: percentage; ALT: alanine transaminase; AST: aspartate transaminase; LDH: lactate dehydrogenase.
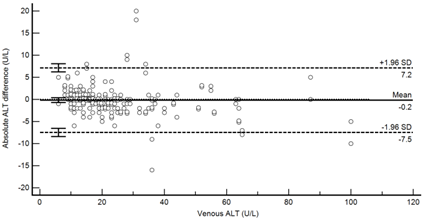
Table 4 summarises the method comparison outputs for the concordance correlation, Bland–Altman and percentage similarity method comparisons and includes concordance correlation plots and Bland–Altman difference plots. The mean and data range for each analyte is also listed, and it is worth noting that based on the ALT, AST, creatinine and potassium analyte ranges, specimens were received from participants reporting values in the “normal” range. The LDH results showed some elevated readings beyond the “normal reference ranges” across both venous and Onflow results. The AST and ALT analytes from Onflow collected blood substantially agreed with venous collected blood analytes. Both showed good accuracy and precision and acceptable variability. There were potentially two outliers, which were not considered clinically relevant, and which also showed greater variability in LDH measurement compared to the reference. The Onflow creatinine showed moderate agreement with venous blood creatinine, but with good precision (low %SD and ρ > 0.9). There was a definite bias (96% mean similarity and −5.6 µmol/L mean difference), but these differences were not clinically relevant (acceptable variance [27]). Although the Onflow LDH showed poor overall agreement with venous LDH, there was good accuracy (104% mean similarity and 15 U/L mean difference). The increased variance was attributed to four outliers, all of which had mild haemolysis, and which were also specimens collected within the first 30 specimens (as similarly noted with specimens #5 and #14 mentioned above). This may indicate unfamiliarity by the HCP with the use of the Onflow device. The potassium analyte comparison between Onflow and venous blood also reported poor agreement, but this was not considered clinically relevant and was due to an increased variability (reduced precision, ρ = 0.65 and percentage similarity CV = 3.6%) and one potential outlier. There was overall good accuracy (102% mean percentage similarity and 0.1 mmol/L mean difference) between Onflow and venous blood potassium analytes.
Table 4.
Analyte method comparison of Onflow and venous blood collection for five analytes that were successfully reported. Concordance correlation, Bland–Altman and percentage similarity analyses were performed, and their respective outputs included with concordance correlation and Bland–Altman difference plots for visual comparison.
To investigate any potential impact of Onflow specimen collection time on analyte results due to haemolysis, absolute bias between Onflow and venous analyte results was visualised in scatter plots (see Figure 4) according to collection time and haemolysis. Haemolysis (insignificant and mild) was observed across all specimen collection times (02.05 to 12.47), with random scatter observed for ALT, AST, creatinine and potassium analytes. Increased bias was observed among six Onflow LDH results with a collection time of ten minutes, of which five showed mild haemolysis, indicating the potential impact of haemolysis due to increased collection time on this analyte.
Figure 4.
Scatter plots showing (a) Onflow specimen haemolysis by Onflow specimen collection time and absolute bias for the Onflow results compared to venous results for all analytes srted by specimen collection time and stratified by haemolysis ((b) ALT, (c) AST, (d) Creatinine, (e) potassium, (f) LDH). ALT: alanine transaminase; AST: aspartate transaminase; LDH: lactate dehydrogenase; µmol/L: micromoles per litre; mmol/L: millimoles per litre; n: number; U/L: units per litre.
The usability and acceptability of the Onflow devices are presented as heat bar charts in Figure 5 and clearly highlight that Onflow was more acceptable than venepuncture with lower pain ratings and that it was more likely that participants (96.5%) would use the Onflow method again. Overall, 14.1% of participants would prefer not to use venepuncture again compared to 3.0% for the Onflow device. All HCP found the Onflow device intuitive and easy to use. The devices performed as expected, with 100% described as having an intact sterile barrier, shielded blade and a tube in good condition, 100% were heard to activate, 99.5% could be activated with one hand and 99.5% of devices were closed easily. Selected HCP and participant comments are shown in Box 1.
Figure 5.
Usability and acceptability of the Onflow device compared to venepuncture (a) Participant pain rating for venepuncture and onflow, (b) Participant likelihood of using venepuncture and Onflow again, (c) Participant-perceived ease-of-use, and (d) Time taken for Onflow specimen collection.
Box 1. User experience feedback.
Participants remarked that although venepuncture is quick, it is painful.
“Quicker but slightly painful than the loop [sic]”
“Quick but painful”
Furthermore, participants expressed that they disliked venepuncture due to their fear of needles.
