Clinical Implication of Preoperative C-Reactive Protein/Albumin Ratio in Malignant Transformation of Intraductal Papillary Mucinous Neoplasm: A Propensity Score Analysis
Abstract
:1. Introduction
2. Materials and Methods
2.1. Patients
2.2. Ethical Considerations
2.3. Main Outcome Measurements
2.4. Data Collection
2.5. Histopathological Assessment
2.6. Imaging Assessment
2.7. Endoscopic Procedure
2.8. Imaging Acquisition
2.9. Statistical Analysis
3. Results
3.1. Baseline Characteristics of Patients
3.2. Preoperative Inflammation-Based Scores
3.3. Clinical Outcome
3.4. Association of the CAR with Overall Survival and Disease-Free Survival
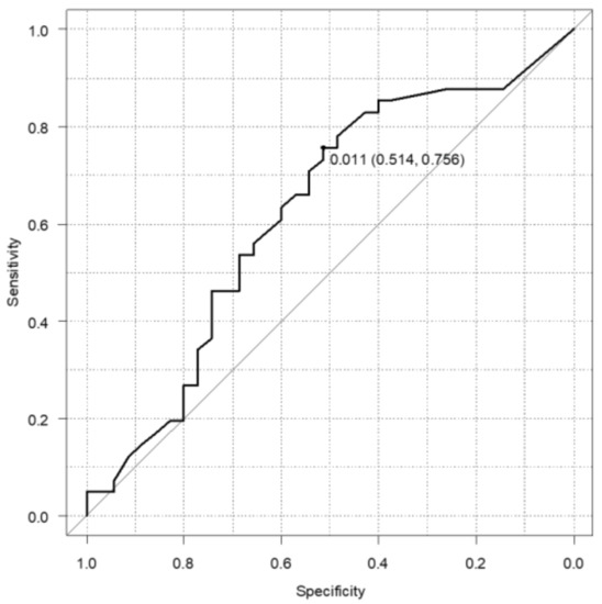
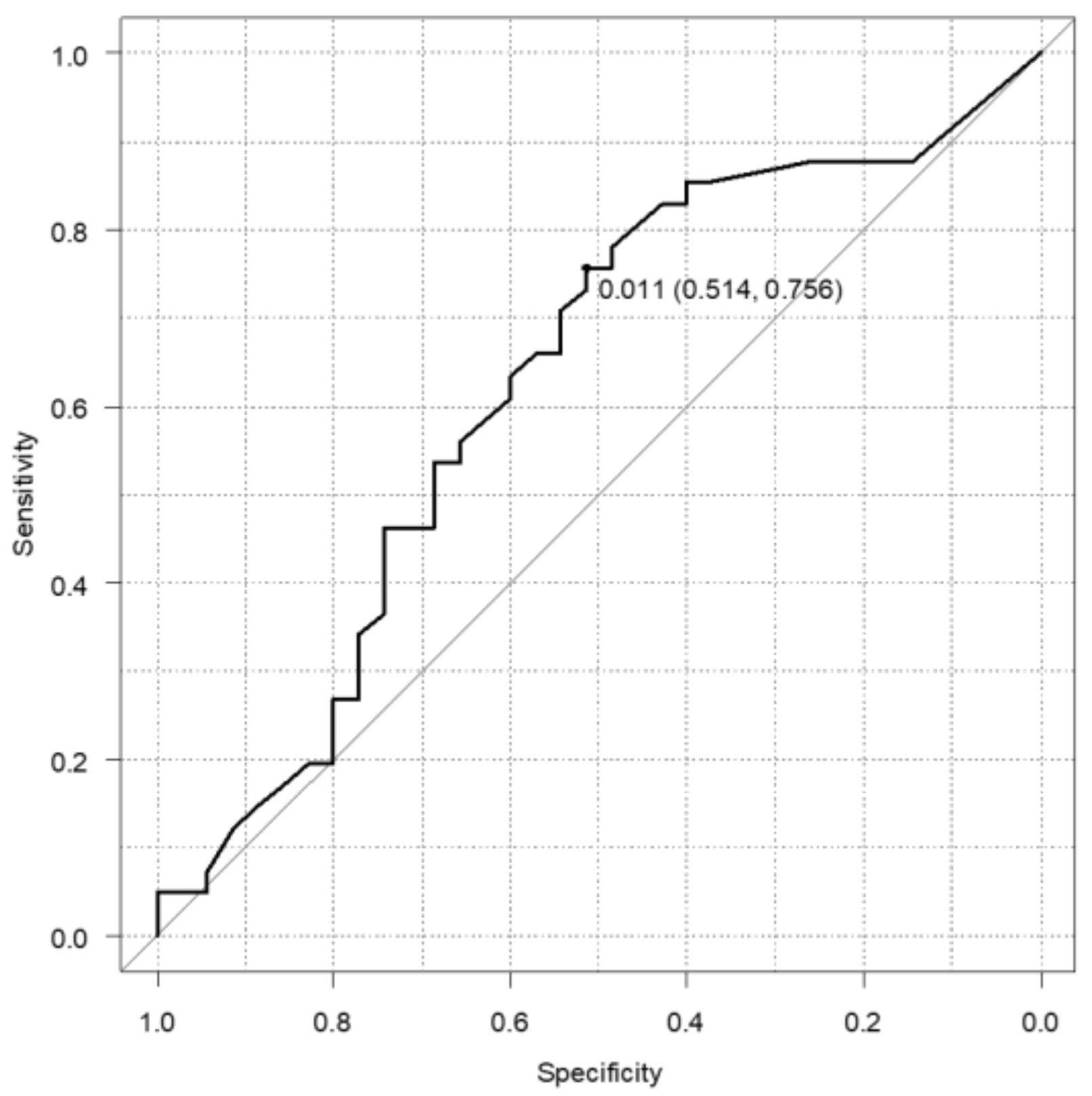
3.5. Diagnostic Accuracy of CAR for WF Patients with HGD/INV
4. Discussion
5. Conclusions
Author Contributions
Funding
Institutional Review Board Statement
Informed Consent Statement
Conflicts of Interest
References
- Tanaka, M. Clinical Management and Surgical Decision-Making of IPMN of the Pancreas. Methods Mol. Biol. 2019, 1882, 9–22. [Google Scholar] [CrossRef]
- Werner, J.; Fritz, S.; Büchler, M.W. Intraductal papillary mucinous neoplasms of the pancreas—A surgical disease. Nat. Rev. Gastroenterol. Hepatol. 2012, 9, 253–259. [Google Scholar] [CrossRef]
- Marchegiani, G.; Andrianello, S.; Pollini, T.; Caravati, A.; Biancotto, M.; Secchettin, E.; Bonamini, D.; Malleo, G.; Bassi, C.; Salvia, R. “Trivial” Cysts Redefine the Risk of Cancer in Presumed Branch-Duct Intraductal Papillary Mucinous Neoplasms of the Pancreas: A Potential Target for Follow-Up Discontinuation? Am. J. Gastroenterol. 2019, 114, 1678–1684. [Google Scholar] [CrossRef]
- Tanaka, M.; Fernández-Del Castillo, C.; Kamisawa, T.; Jang, J.Y.; Levy, P.; Ohtsuka, T.; Salvia, R.; Shimizu, Y.; Tada, M.; Wolfgang, C.L. Revisions of international consensus Fukuoka guidelines for the management of IPMN of the pancreas. Pancreatology 2017, 17, 738–753. [Google Scholar] [CrossRef] [PubMed]
- Oyama, H.; Tada, M.; Takagi, K.; Tateishi, K.; Hamada, T.; Nakai, Y.; Hakuta, R.; Ijichi, H.; Ishigaki, K.; Kanai, S.; et al. Long-term Risk of Malignancy in Branch-Duct Intraductal Papillary Mucinous Neoplasms. Gastroenterology 2020, 158, 226–237.e225. [Google Scholar] [CrossRef] [PubMed] [Green Version]
