Endometriosis and Impaired Placentation: A Prospective Cohort Study Comparing Uterine Arteries Doppler Pulsatility Index in Pregnancies of Patients with and without Moderate-Severe Disease
Abstract
:1. Introduction
2. Materials and Methods
2.1. Study Design and Setting
2.2. Population
2.3. Data Collection
2.4. Outcome
2.5. Statistical Analysis
2.6. Power Analysis
3. Results
3.1. Study Population
3.2. Baseline Characteristics and Univariable Analysis
3.3. General Linear Model
4. Discussion
5. Conclusions
Supplementary Materials
Author Contributions
Funding
Institutional Review Board Statement
Informed Consent Statement
Data Availability Statement
Conflicts of Interest
References
- Vercellini, P.; Viganò, P.; Somigliana, E.; Fedele, L. Endometriosis: Pathogenesis and treatment. Nat. Rev. Endocrinol. 2014, 10, 261–275. [Google Scholar] [CrossRef]
- Viganò, P.; Candiani, M.; Monno, A.; Giacomini, E.; Vercellini, P.; Somigliana, E. Time to redefine endometriosis including its pro-fibrotic nature. Hum. Reprod. 2018, 33, 347–352. [Google Scholar] [CrossRef]
- Laganà, A.S.; Garzon, S.; Götte, M.; Viganò, P.; Franchi, M.; Ghezzi, F.; Martin, D.C. The pathogenesis of endometriosis: Molecular and cell biology insights. Int. J. Mol. Sci. 2019, 20, 5615. [Google Scholar] [CrossRef] [Green Version]
- Zondervan, K.T.; Becker, C.M.; Koga, K.; Missmer, S.A.; Taylor, R.N.; Viganò, P. Endometriosis. Nat. Rev. Dis. Primers 2018, 4, 9. [Google Scholar] [CrossRef] [PubMed]
- Teng, S.W.; Horng, H.C.; Ho, C.H.; Yen, M.S.; Chao, H.T.; Wang, P.H.; Taiwan Association of Gynecology Systematic Review Group. Women with endometriosis have higher comorbidities: Analysis of domestic data in Taiwan. J. Chin. Med. Assoc. 2016, 79, 577–582. [Google Scholar] [CrossRef] [PubMed] [Green Version]
- Berlac, J.F.; Hartwell, D.; Skovlund, C.W.; Langhoff-Roos, J.; Lidegaard, Ø. Endometriosis increases the risk of obstetrical and neonatal complications. Acta Obstet. Gynecol. Scand. 2017, 96, 751–760. [Google Scholar] [CrossRef] [Green Version]
- Benaglia, L.; Candotti, G.; Papaleo, E.; Pagliardini, L.; Leonardi, M.; Reschini, M.; Quaranta, L.; Munaretto, M.; Viganò, P.; Candiani, M.; et al. Pregnancy outcome in women with endometriosis achieving pregnancy with IVF. Hum. Reprod. 2016, 31, 2730–2736. [Google Scholar] [CrossRef]
- Brosens, I.; Pijnenborg, R.; Benagiano, G. Defective myometrial spiral artery remodelling as a cause of major obstetrical syndromes in endometriosis and adenomyosis. Placenta 2013, 34, 100–105. [Google Scholar] [CrossRef] [PubMed]
- Viganò, P.; Corti, L.; Berlanda, N. Beyond infertility: Obstetrical and postpartum complications associated with endometriosis and adenomyosis. Fertil. Steril. 2015, 104, 802–812. [Google Scholar] [CrossRef] [PubMed] [Green Version]
- Perucci, L.O.; Corrêa, M.D.; Dusse, L.M.; Gomes, K.B.; Sousa, L.P. Resolution of inflammation pathways in preeclampsia-a narrative review. Immunol. Res. 2017, 65, 774–789. [Google Scholar] [CrossRef] [PubMed]
- Matsuzaki, S.; Ueda, Y.; Nagase, Y.; Matsuzaki, S.; Kakuda, M.; Kakuda, S.; Sakaguchi, H.; Hisa, T.; Kamiura, S. Placenta Accreta Spectrum Disorder Complicated with Endometriosis: Systematic Review and Meta-Analysis. Biomedicines 2022, 10, 390. [Google Scholar] [CrossRef] [PubMed]
