The Use of 18F-FDG PET/CT Metabolic Parameters in Predicting Overall Survival in Patients Undergoing Restaging for Malignant Melanoma
Abstract
:1. Introduction
2. Materials and Methods
2.1. Patients
2.2. 18F-FDG PET/CT Imaging
2.3. Image Interpretation and PET/CT Data Analysis
2.4. Clinical Endpoints and Follow-Ups
2.5. Statistical Analysis
3. Results
3.1. Patient Characteristics
3.2. Metabolic PET Parameters
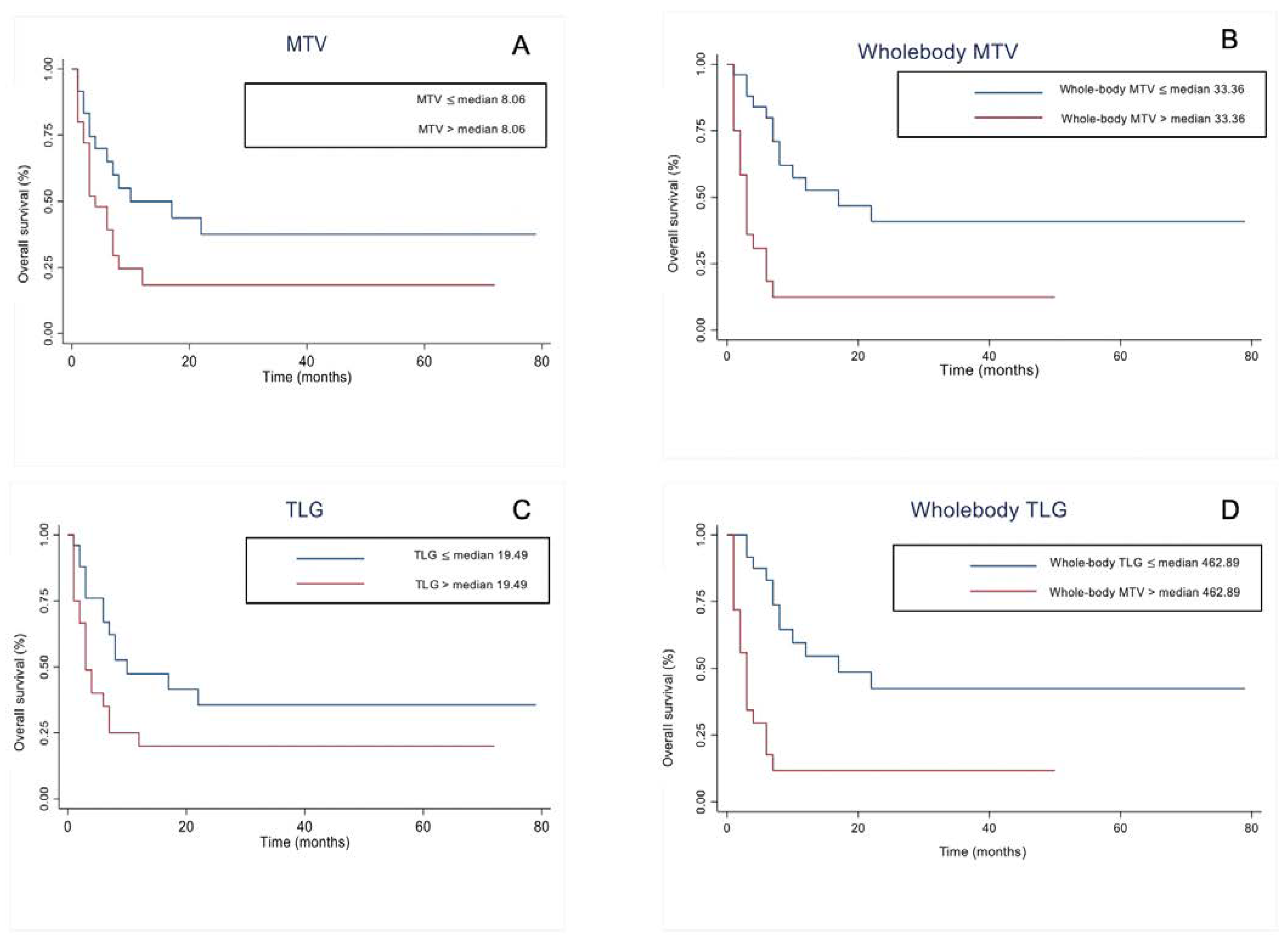
3.3. Survival Analysis
3.4. Univariate Analysis of Demographic and Clinicopathology in Relation to Overall Survival
4. Discussion
5. Conclusions
Author Contributions
Funding
Institutional Review Board Statement
Informed Consent Statement
Data Availability Statement
Acknowledgments
Conflicts of Interest
References
- Matthews, N.H.; Li, W.Q.; Qureshi, A.A.; Weinstock, M.A.; Cho, E. Epidemiology of melanoma. In Cutaneous Melanoma: Etiology and Therapy; Ward, W.H., Farma, J.M., Eds.; Codon Publications: Brisbane, Australia, 2017. [Google Scholar]
- Tod, B.M.; Kellett, P.E.; Singh, E.; Visser, W.I.; Lombard, C.J.; Wright, C.Y. The incidence of melanoma in South Africa: An exploratory analysis of National Cancer Registry data from 2005 to 2013 with a specific focus on melanoma in black Africans. S. Afr. Med. J. 2019, 109, 246–253. [Google Scholar] [CrossRef] [PubMed]
- Aktolun, C.; Goldsmith, S.J. Nuclear Oncology; Wolters Kluwer: Philadelphia, PA, USA, 2015. [Google Scholar]
- Pleiss, C.; Risse, J.H.; Biersack, H.-J.; Bender, H. Role of FDG-PET in the assessment of survival prognosis in melanoma. Cancer Biother. Radiopharm. 2007, 22, 740–747. [Google Scholar] [CrossRef] [PubMed]
- Park, S.G.; Lee, J.H.; Lee, W.A.; Han, K.M. Biologic correlation between glucose transporters, hexokinase-ii, ki-67 and FDG uptake in malignant melanoma. Nucl. Med. Biol. 2012, 39, 1167–1172. [Google Scholar] [CrossRef] [PubMed]
- Reinhardt, M.J.; Joe, A.Y.; Jaeger, U.; Huber, A.; Matthies, A.; Bucerius, J.; Roedel, R.; Strunk, H.; Bieber, T.; Biersack, H.J.; et al. Diagnostic performance of whole body dual modality 18F-FDG PET/CT imaging for N- and M-staging of malignant melanoma: Experience with 250 consecutive patients. J. Clin. Oncol. 2006, 24, 1178–1187. [Google Scholar] [CrossRef]
- Twycross, S.H.; Burger, H.; Holness, J. The utility of PET-CT in the staging and management of advanced and recurrent malignant melanoma. S. Afr. J. Surg. Suid-Afrik. Tydskr. Chir. 2019, 57, 44–49. [Google Scholar] [CrossRef]
