Interrater and Intrarater Reliability of the EasyForce Dynamometer for Assessment of Maximal Shoulder, Knee and Hip Strength
Abstract
1. Introduction
2. Materials and Methods
2.1. Participants
2.2. Study Design and Procedures
2.3. Set-Up for the EasyForce Measurement
2.4. Data Analysis and Statistics
3. Results
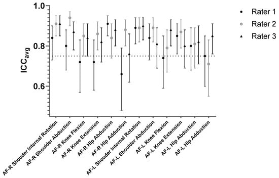
3.1. Interrater Reliability
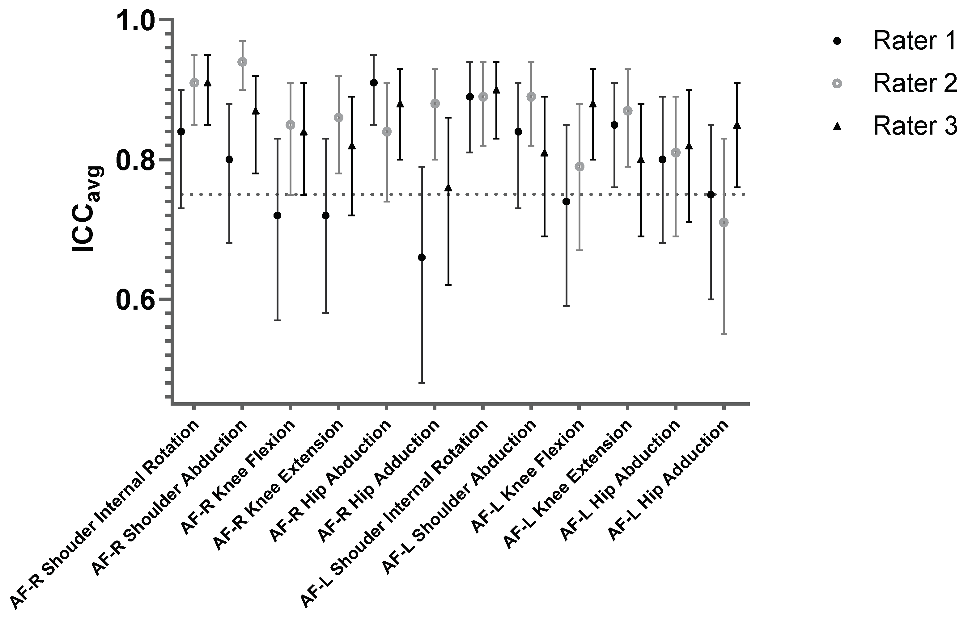
3.2. Intrarrater Reliability
4. Discussion
5. Conclusions
Author Contributions
Funding
Institutional Review Board Statement
Informed Consent Statement
Data Availability Statement
Conflicts of Interest
References
- Jaric, S. Muscle strength testing. Sports Med. 2002, 32, 615–631. [Google Scholar] [CrossRef]
- Reilly, T.; Bangsbo, J.; Franks, A. Anthropometric and physiological predispositions for elite soccer. J. Sports Sci. 2000, 18, 669–683. [Google Scholar] [CrossRef] [PubMed]
- Wisloeff, U.; Helgerud, J.A.N.; Hoff, J.A.N. Strength and endurance of elite soccer players. Med. Sci. Sports Exerc. 1998, 30, 462–467. [Google Scholar] [CrossRef] [PubMed]
- Burns, S.P.; Spanier, D.E. Break-technique handheld dynamometry: Relation between angular velocity and strength measurements. Arch. Phys. Med. Rehabil. 2005, 86, 1420–1426. [Google Scholar] [CrossRef] [PubMed]
- Kraemer, W.J.; Mazzetti, S.A.; Nindl, B.C.; Gotshalk, L.A.; Volek, J.S.; Bush, J.A.; Marx, J.I.M.O.; Dohi, K.E.I.; Gomez, A.L.; Miles, M. Effect of resistance training on women’s strength/power and occupational performances. Med. Sci. Sports Exerc. 2001, 33, 1011–1025. [Google Scholar] [CrossRef] [PubMed]
- Harbo, T.; Brincks, J.; Andersen, H. Maximal isokinetic and isometric muscle strength of major muscle groups related to age, body mass, height, and sex in 178 healthy subjects. Eur. J. Appl. Physiol. 2012, 112, 267–275. [Google Scholar] [CrossRef]
- Takala, E.-P.; Viikari-Juntura, E. Do functional tests predict low back pain? Spine 2000, 25, 2126–2132. [Google Scholar] [CrossRef]
- Amato, A.A.; Russell, J.A. Neuromuscular Disorders; McGraw Hill Professional: New York, NY, USA, 2015; ISBN 0071754628. [Google Scholar]
- Major, Z.Z.; Vaida, C.; Major, K.A.; Tucan, P.; Brusturean, E.; Gherman, B.; Birlescu, I.; Craciunaș, R.; Ulinici, I.; Simori, G.; et al. Comparative assessment of robotic versus classical physical therapy using muscle strength and ranges of motion testing in neurological diseases. J. Pers. Med. 2021, 11, 953. [Google Scholar] [CrossRef]
- Beenakker, E.A.C.; Van der Hoeven, J.H.; Fock, J.M.; Maurits, N.M. Reference values of maximum isometric muscle force obtained in 270 children aged 4–16 years by hand-held dynamometry. Neuromuscul. Disord. 2001, 11, 441–446. [Google Scholar] [CrossRef]