- Tan, M.Y.; Wright, D.; Syngelaki, A.; Akolekar, R.; Cicero, S.; Janga, D.; Singh, M.; Greco, E.; Wright, A.; Maclagan, K.; et al. Comparison of diagnostic accuracy of early screening for pre-eclampsia by NICE guidelines and a method combining maternal factors and biomarkers: Results of SPREE. Ultrasound Obstet. Gynecol. 2018, 51, 743–750. [Google Scholar] [CrossRef] [PubMed] [Green Version]
- Sotiriadis, A.; Hernandez-Andrade, E.; da Silva Costa, F.; Ghi, T.; Glanc, P.; Khalil, A.; Martins, W.P.; Odibo, A.O.; Papageorghiou, A.T.; Salomon, L.J.; et al. ISUOG Practice Guidelines: Role of ultrasound in screening for and follow-up of pre-eclampsia. Ultrasound Obstet. Gynecol. 2019, 53, 7–22. [Google Scholar] [CrossRef] [PubMed] [Green Version]
- Poon, L.C.; Shennan, A.; Hyett, J.A.; Kapur, A.; Hadar, E.; Divakar, H.; McAuliffe, F.; da Silva Costa, F.; von Dadelszen, P.; McIntyre, H.D.; et al. The International Federation of Gynecology and Obstetrics (FIGO) initiative on pre-eclampsia: A pragmatic guide for first-trimester screening and prevention. Int. J. Gynaecol. Obstet. 2019, 145, 1–33. [Google Scholar] [CrossRef] [PubMed] [Green Version]
- Tan, M.Y.; Syngelaki, A.; Poon, L.C.; Rolnik, D.L.; O’Gorman, N.; Delgado, J.L.; Akolekar, R.; Konstantinidou, L.; Tsavdaridou, M.; Galeva, S.; et al. Screening for pre-eclampsia by maternal factors and biomarkers at 11-13 weeks’ gestation. Ultrasound Obstet. Gynecol. 2018, 52, 186–195. [Google Scholar] [CrossRef] [PubMed] [Green Version]
- Poon, L.C.; Syngelaki, A.; Akolekar, R.; Lai, J.; Nicolaides, K.H. Combined screening for preeclampsia and small for gestational age at 11–13 weeks. Fetal Diagn. Ther. 2013, 33, 16–27. [Google Scholar] [CrossRef]
- O’Gorman, N.; Tampakoudis, G.; Wright, A.; Wright, D.; Nicolaides, K.H. Uterine artery pulsatility index at 12, 22, 32 and 36 weeks’ gestation in screening for pre-eclampsia. Ultrasound Obstet. Gynecol. 2016, 47, 565–572. [Google Scholar] [CrossRef] [Green Version]
- Valiño, N.; Giunta, G.; Gallo, D.M.; Akolekar, R.; Nicolaides, K.H. Uterine artery pulsatility index at 30–34 weeks’ gestation in the prediction of adverse perinatal outcome. Ultrasound Obstet. Gynecol. 2016, 47, 308–315. [Google Scholar] [CrossRef] [Green Version]
- Scala, C.; Leone Roberti Maggiore, U.; Racca, A.; Barra, F.; Vellone, V.G.; Venturini, P.L.; Ferrero, S. Influence of adenomyosis on pregnancy and perinatal outcomes in women with endometriosis. Ultrasound Obstet. Gynecol. 2018, 52, 666–671. [Google Scholar] [CrossRef] [Green Version]
- Cavoretto, P.I.; Farina, A.; Gaeta, G.; Sigismondi, C.; Spinillo, S.; Casiero, D.; Pozzoni, M.; Viganò, P.; Papaleo, E.; Candiani, M. Uterine artery Doppler in singleton pregnancies conceived after in-vitro fertilization or intracytoplasmic sperm injection with fresh vs frozen blastocyst transfer: Longitudinal cohort study. Ultrasound Obstet. Gynecol. 2020, 56, 603–610. [Google Scholar] [CrossRef]
- Cavoretto, P.I.; Farina, A.; Miglio, R.; Zamagni, G.; Girardelli, S.; Vanni, V.S.; Morano, D.; Spinillo, S.; Sartor, F.; Candiani, M. Prospective longitudinal cohort study of uterine arteries Doppler in singleton pregnancies obtained by IVF/ICSI with oocyte donation or natural conception. Hum. Reprod. 2020, 35, 2428–2438. [Google Scholar] [CrossRef] [PubMed]