- Jang, J.Y.; Kim, S.W.; Lee, S.E.; Yang, S.H.; Lee, K.U.; Lee, Y.J.; Kim, S.C.; Han, D.J.; Choi, D.W.; Choi, S.H.; et al. Treatment guidelines for branch duct type intraductal papillary mucinous neoplasms of the pancreas: When can we operate or observe? Ann. Surg. Oncol. 2008, 15, 199–205. [Google Scholar] [CrossRef] [PubMed]
- Farrell, J.J. Editorial: Stopping Pancreatic Cyst Surveillance? Am. J. Gastroenterol. 2017, 112, 1162–1164. [Google Scholar] [CrossRef] [PubMed]
- Yoshioka, T.; Shigekawa, M.; Yamai, T.; Suda, T.; Kegasawa, T.; Iwahashi, K.; Ikezawa, K.; Sakamori, R.; Yakushijin, T.; Hiramatsu, N.; et al. The safety and benefit of pancreatic juice cytology under ERCP in IPMN patients. Pancreatology 2016, 16, 1020–1027. [Google Scholar] [CrossRef]
- Crippa, S.; Piccioli, A.; Salandini, M.C.; Cova, C.; Aleotti, F.; Falconi, M. Treatment of branch-duct intraductal papillary mucinous neoplasms of the pancreas: State of the art. Updates Surg. 2016, 68, 265–271. [Google Scholar] [CrossRef] [PubMed]
- Coussens, L.M.; Werb, Z. Inflammation and cancer. Nature 2002, 420, 860–867. [Google Scholar] [CrossRef]
- Sideras, K.; Braat, H.; Kwekkeboom, J.; van Eijck, C.H.; Peppelenbosch, M.P.; Sleijfer, S.; Bruno, M. Role of the immune system in pancreatic cancer progression and immune modulating treatment strategies. Cancer Treat. Rev. 2014, 40, 513–522. [Google Scholar] [CrossRef]
- Templeton, A.J.; McNamara, M.G.; Šeruga, B.; Vera-Badillo, F.E.; Aneja, P.; Ocaña, A.; Leibowitz-Amit, R.; Sonpavde, G.; Knox, J.J.; Tran, B.; et al. Prognostic role of neutrophil-to-lymphocyte ratio in solid tumors: A systematic review and meta-analysis. J. Natl. Cancer Inst. 2014, 106, dju124. [Google Scholar] [CrossRef] [Green Version]
- Goh, B.K.; Tan, D.M.; Chan, C.Y.; Lee, S.Y.; Lee, V.T.; Thng, C.H.; Low, A.S.; Tai, D.W.; Cheow, P.C.; Chow, P.K.; et al. Are preoperative blood neutrophil-to-lymphocyte and platelet-to-lymphocyte ratios useful in predicting malignancy in surgically-treated mucin-producing pancreatic cystic neoplasms? J. Surg. Oncol. 2015, 112, 366–371. [Google Scholar] [CrossRef] [PubMed]
- Arima, K.; Okabe, H.; Hashimoto, D.; Chikamoto, A.; Kuroki, H.; Taki, K.; Kaida, T.; Higashi, T.; Nitta, H.; Komohara, Y.; et al. The Neutrophil-to-Lymphocyte Ratio Predicts Malignant Potential in Intraductal Papillary Mucinous Neoplasms. J. Gastrointest. Surg. 2015, 19, 2171–2177. [Google Scholar] [CrossRef] [PubMed]