- Muff, G.; Dufour, S.; Meyer, A.; Severac, F.; Favret, F.; Geny, B.; Lecocq, J.; Isner-Horobeti, M.-E. Comparative assessment of knee extensor and flexor muscle strength measured using a hand-held vs. isokinetic dynamometer. J. Phys. Ther. Sci. 2016, 28, 2445–2451. [Google Scholar] [CrossRef]
- Toonstra, J.; Mattacola, C.G. Test-retest reliability and validity of isometric knee-flexion and-extension measurement using 3 methods of assessing muscle strength. J. Sport Rehabil. 2013, 22. [Google Scholar] [CrossRef]
- Adil, C.; Aydın, T.; Taşpınar, Ö.; Kızıltan, H.; Eriş, A.H.; Hocaoglu, I.T.; Poşul, S.; Kepekci, M.; Denizli, E.; Güler, M. Bone mineral density evaluation of patients with type 2 diabetes mellitus. J. Phys. Ther. Sci. 2015, 27, 179–182. [Google Scholar] [CrossRef] [PubMed][Green Version]
- Bohannon, R.W. Manual muscle testing: Does it meet the standards of an adequate screening test? Clin. Rehabil. 2005, 19, 662–667. [Google Scholar] [CrossRef]
- Douma, R.K.W.; Soer, R.; Krijnen, W.P.; Reneman, M.; Van Der Schans, C.P. Reference values for isometric muscle force among workers for the Netherlands: A comparison of reference values. BMC Sports Sci. Med. Rehabil. 2014, 6, 1–10. [Google Scholar] [CrossRef] [PubMed]
- Escobar, R.G.; Munoz, K.T.; Dominguez, A.; Banados, P.; Bravo, M.J. Maximal isometric muscle strength values obtained By hand-held dynamometry in children between 6 and 15 years of age. Muscle Nerve 2017, 55, 16–22. [Google Scholar] [CrossRef] [PubMed]
- Andersen, H.; Jakobsen, J. A comparative study of isokinetic dynamometry and manual muscle testing of ankle dorsal and plantar flexors and knee extensors and flexors. Eur. Neurol. 1997, 37, 239–242. [Google Scholar] [CrossRef] [PubMed]
- Frese, E.; Brown, M.; Norton, B.J. Clinical reliability of manual muscle testing: Middle trapezius and gluteus medius muscles. Phys. Ther. 1987, 67, 1072–1076. [Google Scholar] [CrossRef]
- Bohannon, R.W. Manual muscle test scores and dynamometer test scores of knee extension strength. Arch. Phys. Med. Rehabil. 1986, 67, 390–392. [Google Scholar]
- Roy, M.-A.G.; Doherty, T.J. Reliability of hand-held dynamometry in assessment of knee extensor strength after hip fracture. Am. J. Phys. Med. Rehabil. 2004, 83, 813–818. [Google Scholar] [CrossRef] [PubMed]
- Whiteley, R.; Jacobsen, P.; Prior, S.; Skazalski, C.; Otten, R.; Johnson, A. Correlation of isokinetic and novel hand-held dynamometry measures of knee flexion and extension strength testing. J. Sci. Med. Sport 2012, 15, 444–450. [Google Scholar] [CrossRef]
- Hansen, E.M.; McCartney, C.N.; Sweeney, R.S.; Palimenio, M.R.; Grindstaff, T.L. Hand-held dynamometer positioning impacts discomfort during quadriceps strength testing: A validity and reliability study. Int. J. Sports Phys. Ther. 2015, 10, 62. [Google Scholar] [PubMed]