- Ito, K.; Schöder, H.; Teng, R.; Humm, J.L.; Ni, A.; Wolchok, J.D.; Weber, W.A. Prognostic value of baseline metabolic tumor volume measured on 18F-fluorodeoxyglucose positron emission tomography/computed tomography in melanoma patients treated with ipilimumab therapy. Eur. J. Nucl. Med. Mol. Imaging 2019, 46, 930–939. [Google Scholar] [CrossRef]
- Joyce, K.M. Surgical management of melanoma. In Cutaneous Melanoma: Etiology and Therapy; Ward, W.H., Farma, J.M., Eds.; Codon Publications: Brisbane, Australia, 2017. [Google Scholar]
- Kang, S.; Ahn, B.-C.; Hong, C.; Song, B.; Lee, H.; Jeong, S.; Lee, S.; Lee, J.; Lee, S. Can (18)F-FDG PET/CT predict recurrence in patients with cutaneous malignant melanoma? Nuclearmedizin 2011, 50, 116–121. [Google Scholar] [CrossRef]
- Son, S.H.; Kang, S.M.; Jeong, S.Y.; Lee, S.W.; Lee, S.J.; Lee, J.; Ahn, B.C. Prognostic Value of Volumetric Parameters Measured by Pretreatment 18F FDG PET/CT in Patients with Cutaneous Malignant Melanoma. Clin. Nucl. Med. 2016, 41, e266–e273. [Google Scholar] [CrossRef]
- Boellaard, R.; Delgado-Bolton, R.; Oyen, W.J.; Giammarile, F.; Tatsch, K.; Eschner, W.; Verzijlbergen, F.J.; Barrington, S.F.; Pike, L.C.; Weber, W.A.; et al. FDG PET/CT: EANM procedure guidelines for tumour imaging: Version 2.0. Eur. J. Nucl. Med. Mol. Imaging 2015, 42, 328–354. [Google Scholar] [CrossRef]
- Mokoala, K.M.G.; Lawal, I.O.; Lengana, T.; Popoola, G.O.; Boshomane, T.M.G.; Mokgoro, N.P.; Vorster, M.; Sathekge, M.M. The association of tumor burden by 18F-FDG PET/CT and survival in vulvar carcinoma. Clin. Nucl. Med. 2021, 46, 375–381. [Google Scholar] [CrossRef]
- Lawal, I.O.; Ankrah, A.O.; Popoola, G.O.; Nyakale, N.E.; Boshomane, T.G.; Reyneke, F.; Lengana, T.; Vorster, M.; Sathekge, M.M. 18F-FDG-PET metabolic metrics and international prognostic score for risk assessment in HIV-infected patients with Hodgkin Lymphoma. Nucl. Med. Commun. 2018, 39, 1005–1012. [Google Scholar] [CrossRef] [PubMed]
- Lawal, I.O.; Nyakale, N.E.; Harry, L.M.; Modiselle, M.R.; Ankrah, A.O.; Msomi, A.P.; Mokgoro, N.P.; Boshomane, T.G.; de Wiele, C.V.; Sathekge, M.M. The role of F-18 FDG PET/CT in evaluating the impact of HIV infection on tumor burden and therapy outcome in patients with Hodgkin Lymphoma. Eur. J. Nucl. Med. Mol. Imaging 2017, 44, 2025–2033. [Google Scholar] [CrossRef]