- Kinoshita, A.; Onoda, H.; Imai, N.; Iwaku, A.; Oishi, M.; Fushiya, N.; Koike, K.; Nishino, H.; Tajiri, H. Comparison of the prognostic value of inflammation-based prognostic scores in patients with hepatocellular carcinoma. Br. J. Cancer 2012, 107, 988–993. [Google Scholar] [CrossRef] [PubMed]
- Inoue, D.; Ozaka, M.; Matsuyama, M.; Yamada, I.; Takano, K.; Saiura, A.; Ishii, H. Prognostic value of neutrophil-lymphocyte ratio and level of C-reactive protein in a large cohort of pancreatic cancer patients: A retrospective study in a single institute in Japan. Jpn. J. Clin. Oncol. 2015, 45, 61–66. [Google Scholar] [CrossRef] [Green Version]
- Gemenetzis, G.; Bagante, F.; Griffin, J.F.; Rezaee, N.; Javed, A.A.; Manos, L.L.; Lennon, A.M.; Wood, L.D.; Hruban, R.H.; Zheng, L.; et al. Neutrophil-to-lymphocyte Ratio is a Predictive Marker for Invasive Malignancy in Intraductal Papillary Mucinous Neoplasms of the Pancreas. Ann. Surg. 2017, 266, 339–345. [Google Scholar] [CrossRef]
- Hata, T.; Mizuma, M.; Motoi, F.; Ishida, M.; Morikawa, T.; Takadate, T.; Nakagawa, K.; Hayashi, H.; Kanno, A.; Masamune, A.; et al. Diagnostic and Prognostic Impact of Neutrophil-to-Lymphocyte Ratio for Intraductal Papillary Mucinous Neoplasms of the Pancreas with High-Grade Dysplasia and Associated Invasive Carcinoma. Pancreas 2019, 48, 99–106. [Google Scholar] [CrossRef]
- McIntyre, C.A.; Pulvirenti, A.; Lawrence, S.A.; Seier, K.; Gonen, M.; Balachandran, V.P.; Kingham, T.P.; D’Angelica, M.I.; Drebin, J.A.; Jarnagin, W.R.; et al. Neutrophil-to-Lymphocyte Ratio as a Predictor of Invasive Carcinoma in Patients with Intraductal Papillary Mucinous Neoplasms of the Pancreas. Pancreas 2019, 48, 832–836. [Google Scholar] [CrossRef]
- Nagtegaal, I.D.; Odze, R.D.; Klimstra, D.; Paradis, V.; Rugge, M.; Schirmacher, P.; Washington, K.M.; Carneiro, F.; Cree, I.A.; the WHO Classification of Tumours Editorial Board. The 2019 WHO classification of tumours of the digestive system. Histopathology 2020, 76, 182–188. [Google Scholar] [CrossRef] [Green Version]