“I have a fear of needles so I do not like it when they take samples”
“Blood draw took longer but less daunting as there are no needles”
The participants liked the Onflow device, with most commenting that it was pain-free and less intimidating than a needle.
“The procedure was easy and painless.”
“User friendly, no pain.”
“Very good to use.”
“The device looks user friendly, I was not scared when she took the sample.”
“This was basically painless although takes longer than venepuncture. A much more pleasant experience mentally.”
The HCP also liked the Onflow device as an alternative to venepuncture.
“Took longer, but no pain, good for people with difficult veins”
“It’s slow but user-friendly for children.”
“Innovative and interesting.”
However, a number of participants and HCP commented that specimen collection with the Onflow device was slow.
“It takes too long.”
“Loop (sic) took long to draw blood”
“It is not painful, but it takes a lot of time.”
Some participants also found the Onflow device
uncomfortable, particularly with slow blood draws.
“Took quite long, did not like the feeling of it on skin—itchy & irritable.”
“The position of blood collection is a bit uncomfortable.”
“The draw took a full 10 minutes. The vacuum was a bit uncomfortable.”
4. Discussion
This is the first study, to our knowledge, reporting on the performance of the Onflow painless blood collection device. The participants were all employed in the health care field, ranging from lay HCP to nurses to project managers, and the majority of the participants were dark skin toned individuals, representative of the African region. The Onflow blood collection devices were well received by HCP applying the devices and by participants, and most preferred the Onflow method to venepuncture. This aligns with the patient feedback on the Tasso devices [4,13] and finger stick Microtainer collection [3]. Only slight redness was noted after the Onflow device use in 5/99 participants. All Onflow devices were intact and worked as per the manufacturer’s claims, with the mean collection time for 198 devices less than 7 min, although a second Onflow device was used in approximately 9 per cent of blood draws. Analyte test values that could not be obtained in our study were due to low specimen volume (including one venous specimen), rather than haemolysis. Nonetheless, an overall advantage of the Onflow device is the larger volume capacity (approximately 1 mL), and overall fewer specimens were rejected (3%), compared to 33% in a recent study with other devices [13]. It is noted, however, that in this evaluation, HCP applied the device to the participant’s arms and specimen collection success may vary when the participant applies the device (self-collection).
One notable difference between the Onflow and venepuncture collected specimens was the trend for more Onflow specimens to have mild haemolysis. Although this will not usually affect results [22], analytes should be assessed for their intended use on an individual basis ahead of implementation. In this study, it was also noted that increased Onflow specimen collection time had some impact on the measurement of the LDH analyte, while the other analytes were less affected. Future studies may use the LDH analyte to their advantage in closely monitoring the impact of increased specimen collection time on device performance. The creatinine measurements did have a negative bias, and potassium measurements showed decreased precision, but neither of these is considered to be clinically relevant and it has been conjectured that capillary blood result variation may be influenced by specimen collection factors that are not yet widely assessed [3]. Similar trends with other devices have been reported elsewhere [3,13], with capillary blood results generally in line with venous blood results. The use of centrifugation prior to the transportation of blood specimens has also been shown to improve performance on similar comparative studies [13] and is a possible suggestion for future analysis, especially for measuring potassium, which is also known to be affected by haemolysis [29]. It is also important to note the potential pitfalls in statistical analyses for measures of agreement [30]. Concordance correlation, Bland–Altman and percentage similarity should not be used as standalone measures of agreement. In our study, although LDH, creatinine and potassium reported moderate to poor concordance correlation, the absolute differences (Bland–Altman and percentage similarity) did not highlight clinical relevance. The sequence and specimen collection time may also be useful variables for evaluating trends in device performance.
Our study was limited by the small number of Onflow devices available for evaluation from the manufacturer. Further studies are suggested in applying the Onflow method to patient cohorts (those anticipated with analyte test results beyond the “normal” range) that could also include younger patients. Expanding the use of alternative blood collection tubes, such as K3EDTA or other tube additives, would also expand testing to high-volume tests in the region, such as HIV viral load, for monitoring response to antiretroviral therapy. However, each new additive type would require formal evaluation to ensure acceptable performance with capillary whole blood. Patient-centric specimen collection with such devices has been suggested as plausible [1] and even feasible, as with the Tasso device, the TAP® devices or finger stick collection into Microtainers [4,8,9,11,17] and could be suggested for the Onflow device. The advantage of the Onflow, TAP® and Tasso over finger stick capillary blood collection for self-sampling is that the specimen is drawn using a vacuum, and thus, potential interference by tissue fluid through “milking of the finger” can be avoided [3].