- Canis, M.; Donnez, J.G.; Guzick, D.S.; Halme, J.K.; Rock, J.A.; Schenken, R.S.; Vernon, M.W. Revised American Society for Reproductive Medicine classification of endometriosis: 1996. Fertil. Steril. 1997, 67, 817–821. [Google Scholar]
- Von Elm, E.; Altman, D.G.; Egger, M.; Pocock, S.J.; Gøtzsche, P.C.; Vandenbroucke, J.P.; STROBE Initiative. The Strengthening the Reporting of Observational Studies in Epidemiology (STROBE) statement: Guidelines for reporting observational studies. Lancet 2007, 370, 1453–1457. [Google Scholar] [CrossRef]
- International Working Group of AAGL, ESGE, ESHRE and WES; Vermeulen, N.; Abrao, M.S.; Einarsson, J.I.; Horne, A.W.; Johnson, N.P.; Lee, T.; Missmer, S.; Petrozza, J.; Tomassetti, C.; et al. Endometriosis classification, staging and reporting systems: A review on the road to a universally accepted endometriosis classification. Hum. Reprod. Open 2021, 22, hoab025. [Google Scholar]
- Guerriero, S.; Condous, G.; van den Bosch, T.; Valentin, L.; Leone, F.P.; Van Schoubroeck, D.; Exacoustos, C.; Installé, A.J.; Martins, W.P.; Abrao, M.S.; et al. Systematic approach to sonographic evaluation of the pelvis in women with suspected endometriosis, including terms, definitions and measurements: A consensus opinion from the International Deep Endometriosis Analysis (IDEA) group. Ultrasound Obstet. Gynecol. 2016, 48, 318–332. [Google Scholar] [CrossRef]
- World Medical Association. World Medical Association Declaration of Helsinki: Ethical Principles for Medical Research Involving Human Subjects. JAMA 2013, 310, 2191–2194. [Google Scholar] [CrossRef] [PubMed] [Green Version]
- Salomon, L.J.; Alfirevic, Z.; Bilardo, C.M.; Chalouhi, G.E.; Ghi, T.; Kagan, K.O.; Lau, T.K.; Papageorghiou, A.T.; Raine-Fenning, N.J.; Stirnemann, J.; et al. ISUOG Practice Guidelines: Performance of first-trimester fetal ultrasound scan. Ultrasound Obstet. Gynecol. 2013, 41, 102–113. [Google Scholar]
- National Collaborating Center for Women’s and Children’s Health (UK). Antenatal care: Routine care for the healthy pregnant woman. In NICE Clinical Guidelines, No. 62; RCOG Press: London, UK, 2008. [Google Scholar]
- Khalil, A.; Nicolaides, K.H. How to record uterine artery Doppler in the first trimester. Ultrasound Obstet. Gynecol. 2013, 42, 478–479. [Google Scholar] [CrossRef]
- Bhide, A.; Acharya, G.; Bilardo, C.M.; Brezinka, C.; Cafici, D.; Hernandez-Andrade, E.; Kalache, K.; Kingdom, J.; Kiserud, T.; Lee, W.; et al. ISUOG practice guidelines: Use of Doppler ultrasonography in obstetrics. Ultrasound Obstet. Gynecol. 2013, 41, 233–239. [Google Scholar]
- Nicolaides, K.H.; Wright, D.; Syngelaki, A.; Wright, A.; Akolekar, R. Fetal Medicine Foundation fetal and neonatal population weight charts. Ultrasound Obstet. Gynecol. 2018, 52, 44–51. [Google Scholar] [CrossRef] [Green Version]
- Gordijn, S.J.; Beune, I.M.; Thilaganathan, B.; Papageorghiou, A.; Baschat, A.A.; Baker, P.N.; Silver, R.M.; Wynia, K.; Ganzevoort, W. Consensus definition of fetal growth restriction: A Delphi procedure. Ultrasound Obstet. Gynecol. 2016, 48, 333–339. [Google Scholar] [CrossRef] [PubMed]