- Forrest, L.M.; McMillan, D.C.; McArdle, C.S.; Angerson, W.J.; Dunlop, D.J. Evaluation of cumulative prognostic scores based on the systemic inflammatory response in patients with inoperable non-small-cell lung cancer. Br. J. Cancer 2003, 89, 1028–1030. [Google Scholar] [CrossRef] [PubMed] [Green Version]
- McMillan, D.C.; Crozier, J.E.; Canna, K.; Angerson, W.J.; McArdle, C.S. Evaluation of an inflammation-based prognostic score (GPS) in patients undergoing resection for colon and rectal cancer. Int. J. Colorectal Dis. 2007, 22, 881–886. [Google Scholar] [CrossRef]
- Dutta, S.; Crumley, A.B.; Fullarton, G.M.; Horgan, P.G.; McMillan, D.C. Comparison of the prognostic value of tumour- and patient-related factors in patients undergoing potentially curative resection of oesophageal cancer. World J. Surg. 2011, 35, 1861–1866. [Google Scholar] [CrossRef] [PubMed]
- Knight, B.C.; Kausar, A.; Manu, M.; Ammori, B.A.; Sherlock, D.J.; O’Reilly, D.A. Evaluation of surgical outcome scores according to ISGPS definitions in patients undergoing pancreatic resection. Dig. Surg. 2010, 27, 367–374. [Google Scholar] [CrossRef] [PubMed]
- Jamieson, N.B.; Denley, S.M.; Logue, J.; MacKenzie, D.J.; Foulis, A.K.; Dickson, E.J.; Imrie, C.W.; Carter, R.; McKay, C.J.; McMillan, D.C. A prospective comparison of the prognostic value of tumor- and patient-related factors in patients undergoing potentially curative surgery for pancreatic ductal adenocarcinoma. Ann. Surg. Oncol. 2011, 18, 2318–2328. [Google Scholar] [CrossRef] [PubMed]
- La Torre, M.; Nigri, G.; Cavallini, M.; Mercantini, P.; Ziparo, V.; Ramacciato, G. The glasgow prognostic score as a predictor of survival in patients with potentially resectable pancreatic adenocarcinoma. Ann. Surg. Oncol. 2012, 19, 2917–2923. [Google Scholar] [CrossRef]
- Haruki, K.; Shiba, H.; Shirai, Y.; Horiuchi, T.; Iwase, R.; Fujiwara, Y.; Furukawa, K.; Misawa, T.; Yanaga, K. The C-reactive Protein to Albumin Ratio Predicts Long-Term Outcomes in Patients with Pancreatic Cancer After Pancreatic Resection. World J. Surg. 2016, 40, 2254–2260. [Google Scholar] [CrossRef]
- Wu, M.; Guo, J.; Guo, L.; Zuo, Q. The C-reactive protein/albumin ratio predicts overall survival of patients with advanced pancreatic cancer. Tumor Biol. 2016, 37, 12525–12533. [Google Scholar] [CrossRef] [PubMed] [Green Version]