- Van de Wiele, C.; Kruse, V.; Smeets, P.; Sathekge, M.; Maes, A. Predictive and prognostic value of metabolic tumour volume and total lesion glycolysis in solid tumours. Eur. J. Nucl. Med. Mol. Imaging 2013, 40, 290–301. [Google Scholar] [CrossRef]
- Im, H.; Bradshaw, T.; Solaiyappan, M.; Cho, S. Current Methods to Define Metabolic Tumor Volume in Positron Emission Tomography: Which one is better? Nucl. Med. Mol. Imaging 2018, 52, 5–15. [Google Scholar] [CrossRef] [PubMed]
- Steiger, S.; Arvanitakis, M.; Sick, B.; Weder, W.; Hillinger, S.; Burger, I.A. Analysis of Prognostic Values of Various PET Metrics in Preoperative 18F-FDG PET for Early-Stage Bronchial Carcinoma for Progression-Free and Overall Survival: Significantly Increased Glycolysis Is a Predictive Factor. J. Nucl. Med. 2017, 58, 1925–1930. [Google Scholar] [CrossRef] [PubMed] [Green Version]
- Han, S.; Kim, Y.; Woo, S.; Suh, C.; Lee, J. Prognostic Value of Volumetric Parameters of Pretreatment 18F-FDG PET/CT in Esophageal Cancer: A Systematic Review and Meta-analysis. Clin. Nucl. Med. 2018, 43, 887–894. [Google Scholar] [CrossRef] [PubMed]
- Wang, L.; Bai, J.; Duan, P. Prognostic value of 18F-FDG PET/CT functional parameters in patients with head and neck cancer: A meta-analysis. Nucl. Med. Commun. 2019, 40, 361–369. [Google Scholar] [CrossRef]
- Kim, H.; Yoo, I.R.; Boo, S.H.; Park, H.L.; O, J.H.; Kim, S.H. Prognostic Value of Pre- and Post-Treatment FDG PET/CT Parameters in Small Cell Lung Cancer Patients. Nucl. Med. Mol. Imaging 2018, 52, 31–38. [Google Scholar] [CrossRef]
- Reinert, C.; Gatidis, S.; Sekler, J.; Dittmann, H.; Pfannenberg, C.; la Fougère, C.; Nikolaou, K.; Forschner, A. Clinical and prognostic value of tumor volumetric parameters in melanoma patients undergoing 18F-FDG-PET/CT: A comparison with serologic markers of tumor burden and inflammation. Cancer Imaging 2020, 20, 44. [Google Scholar] [CrossRef]
- Schweighofer-Zwink, G.; Manafi-Farid, R.; Kölblinger, P.; Hehenwarter, L.; Harsini, S.; Pirich, C.; Beheshti, M. Prognostic value of 2-[18f]FDG PET-CT in metastatic melanoma patients receiving immunotherapy. Eur. J. Radiol. 2022, 146, 110107. [Google Scholar] [CrossRef]
- Albano, D.; Familiari, D.; Fornito, C.M.; Scalisi, S.; Laudicella, R.; Galia, M.; Grassedonio, E.; Ruggeri, A.; Ganduscio, G.; Messina, M.; et al. Clinical and Prognostic Value of 18F-FDG-PET/CT in the Restaging Process of Recurrent Cutaneous Melanoma. Curr. Radiopharm. 2020, 13, 42–47. [Google Scholar] [CrossRef] [PubMed]
