Accentuated Peripheral Blood NK Cytotoxicity Forms an Unfavorable Background for Embryo Implantation and Gestation
Abstract
1. Introduction
2. Material and Methods
2.1. Blood Sample Collection
2.2. Study Design
2.3. Randomization of Groups
2.4. Determination of NK Cytotoxicity
2.5. Statistical Analysis
3. Results
3.1. Pregnancy and Live Birth Rates in Patients with Normal and Accentuated NK Cytotoxicity
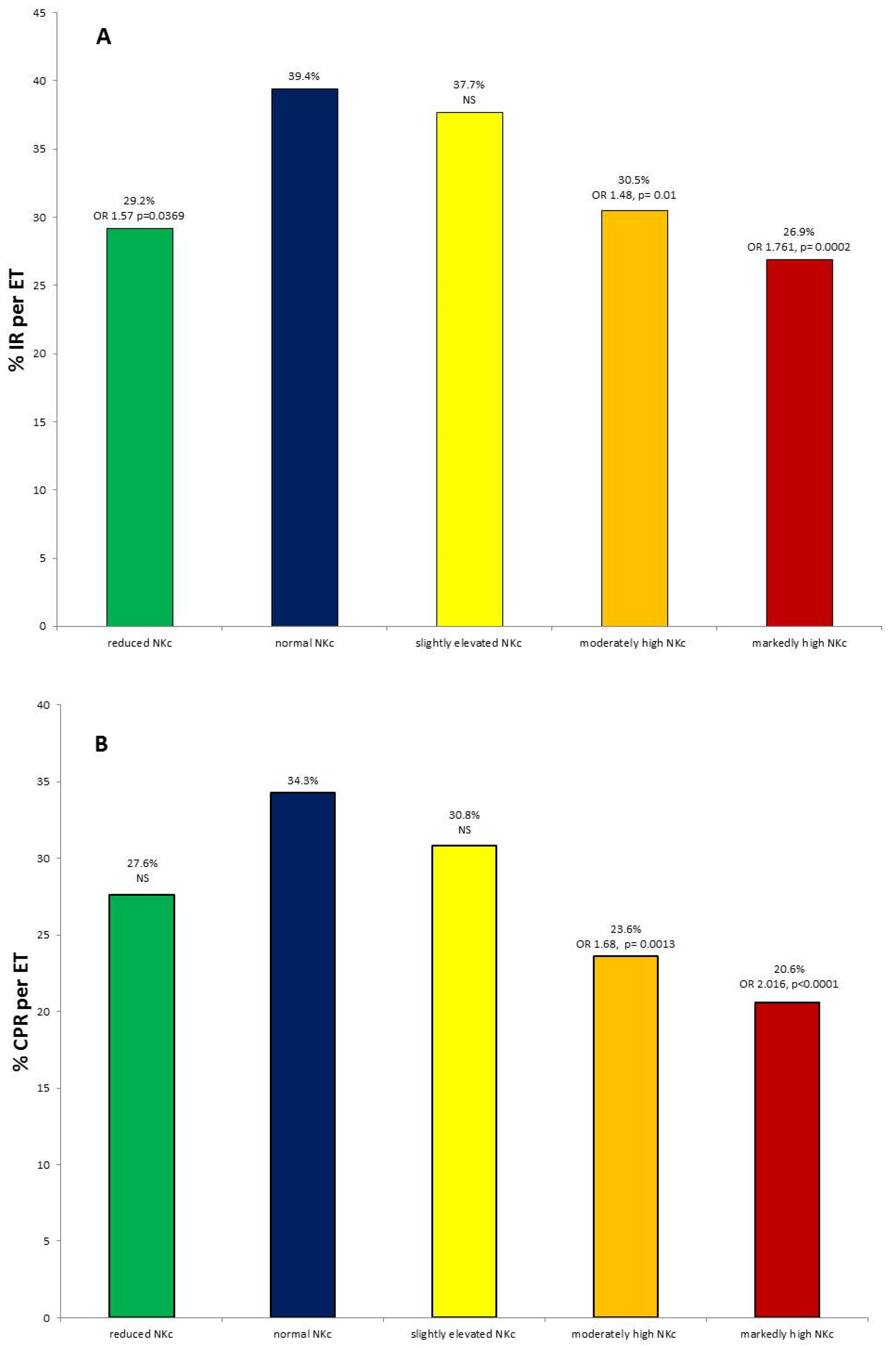
3.2. Degree of NKc Elevation
3.3. Type of ET Cycles
3.4. Age and BMI
4. Discussion
Supplementary Materials
Author Contributions
Funding
Institutional Review Board Statement
Informed Consent Statement
Data Availability Statement
Conflicts of Interest
References
- Díaz-Hernández, I.; Alecsandru, D.; García-Velasco, J.A.; Domínguez, F. Uterine natural killer cells: From foe to friend in reproduction. Hum. Reprod. Update 2021, 27, 720–746. [Google Scholar] [CrossRef]
- Zhang, X.; Wei, H. Role of Decidual Natural Killer Cells in Human Pregnancy and Related Pregnancy Complications. Front. Immunol. 2021, 12, 728291. [Google Scholar] [CrossRef] [PubMed]
- Beer, A.E.; Kwak, J.Y.; Ruiz, J.E. Immunophenotypic profiles of peripheral blood lymphocytes in women with recurrent pregnancy losses and in infertile women with multiple failed in vitro fertilization cycles. Am. J. Reprod. Immunol. 1996, 35, 376–382. [Google Scholar] [CrossRef] [PubMed]
- Woon, E.V.; Greer, O.; Shah, N.; Nikolaou, D.; Johnson, M.; Male, V. Number and function of uterine natural killer cells in recurrent miscarriage and implantation failure: A systematic review and meta-analysis. Hum. Reprod. Update 2022, dmac006. [Google Scholar] [CrossRef] [PubMed]
- Salazar, M.D.; Wang, W.J.; Skariah, A.; He, Q.; Field, K.; Nixon, M.; Reed, R.; Dambaeva, S.; Beaman, K.; Gilman-Sachs, A.; et al. Post-hoc evaluation of peripheral blood natural killer cell cytotoxicity in predicting the risk of recurrent pregnancy losses and repeated implantation failures. J. Reprod. Immunol. 2022, 150, 103487. [Google Scholar] [CrossRef]
- Chernyshov, V.P.; Sudoma, I.O.; Dons’koi, B.V.; Kostyuchyk, A.A.; Masliy, Y.V. Elevated NK cell cytotoxicity, CD158a expression in NK cells and activated T lymphocytes in peripheral blood of women with IVF failures. Am. J. Reprod. Immunol. 2010, 64, 58–67. [Google Scholar] [CrossRef]
- Dons’koi, B.V.; Chernyshov, V.P.; Sirenko, V.Y.; Strelko, G.V.; Osypchuk, V. Peripheral blood natural killer cells activation status determined by CD69 upregulation predicts implantation outcome in IVF. Immunobiology 2014, 219, 167–171. [Google Scholar] [CrossRef]
