Morphological Changes in Lamellar Macular Holes According to SD-OCT Examination over a Long Observation Period
Abstract
:1. Introduction
2. Materials and Methods
- A thorough examination of ophthalmological history and family history of general illnesses;
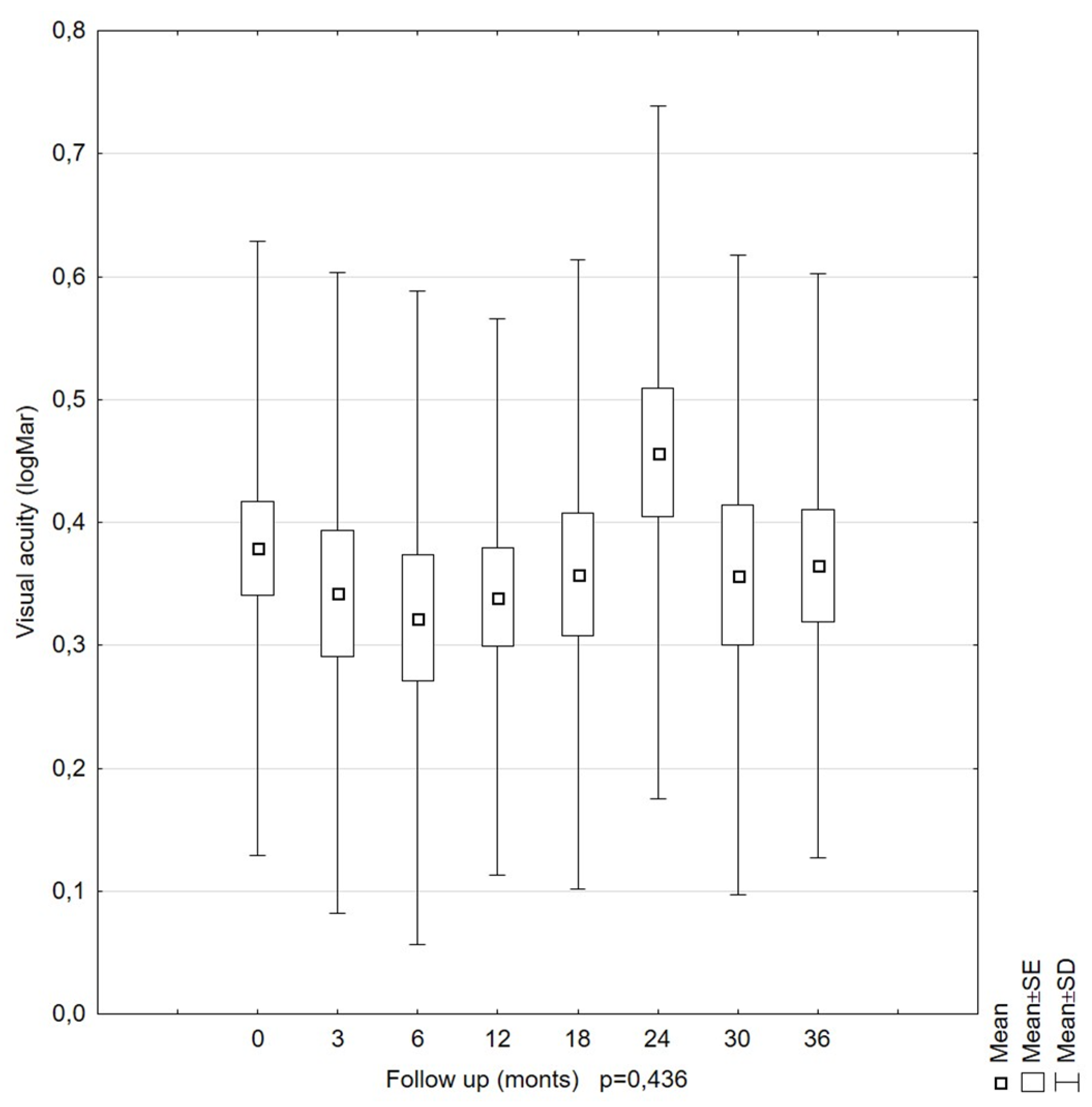
- An RV and BCVA examination; RV was checked in a sitting position with a chart at a distance of 33 cm, BCVA was checked on a logMAR ETDRS 5 × 5 chart (Sloan letters, CDHKNORSVZ) at a standard distance of 4 m and chart luminance set at 160 cd/m−2, and visual acuity was tested by subjective refraction;
- An evaluation of the anterior segment of the eyeball;
- An evaluation of the posterior segment of the eyeball via a slit lamp with the use of a 78 D Volk lens;
- The measurement of intraocular pressure by “air-puff” tonometry (Reichert, Depew, NY 14043, USA);
- An evaluation of the posterior segment of the eyeball via SD-OCT (Copernicus HR, Optopol, Poland).