- WHO. Recommended definitions, terminology and format for statistical tables related to the perinatal period and use of a new certificate for cause of perinatal deaths, Modifications recommended by FIGO as amended October 14, 1976. Acta Obstet. Gynecol. Scand. 1977, 56, 247–253. [Google Scholar]
- Gómez, O.; Figueras, F.; Fernández, S.; Bennasar, M.; Martínez, J.M.; Puerto, B.; Gratacós, E. Reference ranges for uterine artery mean pulsatility index at 11–41 weeks of gestation. Ultrasound Obstet. Gynecol. 2008, 32, 128–132. [Google Scholar] [CrossRef] [PubMed]
- Gómez, O.; Figueras, F.; Martínez, J.M.; del Río, M.; Palacio, M.; Eixarch, E.; Puerto, B.; Coll, O.; Cararach, V.; Vanrell, J.A. Sequential changes in uterine artery blood flow pattern between the first and second trimesters of gestation in relation to pregnancy outcome. Ultrasound Obstet. Gynecol. 2006, 28, 802–808. [Google Scholar] [CrossRef]
- Santoro, L.; D’Onofrio, F.; Campo, S.; Ferraro, P.M.; Tondi, P.; Campo, V.; Flex, A.; Gasbarrini, A.; Santoliquido, A. Endothelial dysfunction but not increased carotid intima-media thickness in young European women with endometriosis. Hum. Reprod. 2012, 27, 1320–1326. [Google Scholar] [CrossRef] [Green Version]
- Tani, A.; Yamamoto, S.; Maegawa, M.; Kunimi, K.; Matsui, S.; Keyama, K.; Kato, T.; Uemura, H.; Kuwahara, A.; Matsuzaki, T.; et al. Arterial stiffness is increased in young women with endometriosis. J. Obstet. Gynaecol. 2015, 35, 711–715. [Google Scholar] [CrossRef]
- Bai, J.; Qi, Q.R.; Li, Y.; Day, R.; Makhoul, J.; Magness, R.R.; Chen, D.B. Estrogen Receptors and Estrogen-Induced Uterine Vasodilation in Pregnancy. Int. J. Mol. Sci. 2020, 21, 4349. [Google Scholar] [CrossRef]
- Huhtinen, K.; Ståhle, M.; Perheentupa, A.; Poutanen, M. Estrogen biosynthesis and signaling in endometriosis. Mol. Cell. Endocrinol. 2012, 358, 146–154. [Google Scholar] [CrossRef]
- Lessey, B.A.; Young, S.L. Homeostasis imbalance in the endometrium of women with implantation defects: The role of estrogen and progesterone. Semin. Reprod. Med. 2014, 32, 365–375. [Google Scholar]
- Vannuccini, S.; Clifton, V.L.; Fraser, I.S.; Taylor, H.S.; Critchley, H.; Giudice, L.C.; Petraglia, F. Infertility and reproductive disorders: Impact of hormonal and inflammatory mechanisms on pregnancy outcome. Hum. Reprod. Update 2016, 22, 104–115. [Google Scholar] [CrossRef]
- Sikora, J.; Mielczarek-Palacz, A.; Kondera-Anasz, Z. Imbalance in cytokines from interleukin-1 family-role in pathogenesis of endometriosis. Am. J. Reprod. Immunol. 2012, 68, 138–145. [Google Scholar] [CrossRef]
- Velasco, I.; Acién, P.; Campos, A.; Acién, M.I.; Ruiz-Maciá, E. Interleukin-6 and other soluble factors in peritoneal fluid and endometriomas and their relation to pain and aromatase expression. J. Reprod. Immunol. 2010, 84, 199–205. [Google Scholar] [CrossRef] [PubMed]
- Aksak, T.; Gümürdülü, D.; Çetin, M.T.; Polat, S. Expression of monocyte chemotactic protein 2 and tumor necrosis factor alpha in human normal endometrium and endometriotic tissues. J. Gynecol. Obstet. Hum. Reprod. 2021, 50, 101971. [Google Scholar] [CrossRef]