5. Conclusions
Overall, the Onflow device shows promise as an alternative blood specimen collection method. The analytes measured generated results within acceptable limits and users and participants found the Onflow device user-friendly. The findings of this study set the foundation for further clinical studies in a larger cohort and amongst participants with expected abnormal chemistries, as well as for studies where patients could self-collect blood, therefore reducing times spent in clinics and improving clinic workflows.
Author Contributions
Conceptualization, A.M., C.T. and A.Q.; Data curation, L.D.N., C.D. and L.E.S.; Formal analysis, L.D.N., C.D. and L.E.S.; Funding acquisition, L.E.S. and W.S.S.; Investigation, L.D.N., C.T., S.I., V.T.M., K.M. and A.Q.; Methodology, L.D.N., A.M., C.T., K.M., A.Q. and L.E.S.; Project administration, L.D.N., M.M., S.I., V.T.M. and K.M.; Resources, A.M., C.T., M.M. and A.Q.; Supervision, J.G., L.E.S. and W.S.S.; Validation, C.T., M.M. and A.Q.; Visualization, C.D. and L.E.S.; Writing—original draft, L.D.N.; Writing—review and editing, L.D.N., C.D., A.M., A.Q., J.G., L.E.S. and W.S.S.; Clinical oversight and insights: J.G. and W.S.S. All authors have read and agreed to the published version of the manuscript.
Funding
This study was supported by funding received from the Bill and Melinda Gates Foundation through the Innovation in Laboratory Engineered Accelerated Diagnostics investment (grant number INV-006726). Lara Noble, Lesley Scott and Wendy Stevens are supported by funding received from the Bill and Melinda Gates Foundation through the Innovation in Laboratory Engineered Accelerated Diagnostics investment (grant number INV-006726). Loop Medical SA and its team (including Arthur Queval, Alison Moran and Charlotte Trottet) were supported by funding awarded by the Bill and Melinda Gates Foundation (grant number INV-008063).
Institutional Review Board Statement
The study was approved by the University of the Witwatersrand Human Research Ethics Committee (WITS HREC: M210731, 29 September 2021) and the South African Health Products Regulatory Authority (SAHPRA: DMMH008_V1.3, 10 June 2022).
Informed Consent Statement
Informed consent was obtained from all subjects involved in the study.
Data Availability Statement
The data presented in this study are available on request from the contact author. The data is not shared due to restrictions governed by the South African Act 4 of 2013 Protection of Personal Information Act (https://www.gov.za/sites/default/files/gcis_document/201409/3706726-11act4of2013protectionofpersonalinforcorrect.pdf, accessed 11 May 2023).
Acknowledgments
We would like to acknowledge the clinical staff at Ezintsha who performed all specimen collection, the laboratory staff at the WITS Diagnostics Innovation Hub clinical platform who performed all specimen testing, and the Clinical Laboratory Services kit packing department for the study kit preparation. We would also like to acknowledge Nadia van Niekerk who provided project management assistance for the Clinical Laboratory Services team and Claudia Antoni who provided project management assistance for the Loop Medical team. We also acknowledge Danielle Gast and Alyssa Paul who assisted with electronic data capture and Olwethu Mahachi and Eunice Nkosi who assisted with electronic data review. We thank all study participants for agreeing to enroll in the study. All Onflow devices were provided by Loop Medical SA.
Conflicts of Interest
Arthur Queval is the founder and CEO of Loop Medical SA. Charlotte Trotter and Alison Moran are employees of Loop Medical SA. The other authors declare no conflicts of interest.
References
- Maass, K.F.; Barfield, M.D.; Ito, M.; James, C.A.; Kavetska, O.; Kozinn, M.; Kumar, P.; Lepak, M.; Leuthold, L.A.; Li, W.; et al. Leveraging patient-centric sampling for clinical drug development and decentralized clinical trials: Promise to reality. Clin. Transl. Sci. 2022, 15, 2785–2795. [Google Scholar] [CrossRef] [PubMed]
- Fliervoet, L.A.L.; Tiel Groenestege, W.M.; Huisman, A. Comparison of capillary and venous blood sampling for routine coagulation assays. Clin. Biochem. 2022, 104, 30–35. [Google Scholar] [CrossRef]
- Ansari, S.; Abdel-Malek, M.; Kenkre, J.; Choudhury, S.M.; Barnes, S.; Misra, S.; Tan, T.; Cegla, J. The use of whole blood capillary samples to measure 15 analytes for a home-collect biochemistry service during the SARS-CoV-2 pandemic: A proposed model from North West London Pathology. Ann. Clin. Biochem. 2021, 58, 411–421. [Google Scholar] [CrossRef]
- Knitza, J.; Tascilar, K.; Vuillerme, N.; Eimer, E.; Matusewicz, P.; Corte, G.; Schuster, L.; Aubourg, T.; Bendzuck, G.; Korinth, M.; et al. Accuracy and tolerability of self-sampling of capillary blood for analysis of inflammation and autoantibodies in rheumatoid arthritis patients-results from a randomized controlled trial. Arthritis Res. Ther. 2022, 24, 125. [Google Scholar] [CrossRef] [PubMed]
- Winnoz Inc. Haiim Vaccum Assisted Blood Collection System—Quick Guide for Operating. WH-QG-R-V2.0. 2021. Available online: https://drive.google.com/file/d/1T_mkqLaMRMR6RBky8ronR3OGCVmwYveK/view (accessed on 30 March 2023).