- Lawal, I.; Lengana, T.; Ololade, K.; Boshomane, T.; Reyneke, F.; Modiselle, M.; Vorster, M.; Sathekge, M. 18F-FDG PET/CT in the detection of asymptomatic malignant melanoma recurrence. Nuklearmedizin 2017, 56, 83–89. [Google Scholar] [CrossRef] [PubMed]
- Gershenwald, J.E.; Scolyer, R.A. Melanoma Staging: American Joint Committee on Cancer (AJCC) 8th Edition and Beyond. Ann. Surg. Oncol. 2018, 25, 2105–2110. [Google Scholar] [CrossRef]
- Pirkle, C.M.; Dumont, A.; Zunzunegui, M.-V. Medical recordkeeping, essential but overlooked aspect of quality of care in resource-limited settings. Int. J. Qual. Health Care 2012, 24, 564–567. [Google Scholar] [CrossRef] [PubMed] [Green Version]
- Li, H.-C.; Chen, Y.-W.; Chen, T.-J.; Chiou, S.-H.; Hwang, S.-J. The role of patient records in research: A bibliometric analysis of publications from an academic medical center in Taiwan. J. Chin. Med. Assoc. 2021, 84, 718–721. [Google Scholar] [CrossRef]




| Variables | Restaging | ||
|---|---|---|---|
| Survivors n (%) | Non-Survivors n (%) | Total n (%) | |
| Age (years) | |||
| <65 | 13 (76.47) | 17 (53.13) | 30 (61.22) |
| ≥65 | 4 (23.53) | 15 (46.88) | 19 (38.78) |
| Sex | |||
| Female | 11 (64.71) | 12 (37.5) | 23 (46.94) |
| Male | 6 (35.29) | 20 (62.5) | 26 (53.06) |
| Site of the primary tumor | |||
| Upper limb | 2 (11.76) | 2 (6.25) | 4 (8.16) |
| Lower limb | 7 (41.18) | 14 (43.75) | 21 (42.86) |
| Head and neck | 4 (23.53) | 12 (37.5) | 16 (32.65) |
| Chest and back | 4 (23.53) | 4 (12.5) | 8 (16.33) |
| Histology | |||
| Acral lentiginous | 0 | 1 (3.13) | 1 (2.04) |
| Amelanotic | 2 (11.76) | 0 | 2 (4.08) |
| Choroidal melanoma | 0 | 1 (3.13) | 1 (2.04) |
| Malignant melanoma | 9 (52.94) | 26 (81.25) | 35 (71.43) |
| Nodular | 5 (29.41) | 4 (12.5) | 9 (18.37) |
| Superficial spreading | 1 (5.88) | 0 | 1 (2.04) |
| Clinical staging | |||
| II | 3 (17.65) | 2 (6.25) | 5 (10.2) |
| III | 8 (47.06) | 6 (18.75) | 14 (28.57) |
| IV | 6 (35.29) | 24 (75.0) | 30 (61.22) |
| PET Parameter | Restaging Group | |||
|---|---|---|---|---|
| Total Median (IQR) | Survivors Median (IQR) | Non-Survivors Median (IQR) | p-Value | |
| SUVmax | 6.62 (3.1–12.6) | 3.66 (2.9–8.7) | 8.65 (3.27–13.6) | 0.0661 |
| MTV (cm3) | 8.06 (2.9–21.0) | 5.68 (2.5–12.2) | 11.86 (4.1–191.6) | 0.022 |
| TLG | 19.49 (6.8–118.3) | 14.3 (5.0–23.9) | 31.25 (9.9–191.6) | 0.0357 |
| Whole-body MTV (cm3) | 33.36 (10.2–100.2) | 14.4 (8.3–34.7) | 53.91 (21.4–547.7) | 0.0076 |