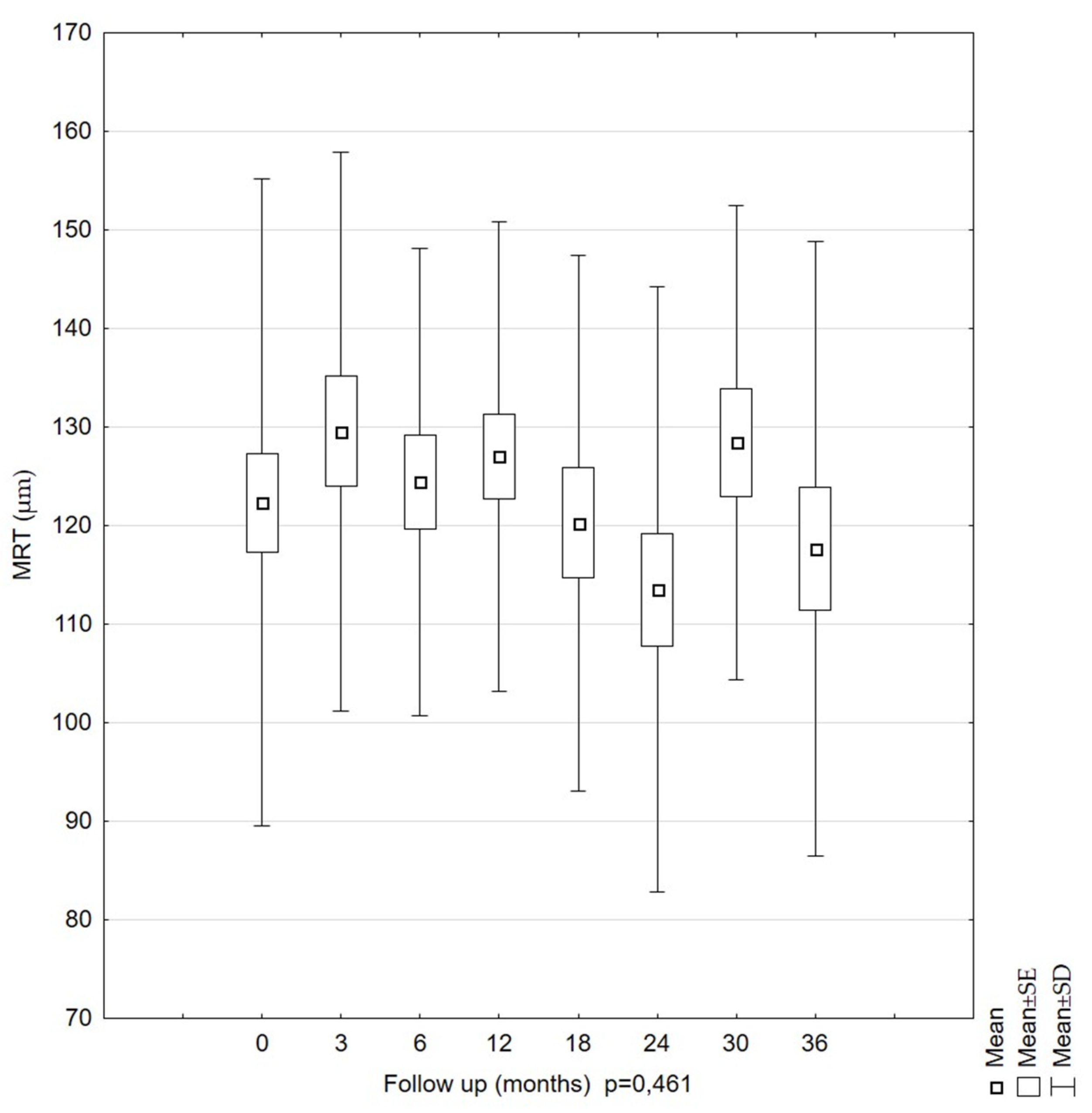
- The manual measurement of the MRT (minimal retinal thickness under the fovea);
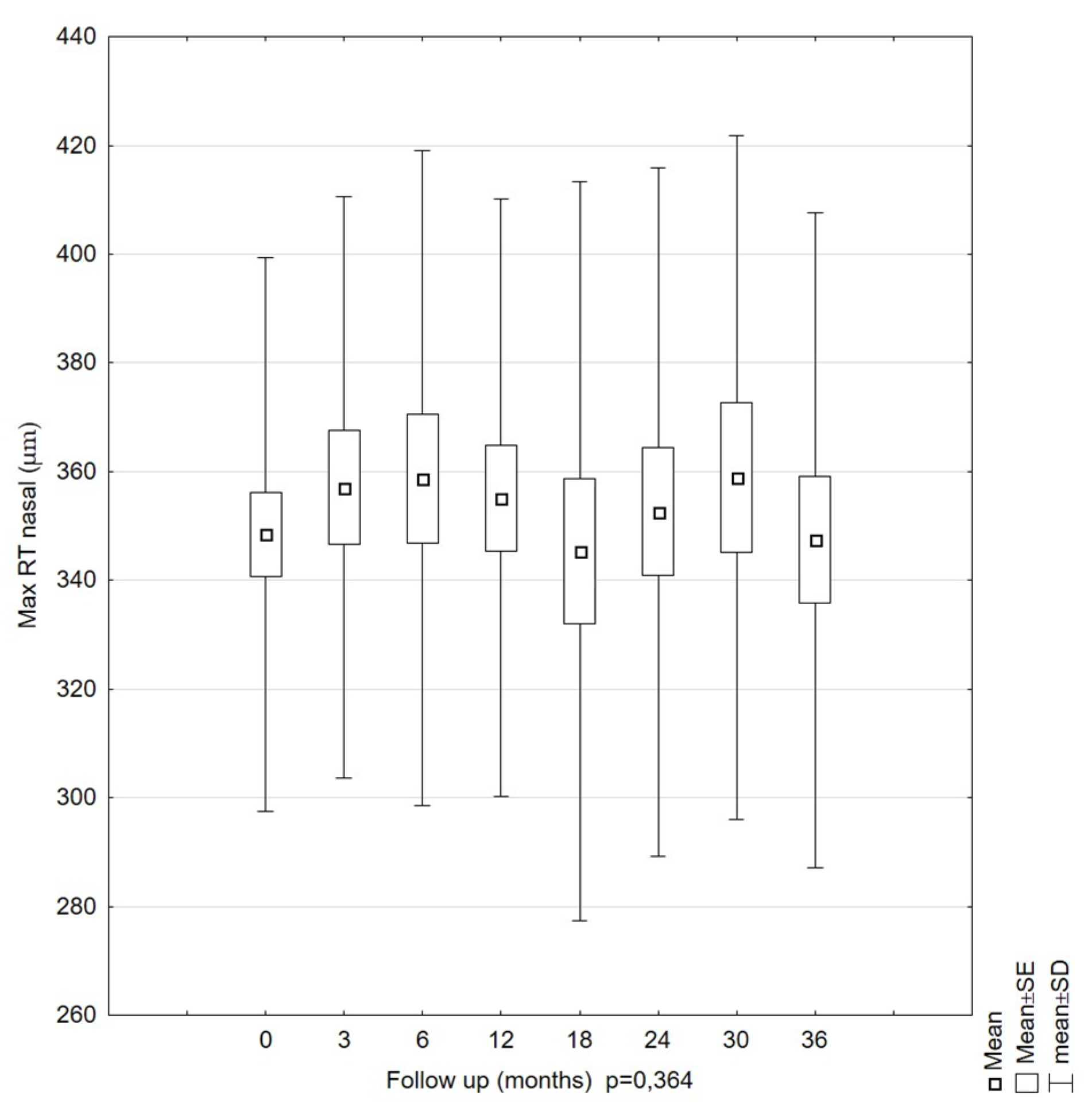
- The manual measurement of the Max RT (maximum retinal