- YourBio Health TAP Blood Collection Production Information. Available online: https://yourbiohealth.com/en-us/virtually-painless-blood-collection-devices-for-clinical-trials-and-wellness-testing (accessed on 24 March 2023).
- High Volume Blood Collection Devices. Available online: https://www.tassoinc.com/high-volume (accessed on 24 March 2023).
- Hendelman, T.; Chaudhary, A.; LeClair, A.C.; van Leuven, K.; Chee, J.; Fink, S.L.; Welch, E.J.; Berthier, E.; Quist, B.A.; Wald, A.; et al. Self-collection of capillary blood using Tasso-SST devices for Anti-SARS-CoV-2 IgG antibody testing. PLoS ONE 2021, 16, e0255841. [Google Scholar] [CrossRef] [PubMed]
- Mohammed, T.; Brewer, J.V.V.; Pyatt, M.; Whitbourne, S.B.; Gaziano, J.M.; Edson, C.; Holodniy, M.; COVID, V.M.V.P.; Science Initiative. Evaluation of independent self-collected blood specimens for COVID-19 antibody detection among the US veteran population. Diagn. Microbiol. Infect. Dis. 2022, 104, 115770. [Google Scholar] [CrossRef]
- Schmetzer, C.; Vogt, E.; Stellar, L.; Godonou, E.T.; Liphardt, A.M.; Muehlensiepen, F.; Vuillerme, N.; Hueber, A.J.; Kleyer, A.; Krönke, G.; et al. Self-collection of capillary blood and saliva to determine COVID-19 vaccine immunogenicity in patients with immune-mediated inflammatory diseases and health professionals. Front. Public Health 2022, 10, 994770. [Google Scholar] [CrossRef]
- Wixted, D.; Neighbors, C.E.; Pieper, C.F.; Wu, A.; Kingsbury, C.; Register, H.; Petzold, E.; Newby, L.K.; Woods, C.W. Comparison of a Blood Self-Collection System with Routine Phlebotomy for SARS-CoV-2 Antibody Testing. Diagnostics 2022, 12, 1857. [Google Scholar] [CrossRef]
- Tasso-SST. Available online: https://www.tassoinc.com/tasso-sst (accessed on 24 March 2023).
- Wickremsinhe, E.; Fantana, A.; Berthier, E.; Quist, B.A.; Lopez de Castilla, D.; Fix, C.; Chan, K.; Shi, J.; Walker, M.G.; Kherani, J.F.; et al. Standard Venipuncture vs a Capillary Blood Collection Device for the Prospective Determination of Abnormal Liver Chemistry. J. Appl. Lab. Med. 2022, 8, 535–550. [Google Scholar] [CrossRef]
- Menestrina Dewes, M.; Ce da Silva, L.; Fazenda Meireles, Y.; Viana de Freitas, M.; Frank Bastiani, M.; Feltraco Lizot, L.; Zilles Hahn, R.; Venzon Antunes, M.; Linden, R. Evaluation of the Tasso-SST(R) capillary blood microsampling device for the measurement of endogenous uracil levels. Clin. Biochem. 2022, 107, 1–6. [Google Scholar] [CrossRef]
- Silliman, E.; Chung, E.H.; Fitzpatrick, E.; Jolin, J.A.; Brown, M.; Hotaling, J.; Styer, A.K.; Karmon, A.E. Evaluation of at-home serum anti-Müllerian hormone testing: A head-to-head comparison study. Reprod. Biol. Endocrinol. RBE 2022, 20, 131. [Google Scholar] [CrossRef] [PubMed]
- Burns, M.D.; Muir, C.; Atyeo, C.; Davis, J.P.; Demidkin, S.; Akinwunmi, B.; Fasano, A.; Gray, K.J.; Alter, G.; Shook, L.L.; et al. Relationship between Anti-Spike Antibodies and Risk of SARS-CoV-2 Infection in Infants Born to COVID-19 Vaccinated Mothers. Vaccines 2022, 10, 1696. [Google Scholar] [CrossRef]
- Doornek, T.; Shao, N.; Burton, P.; Ceddia, F.; Fraile, B. Antibody Response Following COVID-19 Boosters during the Omicron Wave in the United States: A Decentralized, Digital Health, Real-World Study. medRxiv 2022. [Google Scholar] [CrossRef]
- Pernet, O.; Balog, S.; Kawaguchi, E.S.; Lam, C.N.; Anthony, P.; Simon, P.; Kotha, R.; Sood, N.; Hu, H.; Kovacs, A. Quantification of Severe Acute Respiratory Syndrome Coronavirus 2 Binding Antibody Levels To Assess Infection and Vaccine-Induced Immunity Using WHO Standards. Microbiol. Spectr. 2023, 11, e03709–e03722. [Google Scholar] [CrossRef] [PubMed]
- LibreTexts. Chapter 40.8: Components of the Blood—Plasma and Serum. Available online: https://bio.libretexts.org/@go/page/14049 (accessed on 21 January 2023).