- El-Badawy, O.; Helmy, A.S.; Abbas, A.M.; Zahran, A.M.; Afifi, N.A.; Abdel-Rahim, M.H. Concordance between peripheral and decidual NK cell subsets and killer immunoglobulin-like receptors in women with recurrent spontaneous miscarriages. J. Reprod. Immunol. 2020, 140, 103130. [Google Scholar] [CrossRef]
- Seshadri, S.; Sunkara, S.K. Natural killer cells in female infertility and recurrent miscarriage: A systematic review and meta-analysis. Hum. Reprod. Update 2014, 20, 429–438. [Google Scholar] [CrossRef]
- Wang, F.; Qualls, A.E.; Marques-Fernandez, L.; Colucci, F. Biology and pathology of the uterine microenvironment and its natural killer cells. Cell. Mol. Immunol. 2021, 18, 2101–2113. [Google Scholar] [CrossRef]
- Croy, B.A.; Zhang, J.; Tayade, C.; Colucci, F.; Yadi, H.; Yamada, A.T. Analysis of uterine natural killer cells in mice. Methods Mol. Biol. 2010, 612, 465–503. [Google Scholar] [PubMed]
- Habets, D.H.J.; Pelzner, K.; Wieten, L.; Spaanderman, M.E.A.; Villamor, E.; Al-Nasiry, S. Intravenous immunoglobulins improve live birth rate among women with underlying immune conditions and recurrent pregnancy loss: A systematic review and meta-analysis. Allergy Asthma Clin. Immunol. 2022, 18, 23. [Google Scholar] [CrossRef] [PubMed]
- Cholujová, D.; Jakubíková, J.; Kubes, M.; Arendacká, B.; Sapák, M.; Ihnatko, R.; Sedlák, J. Comparative study of four fluorescent probes for evaluation of natural killer cell cytotoxicity assays. Immunobiology 2008, 213, 629–640. [Google Scholar] [CrossRef] [PubMed]
- Litwin, V.; Gumperz, J.; Parham, P.; Phillips, J.H.; Lanier, L.L. Specificity of HLA class I antigen recognition by human NK clones: Evidence for clonal heterogeneity, protection by self and non-self alleles, and influence of the target cell type. J. Exp. Med. 1993, 178, 1321–1336. [Google Scholar] [CrossRef] [PubMed]
- Dons’koi, B.V.; Osypchuk, D.V.; Chernyshov, V.P. Enumeration of peripheral blood NKp46 positive NK lymphocytes reflects NK cytotoxic activity in vitro. J. Immunol. Methods 2019, 474, 112639. [Google Scholar] [CrossRef] [PubMed]
- Dons’koi, B.V.; Osypchuk, D.V.; Chernyshov, V.P.; Khazhylenko, K.G. Expression of natural cytotoxicity receptor NKp46 on peripheral blood natural killer cells in women with a history of recurrent implantation failures. J. Obstet. Gynaecol. Res. 2021, 47, 1009–1015. [Google Scholar] [CrossRef] [PubMed]