- Goteri, G.; Altobelli, E.; Tossetta, G.; Zizzi, A.; Avellini, C.; Licini, C.; Lorenzi, T.; Castellucci, M.; Ciavattini, A.; Marzioni, D. High temperature requirement A1, transforming growth factor beta1, phosphoSmad2 and Ki67 in eutopic and ectopic endometrium of women with endometriosis. Eur. J. Histochem. 2015, 59, 2570. [Google Scholar] [CrossRef] [PubMed] [Green Version]
- Ottolina, J.; Bartiromo, L.; Dolci, C.; Salmeri, N.; Schimberni, M.; Villanacci, R.; Viganò, P.; Candiani, M. Assessment of Coagulation Parameters in Women Affected by Endometriosis: Validation Study and Systematic Review of the Literature. Diagnostics 2020, 10, 567. [Google Scholar] [CrossRef] [PubMed]
- Pijnenborg, R.; Vercruysse, L.; Hanssens, M. The uterine spiral arteries in human pregnancy: Facts and controversies. Placenta 2006, 27, 939–958. [Google Scholar] [CrossRef] [PubMed]
- Cartwright, J.E.; Whitley, G.S. Strategies for investigating the maternal-fetal interface in the first trimester of pregnancy: What can we learn about pathology? Placenta 2017, 60, 145–149. [Google Scholar] [CrossRef] [PubMed]
- Kobayashi, H.; Kawahara, N.; Ogawa, K.; Yoshimoto, C. A Relationship between Endometriosis and Obstetric Complications. Reprod. Sci. 2020, 27, 771–778. [Google Scholar] [CrossRef]
- Zullo, F.; Spagnolo, E.; Saccone, G.; Acunzo, M.; Xodo, S.; Ceccaroni, M.; Berghella, V. Endometriosis and obstetrics complications: A systematic review and meta-analysis. Fertil. Steril. 2017, 108, 667–672. [Google Scholar] [CrossRef] [Green Version]
- Bruun, M.R.; Arendt, L.H.; Forman, A.; Ramlau-Hansen, C.H. Endometriosis and adenomyosis are associated with increased risk of preterm delivery and a small-for-gestational-age child: A systematic review and meta-analysis. Acta Obstet. Gynecol. Scand. 2018, 97, 1073–1090. [Google Scholar] [CrossRef] [Green Version]
- Lalani, S.; Choudhry, A.J.; Firth, B.; Bacal, V.; Walker, M.; Wen, S.W.; Singh, S.; Amath, A.; Hodge, M.; Chen, I. Endometriosis and adverse maternal, fetal and neonatal outcomes, a systematic review and meta-analysis. Hum. Reprod. 2018, 33, 1854–1865. [Google Scholar] [CrossRef] [Green Version]
- Horton, J.; Sterrenburg, M.; Lane, S.; Maheshwari, A.; Li, T.C.; Cheong, Y. Reproductive, obstetric, and perinatal outcomes of women with adenomyosis and endometriosis: A systematic review and meta-analysis. Hum. Reprod. Update 2019, 25, 592–632. [Google Scholar] [CrossRef]
- Pérez-López, F.R.; Villagrasa-Boli, P.; Muñoz-Olarte, M.; Morera-Grau, Á.; Cruz-Andrés, P.; Hernandez, A.V.; Health Outcomes and Systematic Analyses (HOUSSAY) Project. Association between Endometriosis and Preterm Birth in Women with Spontaneous Conception or Using Assisted Reproductive Technology: A Systematic Review and Meta-Analysis of Cohort Studies. Reprod. Sci. 2018, 25, 311–319. [Google Scholar] [CrossRef] [Green Version]
- Tayyar, A.; Guerra, L.; Wright, A.; Wright, D.; Nicolaides, K.H. Uterine artery pulsatility index in the three trimesters of pregnancy: Effects of maternal characteristics and medical history. Ultrasound Obstet. Gynecol. 2015, 45, 689–697. [Google Scholar] [CrossRef] [PubMed]
- Lean, S.C.; Derricott, H.; Jones, R.L.; Heazell, A.E.P. Advanced maternal age and adverse pregnancy outcomes: A systematic review and meta-analysis. PLoS ONE 2017, 12, e0186287. [Google Scholar] [CrossRef] [PubMed] [Green Version]