- Fan, Z.; Fan, K.; Gong, Y.; Huang, Q.; Yang, C.; Cheng, H.; Jin, K.; Ni, Q.; Yu, X.; Luo, G.; et al. The CRP/Albumin Ratio Predicts Survival and Monitors Chemotherapeutic Effectiveness in Patients with Advanced Pancreatic Cancer. Cancer Manag. Res. 2019, 11, 8781–8788. [Google Scholar] [CrossRef] [Green Version]
- Liu, Z.; Jin, K.; Guo, M.; Long, J.; Liu, L.; Liu, C.; Xu, J.; Ni, Q.; Luo, G.; Yu, X. Prognostic Value of the CRP/Alb Ratio, a Novel Inflammation-Based Score in Pancreatic Cancer. Ann. Surg. Oncol. 2017, 24, 561–568. [Google Scholar] [CrossRef]
- Murakawa, M.; Yamamoto, N.; Kamioka, Y.; Kamiya, M.; Kobayashi, S.; Ueno, M.; Morimoto, M.; Atsumi, Y.; Aoyama, T.; Tamagawa, H.; et al. Clinical Implication of Pre-operative C-reactive Protein-Albumin Ratio as a Prognostic Factor of Patients with Pancreatic Ductal Adenocarcinoma: A Single-institutional Retrospective Study. In Vivo 2020, 34, 347–353. [Google Scholar] [CrossRef] [PubMed]
- Paramanathan, A.; Saxena, A.; Morris, D.L. A systematic review and meta-analysis on the impact of pre-operative neutrophil lymphocyte ratio on long term outcomes after curative intent resection of solid tumours. Surg. Oncol. 2014, 23, 31–39. [Google Scholar] [CrossRef] [PubMed]
- Shirai, Y.; Shiba, H.; Sakamoto, T.; Horiuchi, T.; Haruki, K.; Fujiwara, Y.; Futagawa, Y.; Ohashi, T.; Yanaga, K. Preoperative platelet to lymphocyte ratio predicts outcome of patients with pancreatic ductal adenocarcinoma after pancreatic resection. Surgery 2015, 158, 360–365. [Google Scholar] [CrossRef] [PubMed]





| Total | LGD | HGD and INV | p-Value | ||
|---|---|---|---|---|---|
| Patients, n. (%) | 76 (100) | 35 (46) | 41 (54) | ||
| Age, median (IQR), years | 73 (69–76) | 73 (68.5–75.5) | 73 (71.0–76.0) | 0.71 | |
| Sex, n. (%) | Male | 46 (61) | 23 (65.7) | 23 (56.1) | 0.48 |
| Female | 30 (39) | 12 (34.3) | 18 (43.9) | ||
| IPMN type, n. (%) | Main duct type | 8 (10.5) | 2 (5.7) | 6 (14.7) | 0.48 |
| Mixed type | 32 (42.1) | 16 (45.7) | 16 (39.0) | ||
| Branch duct type | 36 (47.4) | 17 (48.6) | 19 (46.3) | ||
| Location, n. (%) | Head | 45 (59) | 24 (68.6) | 21 (51.2) | 0.16 |
| Body or tail | 31 (41) | 11 (31.4) | 20 (49.8) | ||
| Number of cyst lesion, n. (%) | Unifocal | 54 (71.1) | 24 (68.5) | 30 (73.2) | 0.79 |
| Multifocal | 22 (28.9) | 11 (31.5) | 11 (26.8) | ||