- Chernyshov, P.; Dons’koi, B.V.; Sudoma, I.O.; Goncharova, Y.O. Favorable immune phenotype predicts successful implantation and pregnancy. Immunol. Lett. 2014, 162, 217–221. [Google Scholar] [CrossRef]
- Dons’koi, B.V.; Chernyshov, V.P.; Osypchuk, D.V.; Sudoma, I.; Khazhylenko, K.G.; Strelko, G.V.; Sirenko, W.J. Natural killer frequency determines natural killer cytotoxicity directly in accentuated zones and indirectly in “moderate-to-normal frequency” segment. Cent. Eur. J. Immunol. 2020, 45, 315–324. [Google Scholar] [CrossRef]
- Ogata, K.; An, E.; Shioi, Y.; Nakamura, K.; Luo, S.; Yokose, N.; Minami, S.; Dan, K. Association between natural killer cell activity and infection in immunologically normal elderly people. Clin. Exp. Immunol. 2001, 124, 392–397. [Google Scholar] [CrossRef]
- Ogata, K.; Yokose, N.; Tamura, H. Natural killer cells in the late decades of human life. Clin. Immunol. Immunopathol. 1997, 84, 269–275. [Google Scholar] [CrossRef]
- Sansoni, P.; Cossarizza, A.; Brianti, V. Lymphocyte subsets and natural killer cell activity in healthy old people and centenarians. Blood 1993, 82, 2767–2773. [Google Scholar] [CrossRef] [PubMed]
- Sun, C.; Sun, H.Y.; Xiao, W.H.; Zhang, C.; Tian, Z.G. Natural killer cell dysfunction in hepatocellular carcinoma and NK cell-based immunotherapy. Acta Pharmacol. Sin. 2015, 36, 1191–1199. [Google Scholar] [CrossRef] [PubMed]
- Golden-Mason, L.; Cox, A.L.; Randall, J.A.; Cheng, L.; Rosen, H.R. Increased natural killer cell cytotoxicity and NKp30 expression protects against hepatitis C virus infection in high-risk individuals and inhibits replication in vitro. Hepatology 2010, 52, 1581–1589. [Google Scholar] [CrossRef] [PubMed]
- Hiby, S.E.; Walker, J.J.; O’Shaughnessy, K.M.; Redman, C.W.G.; Carrington, M.; Trowsdale, J.; Moffett, A. Combinations of maternal KIR and fetal HLA-C genes influence the risk of preeclampsia and reproductive success. J. Exp. Med. 2004, 200, 957–965. [Google Scholar] [CrossRef]
- Penman, B.S.; Moffett, A.; Chazara, O.; Gupta, S.; Parham, P. Reproduction, infection and killer-cell immunoglobulin-like receptor haplotype evolution. Immunogenetics 2016, 68, 755–764. [Google Scholar] [CrossRef]
- Ramos-Medina, R.; García-Segovia, Á.; León, J.A.; Alonso, B.; Tejera-Alhambra, M.; Gil, J.; Caputo, J.D.; Seyfferth, A.; Aguarón, Á.; Vicente, Á.; et al. New decision-tree model for defining the risk of reproductive failure. Am. J. Reprod. Immunol. 2013, 70, 59–68. [Google Scholar] [CrossRef]