- Martin, H.J.; Yule, V.; Syddall, H.E.; Dennison, E.M.; Cooper, C.; Aihie Sayer, A. Is hand-held dynamometry useful for the measurement of quadriceps strength in older people? A comparison with the gold standard biodex dynamometry. Gerontology 2006, 52, 154–159. [Google Scholar] [CrossRef] [PubMed]
- Katoh, M.; Yamasaki, H. Test-retest reliability of isometric leg muscle strength measurements made using a hand-held dynamometer restrained by a belt: Comparisons during and between sessions. J. Phys. Ther. Sci. 2009, 21, 239–243. [Google Scholar] [CrossRef]
- Kim, S.-G.; Lee, Y.-S. The intra-and inter-rater reliabilities of lower extremity muscle strength assessment of healthy adults using a hand held dynamometer. J. Phys. Ther. Sci. 2015, 27, 1799–1801. [Google Scholar] [CrossRef] [PubMed]
- Martins, J.; Da Silva, J.R.; Da Silva, M.R.B.; Bevilaqua-Grossi, D. Reliability and validity of the belt-stabilized handheld dynamometer in hip-and knee-strength tests. J. Athl. Train. 2017, 52, 809–819. [Google Scholar] [CrossRef]
- Fulcher, M.L.; Hanna, C.M.; Elley, C.R. Reliability of handheld dynamometry in assessment of hip strength in adult male football players. J. Sci. Med. Sport 2010, 13, 80–84. [Google Scholar] [CrossRef] [PubMed]
- Berry, E.T.; Giuliani, C.A.; Damiano, D.L. Intrasession and intersession reliability of handheld dynamometry in children with cerebral palsy. Pediatr. Phys. Ther. 2004, 16, 191–198. [Google Scholar] [CrossRef] [PubMed]
- Buckinx, F.; Croisier, J.; Reginster, J.; Dardenne, N.; Beaudart, C.; Slomian, J.; Leonard, S.; Bruyère, O. Reliability of muscle strength measures obtained with a hand-held dynamometer in an elderly population. Clin. Physiol. Funct. Imaging 2017, 37, 332–340. [Google Scholar] [CrossRef]
- Westrick, R.B.; Duffey, M.L.; Cameron, K.L.; Gerber, J.P.; Owens, B.D. Isometric shoulder strength reference values for physically active collegiate males and females. Sports Health 2013, 5, 17–21. [Google Scholar] [CrossRef]
- Cools, A.M.J.; Vanderstukken, F.; Vereecken, F.; Duprez, M.; Heyman, K.; Goethals, N.; Johansson, F. Eccentric and isometric shoulder rotator cuff strength testing using a hand-held dynamometer: Reference values for overhead athletes. Knee Surg. Sports Traumatol. Arthrosc. 2016, 24, 3838–3847. [Google Scholar] [CrossRef]
- Hébert, L.J.; Remec, J.-F.; Saulnier, J.; Vial, C.; Puymirat, J. The use of muscle strength assessed with handheld dynamometers as a non-invasive biological marker in myotonic dystrophy type 1 patients: A multicenter study. BMC Musculoskelet. Disord. 2010, 11, 1–9. [Google Scholar] [CrossRef]
- Chamorro, C.; Armijo-Olivo, S.; De La Fuente, C.; Fuentes, J.; Javier Chirosa, L. Absolute reliability and concurrent validity of hand held dynamometry and isokinetic dynamometry in the hip, knee and ankle joint: Systematic review and meta-analysis. Open Med. 2017, 12, 359–375. [Google Scholar] [CrossRef]