| Whole-body TLG | 462.89 (59.3–1553.3) | 114.6 (23.9–479.5) | 963.44 (167.9–11523.2) | 0.0056 |
| Variables | Overall Survival | |
|---|---|---|
| HR (95%CI) | p-Value | |
| Age (years) | ||
| <65 | 1 (base) | |
| ≥65 | 1.88 (0.93.82) | 0.08 |
| Sex | ||
| Female | 1 (base) | |
| Male | 2.26 (1.09–4.67) | 0.027 |
| Clinical staging | ||
| 2 | 1 (base) | |
| 3 | 1.21 (0.24–5.99) | 0.818 |
| 4 | 3.41 (0.800–14.57) | 0.097 |
| SUVmax | ||
| ≤8.61 | 1 (base) | |
| >8.61 | 1.78 (0.88–3.58) | 0.108 |
| MTV (cm3) | ||
| ≤12.39 | 1 (base) | |
| >12.39 | 2.53 (1.25–5.15) | 0.01 |
| TLG | ||
| ≤36.84 | 1 (base) | |
| >36.84 | 2.43 (1.19–4.91) | 0.014 |
| Whole-body MTV (cm3) | ||
| ≤51.15 | 1 (base) | |
| >51.15 | 4.09 (1.97–8.48) | <0.001 |
| Whole-body TLG | ||
| ≤564.47 | 1 (base) | |
| >564.47 | 4.33 (2.05–913) | <0.001 |
Publisher’s Note: MDPI stays neutral with regard to jurisdictional claims in published maps and institutional affiliations. |
© 2022 by the authors. Licensee MDPI, Basel, Switzerland. This article is an open access article distributed under the terms and conditions of the Creative Commons Attribution (CC BY) license (https://creativecommons.org/licenses/by/4.0/).
Share and Cite
Hlongwa, K.N.; Mokoala, K.M.G.; Matsena-Zingoni, Z.; Vorster, M.; Sathekge, M.M. The Use of 18F-FDG PET/CT Metabolic Parameters in Predicting Overall Survival in Patients Undergoing Restaging for Malignant Melanoma. Diagnostics 2022, 12, 595. https://doi.org/10.3390/diagnostics12030595
Hlongwa KN, Mokoala KMG, Matsena-Zingoni Z, Vorster M, Sathekge MM. The Use of 18F-FDG PET/CT Metabolic Parameters in Predicting Overall Survival in Patients Undergoing Restaging for Malignant Melanoma. Diagnostics. 2022; 12(3):595. https://doi.org/10.3390/diagnostics12030595
Chicago/Turabian StyleHlongwa, Khanyisile N., Kgomotso M. G. Mokoala, Zvifadzo Matsena-Zingoni, Mariza Vorster, and Mike M. Sathekge. 2022. "The Use of 18F-FDG PET/CT Metabolic Parameters in Predicting Overall Survival in Patients Undergoing Restaging for Malignant Melanoma" Diagnostics 12, no. 3: 595. https://doi.org/10.3390/diagnostics12030595
APA StyleHlongwa, K. N., Mokoala, K. M. G., Matsena-Zingoni, Z., Vorster, M., & Sathekge, M. M. (2022). The Use of 18F-FDG PET/CT Metabolic Parameters in Predicting Overall Survival in Patients Undergoing Restaging for Malignant Melanoma. Diagnostics, 12(3), 595. https://doi.org/10.3390/diagnostics12030595