- El-Azzamy, H.; Dambaeva, S.V.; Katukurundage, D.; Salazar Garcia, M.D.; Skariah, A.; Hussein, Y.; Germain, A.; Fernandez, E.; Gilman-Sachs, A.; Beaman, K.D.; et al. Dysregulated uterine natural killer cells and vascular remodeling in women with recurrent pregnancy losses. Am. J. Reprod. Immunol. 2018, 80, e13024. [Google Scholar] [CrossRef]
- Koo, H.S.; Kwak-Kim, J.; Yi, H.J.; Ahn, H.K.; Park, C.W.; Cha, S.H.; Kang, I.S.; Yang, K.M. Resistance of uterine radial artery blood flow was correlated with peripheral blood NK cell fraction and improved with low Molecular weight heparin therapy in women with unexplained recurrent pregnancy loss. Am. J. Reprod. Immunol. 2015, 73, 175–184. [Google Scholar] [CrossRef]
- Chernyshov, V.P.; Sudoma, I.O.; Dons’koi, B.V.; Solovyov, O.I.; Goncharova, Y.O. Immune abnormalities in IVF pregnancy with insufficiency in remodeling of spiral uterine arteries. J. Reprod. Immunol. 2009, 81, 156. [Google Scholar] [CrossRef]
- Alecsandru, D.; García-Velasco, J.A. Why natural killer cells are not enough: A further understanding of killer immunoglobulin-like receptor and human leukocyte antigen. Fertil. Steril. 2017, 107, 1273–1278. [Google Scholar] [CrossRef]
- Alecsandru, D.; Garrido, N.; Vicario, J.L.; Barrio, A.; Aparicio, P.; Requena, A.; García-Velasco, J.A. Maternal KIR haplotype influences live birth rate after double embryo transfer in IVF cycles in patients with recurrent miscarriages and implantation failure. Hum. Reprod. 2014, 29, 2637–2643. [Google Scholar] [CrossRef] [PubMed]
- Thum, M.Y.; Bhaskaran, S.; Bansal, A.S.; Shehata, H.; Ford, B.; Sumar, N.; Abdalla, H.I. Simple enumerations of peripheral blood natural killer (CD56+ NK) cells, B cells and T cells have no predictive value in IVF treatment outcome. Hum. Reprod. 2005, 20, 1272–1276. [Google Scholar] [CrossRef] [PubMed]
- Jang, Y.Y.; Cho, D.; Kim, S.K.; Shin, D.J.; Park, M.H.; Lee, J.J.; Shin, M.G.; Shin, J.H.; Suh, S.P.; Ryang, D.W. An improved flow cytometry-based natural killer cytotoxicity assay involving calcein AM staining of effector cells. Ann. Clin. Lab. Sci. 2012, 42, 42–49. [Google Scholar] [PubMed]
- Thum, M.Y.; Bhaskaran, S.; Abdalla, H.I.; Ford, B.; Sumar, N.; Bansal, A. Prednisolone suppresses NK cell cytotoxicity in vitro in women with a history of infertility and elevated NK cell cytotoxicity. Am. J. Reprod. Immunol. 2008, 59, 259–265. [Google Scholar] [CrossRef]