- Bohannon, R.W.; Pritchard, R.O.; Glenney, S.S. Portable belt-stabilized hand-held dynamometry set-up for measuring knee extension force. Isokinet. Exerc. Sci. 2013, 21, 325–329. [Google Scholar] [CrossRef]
- González-Rosalén, J.; Benítez-Martínez, J.C.; Medina-Mirapeix, F.; Cuerda-Del Pino, A.; Cervelló, A.; Martín-San Agustín, R. Intra- and Inter-Rater Reliability of Strength Measurements Using a Pull Hand-Held Dynamometer Fixed to the Examiner’s Body and Comparison with Push Dynamometry. Diagnostics 2021, 11, 1230. [Google Scholar] [CrossRef]
- Kozinc, Ž.; Smajla, D.; Trajković, N.; Šarabon, N. Reliability of EasyForce Dynamometer for Assessment of Maximal Knee and Hip Strength, and Comparison to Rigid Isometric Dynamometers with External Fixation. Meas. Phys. Educ. Exerc. Sci. 2021, 1–13. [Google Scholar] [CrossRef]
- Koo, T.K.; Li, M.Y. A Guideline of Selecting and Reporting Intraclass Correlation Coefficients for Reliability Research. J. Chiropr. Med. 2016, 15, 155–163. [Google Scholar] [CrossRef]
- Bujang, M.A.; Baharum, N. A simplified guide to determination of sample size requirements for estimating the value of intraclass correlation coefficient: A review. Arch. Orofac. Sci. 2017, 12, 1–11. [Google Scholar]
- Hopkins, W.G. Measures of Reliability in Sports Medicine and Science. Sports Med. 2000, 30, 375–381. [Google Scholar] [CrossRef]
- Riemann, B.L.; Davies, G.J.; Ludwig, L.; Gardenhour, H. Hand-held dynamometer testing of the internal and external rotator musculature based on selected positions to establish normative data and unilateral ratios. J. Should. Elb. Surg. 2010, 19, 1175–1183. [Google Scholar] [CrossRef] [PubMed]
- Couppe, C.; Thorborg, K.; Hansen, M.; Fahlström, M.; Bjordal, J.M.; Nielsen, D.; Baun, M.; Storgaard, M.; Magnusson, S.P. Shoulder rotational profiles in young healthy elite female and male badminton players. Scand. J. Med. Sci. Sports 2014, 24, 122–128. [Google Scholar] [CrossRef]
- Hayes, K.; Walton, J.R.; Szomor, Z.L.; Murrell, G.A.C. Reliability of 3 methods for assessing shoulder strength. J. Shoulder Elb. Surg. 2002, 11, 33–39. [Google Scholar] [CrossRef]
- Cadogan, A.; Laslett, M.; Hing, W.; McNair, P.; Williams, M. Reliability of a new hand-held dynamometer in measuring shoulder range of motion and strength. Man. Ther. 2011, 16, 97–101. [Google Scholar] [CrossRef]
- McLaine, S.J.; Ginn, K.A.; Kitic, C.M.; Fell, J.W.; Bird, M.-L. The reliability of strength tests performed in elevated shoulder positions using a handheld dynamometer. J. Sport Rehabil. 2016, 25, 1–4. [Google Scholar] [CrossRef]
- Katoh, M. Test-retest reliability of isometric shoulder muscle strength measurement with a handheld dynamometer and belt. J. Phys. Ther. Sci. 2015, 27, 1719–1722. [Google Scholar] [CrossRef]