- U.S. Department of Health and Human Services; Food and Drug Administration; Center for Drug Evaluation and Research (CDER). Assessing the Irritation and Sensitization Potential of Transdermal and Topical Delivery Systems for ANDAS, Guidance for Industry—Draft Guidance. Available online: https://www.fda.gov/media/117569/download (accessed on 3 March 2023).
- National Institute of Standards and Technology. Composition of Blood (ICRP). Available online: https://physics.nist.gov/cgi-bin/Star/compos.pl?matno=118 (accessed on 3 March 2023).
- Lippi, G. Systematic Assessment of the Hemolysis Index: Pros and Cons. Adv. Clin. Chem. 2015, 71, 157–170. [Google Scholar] [CrossRef] [PubMed]
- Bland, J.M.; Altman, D.G. Measuring agreement in method comparison studies. Stat. Methods Med. Res. 1999, 8, 135–160. [Google Scholar] [CrossRef]
- Scott, L.E.; Galpin, J.S.; Glencross, D.K. Multiple method comparison: Statistical model using percentage similarity. Cytometry Part B Clin. Cytom. 2003, 54, 46–53. [Google Scholar] [CrossRef]
- Lin, L.I. A concordance correlation coefficient to evaluate reproducibility. Biometrics 1989, 45, 255–268. [Google Scholar] [CrossRef]
- McBride, G.B. A proposal for strength-of-agreement criteria for Lin’s Concordance Correlation Coefficient. NIWA Client Report: HAM2005-062. Available online: https://www.medcalc.org/download/pdf/McBride2005.pdf (accessed on 23 January 2023).
- Department of Health and Human Services. Clinical Laboratory Improvement Amendments of 1988 (CLIA) Proficiency Testing Regulations Related to Analytes and Acceptable Performance. 2022; pp. 41238–41239. Available online: https://www.govinfo.gov/content/pkg/FR-2022-07-11/pdf/2022-14513.pdf (accessed on 3 March 2023).
- Nordmann, E.; McAleer, P.; Toivo, W.; Paterson, H.; DeBruine, L.M. Data Visualization Using R for Researchers Who Do Not Use R. Adv. Methods Pract. Psychol. Sci. 2022, 5, 25152459221074654. [Google Scholar] [CrossRef]
- Cao, Y.; Branzell, I.; Vink, M. Determination of clinically acceptable cut-offs for hemolysis index: An application of bootstrap method using real-world data. Clin. Biochem. 2021, 94, 74–79. [Google Scholar] [CrossRef]
- Ranganathan, P.; Pramesh, C.S.; Aggarwal, R. Common pitfalls in statistical analysis: Measures of agreement. Perspect. Clin. Res. 2017, 8, 187–191. [Google Scholar] [CrossRef] [PubMed]
Disclaimer/Publisher’s Note: The statements, opinions and data contained in all publications are solely those of the individual author(s) and contributor(s) and not of MDPI and/or the editor(s). MDPI and/or the editor(s) disclaim responsibility for any injury to people or property resulting from any ideas, methods, instructions or products referred to in the content. |
© 2023 by the authors. Licensee MDPI, Basel, Switzerland. This article is an open access article distributed under the terms and conditions of the Creative Commons Attribution (CC BY) license (https://creativecommons.org/licenses/by/4.0/).