thickness) at a distance of 750 µm from the foveola in the temporal (Max RT temporal) and nasal (Max RT nasal) parts of the macula;
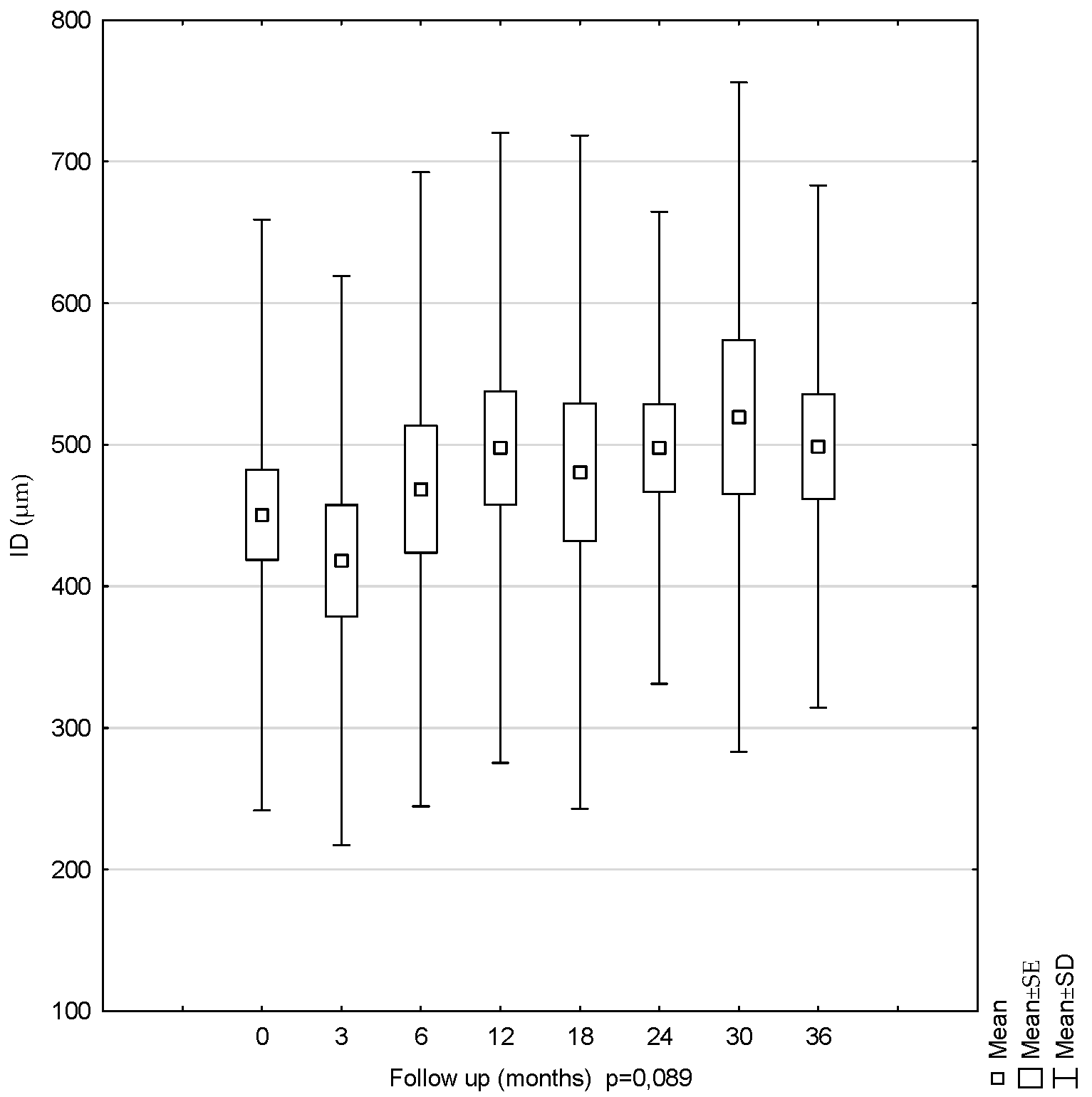
- The ID (inner diameter) manual measurement of the distance between the edges of the macular hole within the inner retinal layer;
- The OD (outer diameter) manual measurement of the outer diameter of the lamellar macular hole within the outer retinal layers.