- Thorborg, K.; Bandholm, T.; Hölmich, P. Hip-and knee-strength assessments using a hand-held dynamometer with external belt-fixation are inter-tester reliable. Knee Surg. Sports Traumatol. Arthrosc. 2013, 21, 550–555. [Google Scholar] [CrossRef] [PubMed]
- Arnold, C.M.; Warkentin, K.D.; Chilibeck, P.D.; Magnus, C.R.A. The reliability and validity of handheld dynamometry for the measurement of lower-extremity muscle strength in older adults. J. Strength Cond. Res. 2010, 24, 815–824. [Google Scholar] [CrossRef] [PubMed]
- Luedke, L.E.; Heiderscheit, B.C.; Williams, D.S.B.; Rauh, M.J. Association of isometric strength of hip and knee muscles with injury risk in high school cross country runners. Int. J. Sports Phys. Ther. 2015, 10, 868. [Google Scholar] [PubMed]
- Mentiplay, B.F.; Perraton, L.G.; Bower, K.J.; Adair, B.; Pua, Y.H.; Williams, G.P.; McGaw, R.; Clark, R.A. Assessment of lower limb muscle strength and power using hand-held and fixed dynamometry: A reliability and validity study. PLoS ONE 2015, 10, e0140822. [Google Scholar] [CrossRef]
- Lu, T.W.; Hsu, H.C.; Chang, L.Y.; Chen, H.L. Enhancing the examiner’s resisting force improves the reliability of manual muscle strength measurements: Comparison of a new device with hand-held dynamometry. J. Rehabil. Med. 2007, 39, 679–684. [Google Scholar] [CrossRef] [PubMed]
- Kollock, R.O.; Onate, J.A.; Van Lunen, B. The reliability of portable fixed dynamometry during hip and knee strength assessments. J. Athl. Train. 2010, 45, 349–356. [Google Scholar] [CrossRef]
- Maffiuletti, N.A. Assessment of hip and knee muscle function in orthopaedic practice and research. JBJS 2010, 92, 220–229. [Google Scholar] [CrossRef] [PubMed]
- Krause, D.A.; Schlagel, S.J.; Stember, B.M.; Zoetewey, J.E.; Hollman, J.H. Influence of Lever Arm and Stabilization on Measures of Hip Abduction and Adduction Torque Obtained by Hand-Held Dynamometry. Arch. Phys. Med. Rehabil. 2007, 88, 37–42. [Google Scholar] [CrossRef] [PubMed]
- Wilder, R.P.; Cicchetti, M. Common Injuries in Athletes with Obesity and Diabetes. Clin. Sports Med. 2009, 28, 441–453. [Google Scholar] [CrossRef] [PubMed]




| Task | Rater 1 | Rater 2 | Rater 3 | |||||||
|---|---|---|---|---|---|---|---|---|---|---|
| Repetition 1 | Repetition 2 | Repetition 3 | Repetition 1 | Repetition 2 | Repetition 3 | Repetition 1 | Repetition 2 | Repetition 3 | ||
| Shoulder IR | right | 95.9 ± 35.2 | 93.5 ± 33.3 | 100.0 ± 41.3 | 90.3 ± 39.2 | 86.0 ± 34.6 | 94.5 ± 41.7 | 91.6 ± 36.8 | 95.0 ± 34.3 | 93.0 ± 37.2 |
| left | 91.2 ± 39.2 | 93.1 ± 41.0 | 88.4 ± 33.3 | 84.1 ± 33.7 | 93.1 ± 35.8 | 93.9 ± 43.0 | 87.5 ± 40.2 | 87.6 ± 38.8 | 89.6 ± 39.0 | |
| Shoulder Abduction | right | 111.1 ± 53.4 | 111.2 ± 51.3 | 109.3 ± 52.9 | 100.0 ± 55.7 | 102.9 ± 60.5 | 109.1 ± 69.0 | 105.3 ± 47.4 | 101.0 ± 42.6 | 111.4 ± 45.2 |