| Cyst size (mm), median (IQR) | 22.9 (16.9–32.6) | 26.0 (20.5–31.5) | 21.7 (14.7–37.6) | 0.21 | |
| MPD diameter (mm), median (IQR) | 5.45 (3.8–8.35) | 5.5 (3.4–8.4) | 5.4 (3.9–8.3) | 0.76 | |
| Mural nodule (mm), median (IQR) | 5.65 (0–8.58) | 4.9 (0–7.4) | 6.2 (0–11.6) | 0.08 | |
| Jaundice, n. (%) | 5 (6.6) | 1 (2.9) | 4 (9.8) | 0.37 | |
| History of pancreatitis, n. (%) | 9 (11.8) | 2 (5.7) | 7 (17) | 0.17 | |
| Worrisome features, n. (%) | 23 (30.2) | 16 (45.7) | 7 (17) | 0.01 | |
| High-risk stigmata, n. (%) | 48 (63.2) | 18 (51.4) | 30 (73.2) | 0.06 | |
| CEA, ng/mL, median (IQR) | 3.2 (1.9–5.3) | 3.0 (1.7–4.75) | 3.3 (2.3–5.3) | 0.48 | |
| CA19-9, IU/mL, median (IQR) | 8 (5–19.5) | 5.0 (4.0–13) | 13 (7.0–24) | 0.02 | |
| NLR, median (IQR) | 2.3 (1.6–3.72) | 2.54 (1.58–3.90) | 2.32 (1.66–3.27) | 0.87 | |
| LMR, median (IQR) | 3.9 (2.7–5.1) | 3.61 (2.85–5.36) | 3.86 (3.04–5.03) | 0.67 | |
| PLR, median (IQR) | 84.5 (59.3–123.8) | 83 (58.5–140) | 86 (65–107) | 0.56 | |
| CAR, median (IQR) | 0.02 (0.006–0.09) | 0.01 (0.005–0.05) | 0.03 (0.01–0.09) | 0.06 | |
| Operation procedure, n. (%) | PD | 40 (52.6) | 20 (57.1) | 20 (48.7) | |
| DP | 31 (40.8) | 14 (40) | 17 (41.5) | ||
| TP | 3 (3.9) | 1 (2.9) | 2 (4.9) | ||
| MP | 2 (2.7) | 0 | 2 (4.9) |
| Total | CARlow | CARhigh | p-Value | ||
|---|---|---|---|---|---|
| Patients, n. (%) | 76 | 28 (36.8) | 48 (63.2) | ||
| Age, median (IQR), years | 73 (69–76) | 73 (65.5–76.0) | 73 (69–75.3) | 0.74 | |
| Sex, n. (%) | Male | 46 (60.5) | 16 (57.1) | 30 (62.5) | 0.81 |
| Female | 30 (39.5) | 12 (42.9) | 18 (37.5) | ||
| IPMN type, n. (%) | Branch duct type | 40 (52.6) | 13 (46.4) | 27 (56.2) | 0.48 |
| Mixed, Main duct type | 36 (47.4) | 15 (53.6) | 11 (43.8) | ||
| Location, n. (%) | Head | 45 (59.2) | 15 (53.6) | 30 (62.5) | 0.48 |
| Body or tail | 31 (40.8) | 13 (46.4) | 18 (37.5) | ||
| Number of cyst lesion, n. (%) | Unifocal | 54 (71.1) | 18 (64.3) | 36 (75) | 0.4 |
| Multifocal | 22 (28.9) | 10 (35.7) | 12 (25) | ||
| Cyst size (mm), n. (%) | <30 | 52 (68.4) | 20 (71.4) | 32 (66.7) | 0.8 |
| ≥30 | 24 (31.6) | 8 (28.6) | 16 (33.3) | ||
| MPD diameter (mm), n. (%) | <10 | 59 (77.6) | 24 (85.7) | 35 (72.9) | 0.26 |
| ≥10 | 17 (22.4) | 4 (14.3) | 13 (27.1) | ||
| Mural nodule, median (IQR), mm | 5.65 (0–8.78) | 5.85 (0–7.78) | 5.45 (0–9.45) | 0.86 | |