- Bisset, L.R.; Lung, T.L.; Kaelin, M.; Ludwig, E.; Dubs, R.W. Reference values for peripheral blood lymphocyte phenotypes applicable to the healthy adult population in Switzerland. Eur. J. Haematol. 2004, 72, 203–212. [Google Scholar] [CrossRef]
- Choi, J.; Lee, S.J.; Lee, Y.A.; Maeng, H.G.; Lee, J.K.; Kang, Y.W. Reference values for peripheral blood lymphocyte subsets in a healthy korean population. Immune Netw. 2014, 14, 289–295. [Google Scholar] [CrossRef][Green Version]
- Reichert, T.; DeBruyère, M.; Deneys, V.; Tötterman, T.; Lydyard, P.; Yuksel, F.; Chapel, H.; Jewell, D.; Van Hove, L.; Linden, J.; et al. Lymphocyte subset reference ranges in adult Caucasians. Clin. Immunol. Immunopathol. 1991, 60, 190–208. [Google Scholar] [CrossRef]
- Torres, A.J.; Cisneiros, P.; Guedes, R.; Grassi, M.F.; Meyer, R.; Bendicho, M.T.; Lopes, T.G.; Félix, G.; Netto, E.M.; Brites, C.; et al. Lymphocyte subset reference intervals in blood donors from northeastern Brazil. An. Acad. Bras. Ciências 2015, 87, 1019–1025. [Google Scholar] [CrossRef]
- Yougbaré, I.; Tai, W.S.; Zdravic, D.; Oswald, B.E.; Lang, S.; Zhu, G.; Leong-Poi, H.; Qu, D.; Yu, L.; Dunk, C.; et al. Activated NK cells cause placental dysfunction and miscarriages in fetal alloimmune thrombocytopenia. Nat. Commun. 2017, 8, 224. [Google Scholar] [CrossRef]
- Gomaa, M.F.; Eldeen, I.F.S.; Farid, L.A.; El-Saeed, M.M.E.; Abas, A.M.; Aawd, N.M. Uterine natural killer cells dysregulation in idiopathic human preterm birth: A pilot study. J. Matern.-Fetal Neonatal Med. 2017, 30, 1782–1786. [Google Scholar] [CrossRef]
- Moffett, A.; Hiby, S.E.; Sharkey, A.M. The role of the maternal immune system in the regulation of human birthweight. Philos. Trans. R. Soc. Lond. B Biol. Sci. 2015, 370, 20140071. [Google Scholar] [CrossRef] [PubMed]
- Quenby, S.; Nik, H.; Innes, B.; Lash, G.; Turner, M.; Drury, J.; Bulmer, J. Uterine natural killer cells and angiogenesis in recurrent reproductive failure. Hum. Reprod. 2009, 24, 45–54. [Google Scholar] [CrossRef] [PubMed]
- Chiokadze, M.; Bär, C.; Pastuschek, J.; Dons’koi, B.V.; Khazhylenko, K.G.; Schleußner, E.; Markert, U.R.; Favaro, R.R. Beyond Uterine Natural Killer Cell Numbers in Unexplained Recurrent Pregnancy Loss: Combined Analysis of CD45, CD56, CD16, CD57, and CD138. Diagnostics 2020, 10, 650. [Google Scholar] [CrossRef] [PubMed]
- Williams, P.J.; Bulmer, J.N.; Searle, R.F.; Innes, B.A.; Robson, S.C. Altered decidual leucocyte populations in the placental bed in pre-eclampsia and foetal growth restriction: A comparison with late normal pregnancy. Reproduction 2009, 138, 177–184. [Google Scholar] [CrossRef]