| left | 96.7 ± 42.6 | 106.4 ± 39.4 | 112.5 ± 46.9 | 104.0 ± 46.2 | 107.9 ± 50.6 | 108.0 ± 46.3 | 108.5 ± 45.0 | 109.5 ± 50.3 | 114.4 ± 50.8 | |
| Knee Flexion | right | 93.5 ± 39.8 | 82.6 ± 23.1 | 84.4 ± 29.4 | 79.8 ± 44.8 | 80.4 ± 34.4 | 82.2 ± 31.1 | 81.1 ± 31.1 | 78.5 ± 30.5 | 80.4 ± 28.6 |
| left | 78.4 ± 27.6 | 83.5 ± 29.5 | 82.5 ± 24.8 | 75.1 ± 24.8 | 80.5 ± 27.7 | 75.4 ± 24.7 | 77.2 ± 22.6 | 81.2 ± 24.0 | 80.2 ± 25.8 | |
| Knee Extension | right | 193.0 ± 86.2 | 190.8 ± 69.8 | 199.9 ± 74.5 | 184.8 ± 60.4 | 204.5 ± 69.7 | 201.4 ± 69.2 | 186.3 ± 81.8 | 220.1 ± 81.1 | 223.4 ± 76.8 |
| left | 161.4 ± 75.0 | 181.1 ± 70.8 | 187.7 ± 86.4 | 162.7 ± 65.1 | 178.9 ± 70.4 | 191.3 ± 63.7 | 176.8 ± 61.8 | 194.8 ± 79.2 | 199.1 ± 70.1 | |
| Hip Abduction | right | 149.0 ± 45.4 | 146.7 ± 42.7 | 148.1 ± 48.6 | 137.3 ± 49.8 | 148.6 ± 56.9 | 148.3 ± 45.9 | 147.2 ± 48.5 | 151.7 ± 57.4 | 149.9 ± 55.9 |
| left | 139.9 ± 49.9 | 135.5 ± 34.6 | 137.0 ± 39.2 | 120.9 ± 45.9 | 141.7 ± 40.1 | 145.2 ± 54.6 | 139.5 ± 56.0 | 141.3 ± 47.6 | 146.7 ± 57.3 | |
| Hip Adduction | right | 81.5 ± 37.6 | 88.5 ± 35.0 | 94.0 ± 28.6 | 85.2 ± 45.1 | 99.5 ± 51.4 | 96.0 ± 43.6 | 81.4 ± 26.6 | 78.8 ± 25.7 | 83.4 ± 29.1 |
| left | 77.0 ± 37.5 | 86.3 ± 38.5 | 83.5 ± 35.7 | 81.4 ± 35.8 | 78.5 ± 37.1 | 83.0 ± 44.9 | 73.1 ± 33.9 | 75.9 ± 32.3 | 83.4 ± 36.9 | |
| Right | Left | |||||||||||
|---|---|---|---|---|---|---|---|---|---|---|---|---|
| TE | 95% CI | CV | 95% CI | TE | 95% CI | CV | 95% CI | |||||
| Shoulder IR | 14.06 | 12.06 | 17.26 | 14.99 | 12.86 | 18.40 | 11.55 | 9.87 | 14.18 | 12.86 | 10.98 | 15.78 |
| Shoulder Abduction | 14.06 | 12.06 | 17.26 | 14.99 | 12.86 | 18.40 | 19.53 | 16.71 | 24.24 | 18.27 | 15.64 | 22.68 |
| Knee Flexion | 16.88 | 14.38 | 20.57 | 20.47 | 17.44 | 24.95 | 10.18 | 8.69 | 12.49 | 12.82 | 10.95 | 15.74 |
| Knee Extension | 39.95 | 34.53 | 48.82 | 20.07 | 17.35 | 24.52 | 27.93 | 23.89 | 34.33 | 15.76 | 13.48 | 19.37 |
| Hip Abduction | 16.57 | 14.22 | 20.35 | 11.24 | 9.65 | 13.80 | 18.79 | 16.05 | 23.06 | 13.55 | 11.57 | 16.63 |
| Hip Adduction | 19.51 | 16.64 | 24.13 | 22.72 | 19.38 | 28.10 | 18.68 | 15.93 | 23.45 | 23.54 | 20.07 | 29.55 |
| Right | Left | ||||||||||||
|---|---|---|---|---|---|---|---|---|---|---|---|---|---|
| Rater | TE | 95% CI | CV | 95% CI | TE | 95% CI | CV | 95% CI | |||||
| Shoulder IR | 1 | 15.39 | 13.20 | 18.89 | 15.94 | 13.68 | 19.58 | 13.18 | 11.24 | 16.30 | 14.49 | 12.36 | 17.92 |
| 2 | 11.93 | 10.17 | 14.61 | 13.21 | 11.26 | 16.18 | 13.03 | 11.18 | 16.00 | 14.42 | 12.37 | 17.71 | |
| 3 | 11.15 | 9.50 | 13.59 | 11.95 | 10.18 | 14.57 | 13.09 | 11.23 | 16.07 | 14.82 | 12.72 | 18.20 | |
| Shoulder Abduction | 1 | 24.10 | 20.68 | 29.60 | 21.80 | 18.71 | 26.77 | 18.03 | 15.37 | 22.30 | 17.12 | 14.60 | 21.18 |
| 2 | 15.78 | 13.44 | 19.23 | 15.16 | 12.92 | 18.48 | 16.07 | 13.79 | 19.74 | 15.07 | 12.93 | 18.50 | |