- Goisis, A.; Remes, H.; Barclay, K.; Martikainen, P.; Myrskylä, M. Advanced Maternal Age and the Risk of Low Birth Weight and Preterm Delivery: A Within-Family Analysis Using Finnish Population Registers. Am. J. Epidemiol. 2017, 186, 1219–1226. [Google Scholar] [CrossRef] [PubMed]
- Erkamp, J.S.; Jaddoe, V.; Mulders, A.; Duijts, L.; Reiss, I.; Steegers, E.; Gaillard, R. Associations of maternal age at the start of pregnancy with placental function throughout pregnancy: The Generation R Study. Eur. J. Obstet. Gynecol. Reprod. Biol. 2020, 251, 53–59. [Google Scholar] [CrossRef]
- Van Duijn, L.; Rousian, M.; Reijnders, I.F.; Willemsen, S.P.; Baart, E.B.; Laven, J.; Steegers-Theunissen, R. The influence of frozen-thawed and fresh embryo transfer on utero-placental (vascular) development: The Rotterdam Periconception cohort. Hum. Reprod. 2021, 36, 2091–2100. [Google Scholar] [CrossRef]
- Nisenblat, V.; Bossuyt, P.M.; Farquhar, C.; Johnson, N.; Hull, M.L. Imaging modalities for the non-invasive diagnosis of endometriosis. Cochrane Database Syst. Rev. 2016, 2, CD009591. [Google Scholar] [CrossRef]
- Guo, S.W. The Pathogenesis of Adenomyosis vis-à-vis Endometriosis. J. Clin. Med. 2020, 9, 485. [Google Scholar] [CrossRef] [Green Version]


| Cases (n = 47) | Controls (n = 93) | p-Value | |
|---|---|---|---|
| Maternal age, years 1 | 34.02 ± 4.9 | 35.22 ± 4.2 | 0.139 |
| BMI, kg/m2 2 | 20.7 (19.4 to 22) | 21.04 (19.1 to 22.7) | 0.672 |
| Smoking, n 3 | 3 (8.8%) | 6 (6.5%) | 0.656 |
| Nulliparous, n 3 | 33 (70.2%) | 65 (69.9%) | 0.969 |
| Spontaneous conception, n 3 | 30 (63.8%) | 62 (66.7%) | 0.738 |
| IVF, n 3 | 17 (36.2%) | 31 (33.3%) | 0.738 |
| Cases (n = 47) | Controls (n = 93) | p-Value | |
|---|---|---|---|
| First trimester | |||
| GA, weeks + days 2 | 11 + 3 (11 + 2 to 12 + 4) | 11 + 3 (11 + 2 to 12 + 3) | 0.366 |
| CRL, mm 1 | 58.19 ± 8.19 | 59.26 ± 7.36 | 0.441 |
| CRL Z-score 2 | 0.51 (0.01 to 0.84) | 0.50 (−0.28 to 1.17) | 0.952 |
| UtA PI 2 | 1.63 (1.02 to 1.79) | 1.51 (1.14 to 1.86) | 0.715 |
| UtA PI Z-score 2 | −0.04 (−0.51 to 0.08) | −0.11 (−0.39 to 0.17) | 0.462 |
| MoM free β-hCG 2 | 0.99 (0.81 to 1.75) | 0.94 (0.63 to 1.32) | 0.326 |
| MoM PAPP-A 2 | 1.01 (0.83 to 1.48) | 1.13 (0.82 to 1.51) | 0.837 |
| Second trimester | |||
| GA, weeks + days 2 | 20 + 3 (19 + 2 to 21 + 4) | 20 + 3 (20 + 2 to 21 + 3) | 0.681 |
| UtA PI 2 | 0.97 (0.75 to 1.12) | 0.85 (0.74 to 1.14) | 0.741 |
| UtA PI Z-score 2 | −0.05 (−0.25 to 0.4) | −0.18 (−0.27 to 0.06) | 0.957 |
| Third trimester | |||
| GA, weeks + days 2 | 31 + 3 (30 + 2 to 32 + 4) | 30 + 3 (30 + 3 to 31 + 3) | 0.312 |
| UtA PI 2 | 0.87 (0.74 to 0.90) | 0.73 (0.63 to 0.88) | 0.033 |
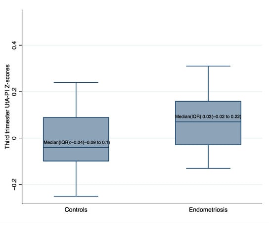
| UtA PI Z-score 2 | 0.03 (−0.02 to 0.22) | −0.04 (−0.09 to 0.1) | 0.024 |
| EFW, grams 2 | 1900 (1582 to 2123) | 1665 (1297 to 2086) | 0.325 |
| EFW, centiles 2 | 54.72 (28.25 to 83.75) | 57.18 (32.75 to 84) | 0.679 |
| SGA fetuses 3 | 4 (8.5%) | 3 (3.2%) | 0.224 |
| LGA fetuses 3 | 4 (8.5%) | 13 (14%) | 0.422 |
| Cases (n = 47) | Controls (n = 93) | p-Value | |
|---|---|---|---|
| Pregnancy | |||