| ≥5 mm contrast mural nodule, n. (%) | Present | 29 (38.2) | 9 (32.1) | 20 (41.7) | 0.47 |
| Jaundice, n. (%) | yes | 5 (6.6) | 0 (0) | 5 (10.4) | 0.15 |
| History of pancreatitis, n. (%) | yes | 9 (11.8) | 3 (10.7) | 6 (12.5) | 1 |
| Worrisome features, n. (%) | yes | 23 (30.3) | 11 39.3) | 12 (25) | 0.21 |
| High-risk stigmata, n. (%) | yes | 48 (63.2) | 17 (60.7) | 31 (64.6) | 0.81 |
| CEA, ng/mL, n. (%) | ≤5 | 55 (72.4) | 25 (89.3) | 30 (62.5) | 0.02 |
| >5 | 21 (27.6) | 3 (10.7) | 18 (37.5) | ||
| CA19-9, IU/mL, n. (%) | ≤37 | 65 (85.5) | 25 (89.3) | 40 (83.3) | 0.74 |
| >37 | 11 (14.5) | 3 (10.7) | 8 (16.7) | ||
| NLR, n. (%) | <3.27 | 51 (67.1) | 22 (78.6) | 29 (60.4) | 0.13 |
| ≥3.27 | 25 (32.9) | 6 (21.4) | 19 (39.6) | ||
| LMR, n. (%) | <2.64 | 11 (14.5) | 3 (10.7) | 8 (16.7) | 0.74 |
| ≥2.64 | 65 (85.5) | 25 (89.3) | 40 (83.3) | ||
| PLR, n. (%) | <107 | 50 (65.8) | 23 (82.1) | 27 (56.3) | 0.03 |
| ≥107 | 26 (34.2) | 5 (17.9) | 21 (43.7) |
| Univariate | Multivariate | |||
|---|---|---|---|---|
| OR (95% CI) | p-Value | OR (95% CI) | p-Value | |
| Age, years | 1.02 (0.95–1.00) | 0.66 | ||
| Sex, male (vs. female) | 0.67 (0.26–1.69) | 0.39 | ||
| IPMN type, Branch duct type (vs. Main duct and Mixed type) | 0.94 (0.37–2.26) | 0.85 | ||
| Location, Head (vs. body and tail) | 0.48 (0.19–1.23) | 0.13 | ||
| Cyst size (mm), <30 (vs. ≥30) | 0.99 (0.97–1.02) | 0.76 | ||
| Number of cyst lesion, Multifocal (vs. Unifocal) | 0.91 (0.36–2.3) | 0.85 | ||
| MPD diameter (mm), ≥10 (vs. <10) | 1.29 (0.43–3.85) | 0.65 | ||
| Jandice, yes (vs. no) | 3.68 (0.39–34.5) | 0.26 | ||
| History of pancreatitis, yes (vs. no) | 3.40 (0.66–17.6) | 0.15 | ||
| Mural nodule, present (vs. absent) | 2.3 (0.88–5.99) | 0.09 | ||
| ≥5 Contrast mural nodule, present (vs. absent) | 6.18 (2.11–18.1) | <0.01 | 5.38 (1.71–16.9) | <0.01 |
| CEA (ng/mL), >5 (vs. ≤5) | 1.2 (0.43–3.29) | 0.73 | ||
| CA19-9 (IU/mL), >37 (vs. ≤37) | 1.03 (0.28–3.71) | 0.97 | ||
| NLR, ≥3.27 (<3.27) | 0.55 (0.21–1.45) | 0.23 | ||
| LMR, ≥2.64 (vs. <2.64) | 3.75 (0.91–15.5) | 0.07 | 3.10 (0.65–14.9) | 0.16 |
| PLR, ≥107 (vs. <107) | 0.49 (0.19–1.28) | 0.15 | ||
| CAR, high (vs. low) | 3.28 (1.24–8.69) | 0.02 | 3.84 (1.28–11.5) | 0.02 |
| Odds Ratio (95% CI) | p-Value | |
|---|---|---|
| Unadjusted | 3.28 (1.24–8.69) | 0.02 |