- Dons’koi, B.V. Accentuated hypo- and hyper-NK lymphocyte CD8 expression is a marker of NK subsets’ misbalance and is predictive for reproductive failures. Immunobiology 2015, 220, 649–655. [Google Scholar] [CrossRef]
- Dons’koĭ, B.V.; Chernyshov, V.P.; Sudoma, I.O.; Honcharova, I.A.O.; Osypchuk, D.V. Qualitative analysis of accented CD158a receptor expression in NK-lymphocytes in women with reproductive failures. Lik Sprava 2013, 1, 86–93. [Google Scholar]
- Dons’koi, B.V. Theory of immune accentuation: Clinical background. Obstet. Gynecol. Genet. 2016, 2, 23–29. [Google Scholar]
- Laird, S.M.; Mariee, N.; Wei, L.; Li, T.C. Measurements of CD56+ cells in peripheral blood and endometrium by flow cytometry and immunohistochemical staining in situ. Hum. Reprod. 2011, 26, 1331–1337. [Google Scholar] [CrossRef]
- Chernyshov, V.P.; Dons’koi, B.V.; Sudoma, I.O.; Goncharova, Y.O. Comparison of T and NK lymphocyte subsets between human endometrial tissue and peripheral blood. Cent. Eur. J. Immunol. 2019, 44, 316–321. [Google Scholar] [CrossRef]
- Dons’koi, B.; Sudoma, I.; Khazhylenko, K.; Goncharova, Y.; Chernychov, V. Implantation unfavorable phenotype of endometrial lymphocytes in patients with RIF on PGD tested embryos. Am. J. Reprod. Immunol. 2019, 81 (Suppl. 1), 72–73. [Google Scholar]
- Park, D.W.; Lee, H.J.; Park, C.W.; Hong, S.R.; Kwak-Kim, J.; Yang, K.M. Peripheral blood NK cells reflect changes in decidual NK cells in women with recurrent miscarriages. Am. J. Reprod. Immunol. 2010, 63, 173–180. [Google Scholar] [CrossRef] [PubMed]



| Age | Number of Unsuccessful Programs | Endometrial Thickness (mm) | Number of Transferred Embryos | AMH (ng/mL) 2–3 Day of Cycle | FSH, (Mmo/Ml) 2–3 Day of Cycle | LH, (mMO/mL) 2–3 Day of Cycle | |
|---|---|---|---|---|---|---|---|
| elevated NKc (n = 759) | 35.4 ± 4.3 | 2.01 ± 0.8 | 10.78 ± 1.5 | 1.82 ± 0.3 | 2.7 ± 1.7 ** | 8.9 ± 3.5 | 7.2 ± 3.1 |
| Normal NKc (n = 871) | 35.0 ± 4.1 | 1.91 ± 0.6 | 10.96 ± 1.1 | 1.91 ± 0.2 | 3.2 ± 1.5 | 8.8 ± 3.0 | 6.7 ± 2.9 |
| reduced NKc (n = 123) | 33.6 ± 4.4 | 2.7 ± 0.4 * | 10.6 ± 1.6 | 1.85 ± 0.3 | 2.90 ± 1.8 | 8.41 ± 3.7 | 7.5 ± 3.5 |
| No difference | p < 0.05 * | No difference | No difference | p = 0.1 ** | No difference | No difference |
| ET | IR | ?* Subsequent information | BcP | Ectopic Pregnancy | CPR | ?** | Anembryonic Pregnancy | Pregnancy Failure <12 w/g | Pregnancy Failure 12–24 w/g | Malformations | LBR | Caesarean Section | |