| 3 | 17.15 | 14.65 | 21.25 | 16.18 | 13.83 | 20.05 | 22.06 | 18.79 | 26.98 | 19.91 | 16.96 | 24.27 | |
| Knee Flexion | 1 | 17.13 | 14.70 | 21.04 | 19.71 | 16.92 | 24.21 | 14.26 | 12.16 | 17.63 | 17.49 | 14.92 | 21.63 |
| 2 | 15.07 | 12.94 | 18.51 | 18.65 | 16.00 | 22.90 | 12.03 | 10.32 | 14.77 | 15.61 | 13.40 | 19.17 | |
| 3 | 12.29 | 10.47 | 14.98 | 15.35 | 13.08 | 18.71 | 8.63 | 7.41 | 10.60 | 10.85 | 9.31 | 13.33 | |
| Knee Extension | 1 | 41.65 | 35.87 | 50.34 | 21.40 | 18.43 | 25.87 | 30.74 | 26.33 | 37.37 | 17.39 | 14.90 | 21.14 |
| 2 | 25.45 | 21.77 | 31.15 | 12.92 | 11.05 | 15.82 | 22.48 | 21.05 | 29.99 | 13.78 | 11.85 | 16.88 | |
| 3 | 34.61 | 29.89 | 42.09 | 16.48 | 14.23 | 20.04 | 32.38 | 27.81 | 39.02 | 16.97 | 14.62 | 20.51 | |
| Hip Abduction | 1 | 14.30 | 12.27 | 17.56 | 9.66 | 8.29 | 11.87 | 19.25 | 16.42 | 23.81 | 14.00 | 11.94 | 17.32 |
| 2 | 21.20 | 18.19 | 26.03 | 14.64 | 12.56 | 17.98 | 21.41 | 18.38 | 26.29 | 15.74 | 13.51 | 19.33 | |
| 3 | 19.24 | 16.52 | 23.63 | 12.86 | 11.04 | 15.79 | 23.42 | 20.10 | 28.76 | 16.43 | 14.10 | 20.17 | |
| Hip Adduction | 1 | 20.32 | 17.31 | 24.77 | 23.09 | 19.67 | 28.14 | 19.23 | 16.40 | 23.79 | 23.37 | 19.93 | 28.90 |
| 2 | 16.91 | 14.51 | 20.77 | 18.07 | 15.51 | 22.19 | 21.81 | 18.72 | 26.78 | 26.91 | 23.10 | 33.05 | |
| 3 | 13.76 | 11.81 | 16.90 | 16.94 | 14.53 | 20.80 | 13.74 | 11.79 | 16.87 | 17.73 | 15.21 | 21.77 | |
Publisher’s Note: MDPI stays neutral with regard to jurisdictional claims in published maps and institutional affiliations. |
© 2022 by the authors. Licensee MDPI, Basel, Switzerland. This article is an open access article distributed under the terms and conditions of the Creative Commons Attribution (CC BY) license (https://creativecommons.org/licenses/by/4.0/).
Share and Cite
Trajković, N.; Kozinc, Ž.; Smajla, D.; Šarabon, N. Interrater and Intrarater Reliability of the EasyForce Dynamometer for Assessment of Maximal Shoulder, Knee and Hip Strength. Diagnostics 2022, 12, 442. https://doi.org/10.3390/diagnostics12020442
Trajković N, Kozinc Ž, Smajla D, Šarabon N. Interrater and Intrarater Reliability of the EasyForce Dynamometer for Assessment of Maximal Shoulder, Knee and Hip Strength. Diagnostics. 2022; 12(2):442. https://doi.org/10.3390/diagnostics12020442
Chicago/Turabian StyleTrajković, Nebojša, Žiga Kozinc, Darjan Smajla, and Nejc Šarabon. 2022. "Interrater and Intrarater Reliability of the EasyForce Dynamometer for Assessment of Maximal Shoulder, Knee and Hip Strength" Diagnostics 12, no. 2: 442. https://doi.org/10.3390/diagnostics12020442
APA StyleTrajković, N., Kozinc, Ž., Smajla, D., & Šarabon, N. (2022). Interrater and Intrarater Reliability of the EasyForce Dynamometer for Assessment of Maximal Shoulder, Knee and Hip Strength. Diagnostics, 12(2), 442. https://doi.org/10.3390/diagnostics12020442