| Adjusted for contrast mural nodule, LMR ≥ 2.64 | 3.84 (1.28–11.5) | 0.02 |
| IPTW | 4.18 (1.37–12.8) | 0.01 |
| IPTW adjusted for contrast mural nodule, LMR ≥ 2.64 | 4.80 (1.37–16.8) | 0.01 |
Publisher’s Note: MDPI stays neutral with regard to jurisdictional claims in published maps and institutional affiliations. |
© 2022 by the authors. Licensee MDPI, Basel, Switzerland. This article is an open access article distributed under the terms and conditions of the Creative Commons Attribution (CC BY) license (https://creativecommons.org/licenses/by/4.0/).
Share and Cite
Maruyama, H.; Tanoue, K.; Ishikawa-Kakiya, Y.; Yamamura, M.; Higashimori, A.; Ominami, M.; Nadatani, Y.; Fukunaga, S.; Otani, K.; Hosomi, S.; et al. Clinical Implication of Preoperative C-Reactive Protein/Albumin Ratio in Malignant Transformation of Intraductal Papillary Mucinous Neoplasm: A Propensity Score Analysis. Diagnostics 2022, 12, 554. https://doi.org/10.3390/diagnostics12020554
Maruyama H, Tanoue K, Ishikawa-Kakiya Y, Yamamura M, Higashimori A, Ominami M, Nadatani Y, Fukunaga S, Otani K, Hosomi S, et al. Clinical Implication of Preoperative C-Reactive Protein/Albumin Ratio in Malignant Transformation of Intraductal Papillary Mucinous Neoplasm: A Propensity Score Analysis. Diagnostics. 2022; 12(2):554. https://doi.org/10.3390/diagnostics12020554
Chicago/Turabian StyleMaruyama, Hirotsugu, Kojiro Tanoue, Yuki Ishikawa-Kakiya, Masafumi Yamamura, Akira Higashimori, Masaki Ominami, Yuji Nadatani, Shusei Fukunaga, Koji Otani, Shuhei Hosomi, and et al. 2022. "Clinical Implication of Preoperative C-Reactive Protein/Albumin Ratio in Malignant Transformation of Intraductal Papillary Mucinous Neoplasm: A Propensity Score Analysis" Diagnostics 12, no. 2: 554. https://doi.org/10.3390/diagnostics12020554
APA StyleMaruyama, H., Tanoue, K., Ishikawa-Kakiya, Y., Yamamura, M., Higashimori, A., Ominami, M., Nadatani, Y., Fukunaga, S., Otani, K., Hosomi, S., Tanaka, F., Kamata, N., Nagami, Y., Taira, K., Ohira, G., Kimura, K., Amano, R., & Fujiwara, Y. (2022). Clinical Implication of Preoperative C-Reactive Protein/Albumin Ratio in Malignant Transformation of Intraductal Papillary Mucinous Neoplasm: A Propensity Score Analysis. Diagnostics, 12(2), 554. https://doi.org/10.3390/diagnostics12020554