|---|---|---|---|---|---|---|---|---|---|---|---|---|---|
| Elevated NKc | 759 | 233 30.7% | 1 | 40 5.2% | 6 | 187 24.7% | 20 | 13 7.8% | 55 32.9% | 5 3% | 0 | 91 12.3% | 48 |
| Normal NKc | 871 | 343 39.4% | 2 | 39 4.4% | 2 | 298 34.3% | 11 | 4 1.4% | 57 19.8% | 11 3.8% | 3 | 204 23.8% | 119 |
| Reduced NKc | 123 | 36 29.35% | 0 | 3 2.4% | 0 | 34 27.6% | 4 | 4 1.3% | 6 20% | 1 3.3% | 0 | 19 15.9% | 8 |
| IR | CPR | LBR | Pregnancy Failure @ | |
|---|---|---|---|---|
| Elevated NKc | 30.7% (233/759) * | 24.7% (187/758) * | 12.3% (91/738) * | 43.7% (73/167) * |
| Normal NKc | 39.3% (343/871) | 34.3% (298/869) | 23.8% (204/858) | 26.1% (75/287) |
| Reduced NKc | 29.3% (36/123) * | 27.6% (34/123) | 15.9% (19/119) ** | 36.7 (11/30) * |
Publisher’s Note: MDPI stays neutral with regard to jurisdictional claims in published maps and institutional affiliations. |
© 2022 by the authors. Licensee MDPI, Basel, Switzerland. This article is an open access article distributed under the terms and conditions of the Creative Commons Attribution (CC BY) license (https://creativecommons.org/licenses/by/4.0/).
Share and Cite
Dons’koi, B.; Onyshchuk, O.; Kononenko, I.; Sirenko, V.; Bodnar, N.; Serbyn, A.; Kozachok, A.; Brovarska, Y.; Osypchuk, D.; Anochko, Y.; et al. Accentuated Peripheral Blood NK Cytotoxicity Forms an Unfavorable Background for Embryo Implantation and Gestation. Diagnostics 2022, 12, 908. https://doi.org/10.3390/diagnostics12040908
Dons’koi B, Onyshchuk O, Kononenko I, Sirenko V, Bodnar N, Serbyn A, Kozachok A, Brovarska Y, Osypchuk D, Anochko Y, et al. Accentuated Peripheral Blood NK Cytotoxicity Forms an Unfavorable Background for Embryo Implantation and Gestation. Diagnostics. 2022; 12(4):908. https://doi.org/10.3390/diagnostics12040908
Chicago/Turabian StyleDons’koi, Boris, Oksana Onyshchuk, Iryna Kononenko, Vira Sirenko, Natalia Bodnar, Andrii Serbyn, Anzhela Kozachok, Yulia Brovarska, Dariia Osypchuk, Yaroslava Anochko, and et al. 2022. "Accentuated Peripheral Blood NK Cytotoxicity Forms an Unfavorable Background for Embryo Implantation and Gestation" Diagnostics 12, no. 4: 908. https://doi.org/10.3390/diagnostics12040908
APA StyleDons’koi, B., Onyshchuk, O., Kononenko, I., Sirenko, V., Bodnar, N., Serbyn, A., Kozachok, A., Brovarska, Y., Osypchuk, D., Anochko, Y., & Chernychov, V. (2022). Accentuated Peripheral Blood NK Cytotoxicity Forms an Unfavorable Background for Embryo Implantation and Gestation. Diagnostics, 12(4), 908. https://doi.org/10.3390/diagnostics12040908