| Gestational hypertension 2 | 3 (6.4%) | 2 (2.2%) | 0.334 |
| Pre-eclampsia 2 | 1 (2.12%) | 0 (0%) | 0.336 |
| Placenta previa 2 | 2 (4.3%) | 0 (0%) | 0.111 |
| Oligohydramnios 2 | 0 (0%) | 5 (5.4%) | 0.168 |
| Perinatal | |||
| GA at delivery, weeks + days 1 | 38 + 2 (37 + 2 to 39 + 3) | 38 + 2 (38 + 2 to 39 + 3) | 0.998 |
| Preterm birth (<37 weeks) 2 | 6 (12.8%) | 3 (3.2%) | 0.030 |
| Birth weight, grams 1 | 3050 (2870 to 3370) | 3225 (2975 to 3450) | 0.304 |
| Birth weight, centiles 1 | 34 (13 to 52) | 42 (25 to 65.5) | 0.223 |
| Birth weight, z-score 1 | −0.41 (−1.15 to 0.06) | −0.19 (−0.67 to 0.40) | 0.192 |
| SGA neonates 2 | 7 (14.9%) | 9 (9.7%) | 0.404 |
| LGA neonates 2 | 1 (2.1%) | 5 (5.4%) | 0.664 |
| 5 min Apgar score < 7 2 | 3 (6.4%) | 2 (2.2%) | 0.334 |
| 10 min Apgar score < 7 2 | 1 (2.1%) | 0 (0%) | 0.336 |
| Fetal sex, male/female 2 | 47/42 (52.8%) | 22/17 (56.4%) | 0.707 |
| Parameter | Beta Coefficient | SE | 95% CI | p-Value |
|---|---|---|---|---|
| Endometriosis | 0.132 | 0.059 | 0.016 to 0.248 | 0.026 |
| Conception by IVF | −0.109 | 0.043 | −0.193 to −0.025 | 0.011 |
| Maternal age, years | 0.013 | 0.005 | 0.003 to 0.022 | 0.007 |
| Nulliparity | 0.061 | 0.044 | −0.024 to 0.146 | 0.160 |
| BMI, kg/m2 | −0.008 | 0.007 | −0.021 to 0.006 | 0.264 |
Publisher’s Note: MDPI stays neutral with regard to jurisdictional claims in published maps and institutional affiliations. |
© 2022 by the authors. Licensee MDPI, Basel, Switzerland. This article is an open access article distributed under the terms and conditions of the Creative Commons Attribution (CC BY) license (https://creativecommons.org/licenses/by/4.0/).
Share and Cite
Salmeri, N.; Farina, A.; Candiani, M.; Dolci, C.; Bonavina, G.; Poziello, C.; Viganò, P.; Cavoretto, P.I. Endometriosis and Impaired Placentation: A Prospective Cohort Study Comparing Uterine Arteries Doppler Pulsatility Index in Pregnancies of Patients with and without Moderate-Severe Disease. Diagnostics 2022, 12, 1024. https://doi.org/10.3390/diagnostics12051024
Salmeri N, Farina A, Candiani M, Dolci C, Bonavina G, Poziello C, Viganò P, Cavoretto PI. Endometriosis and Impaired Placentation: A Prospective Cohort Study Comparing Uterine Arteries Doppler Pulsatility Index in Pregnancies of Patients with and without Moderate-Severe Disease. Diagnostics. 2022; 12(5):1024. https://doi.org/10.3390/diagnostics12051024
Chicago/Turabian StyleSalmeri, Noemi, Antonio Farina, Massimo Candiani, Carolina Dolci, Giulia Bonavina, Caterina Poziello, Paola Viganò, and Paolo Ivo Cavoretto. 2022. "Endometriosis and Impaired Placentation: A Prospective Cohort Study Comparing Uterine Arteries Doppler Pulsatility Index in Pregnancies of Patients with and without Moderate-Severe Disease" Diagnostics 12, no. 5: 1024. https://doi.org/10.3390/diagnostics12051024
APA StyleSalmeri, N., Farina, A., Candiani, M., Dolci, C., Bonavina, G., Poziello, C., Viganò, P., & Cavoretto, P. I. (2022). Endometriosis and Impaired Placentation: A Prospective Cohort Study Comparing Uterine Arteries Doppler Pulsatility Index in Pregnancies of Patients with and without Moderate-Severe Disease. Diagnostics, 12(5), 1024. https://doi.org/10.3390/diagnostics12051024