Statistical Analysis
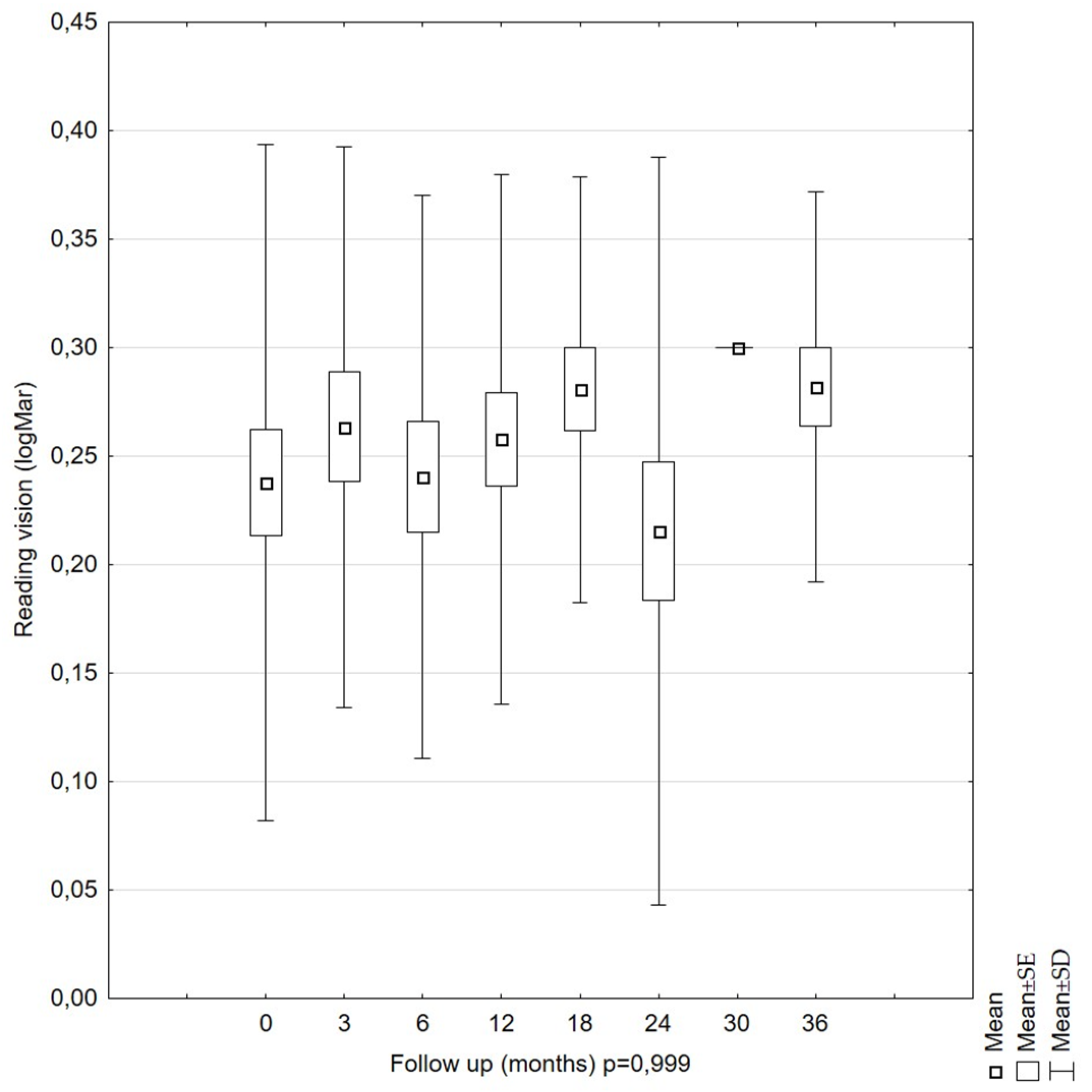
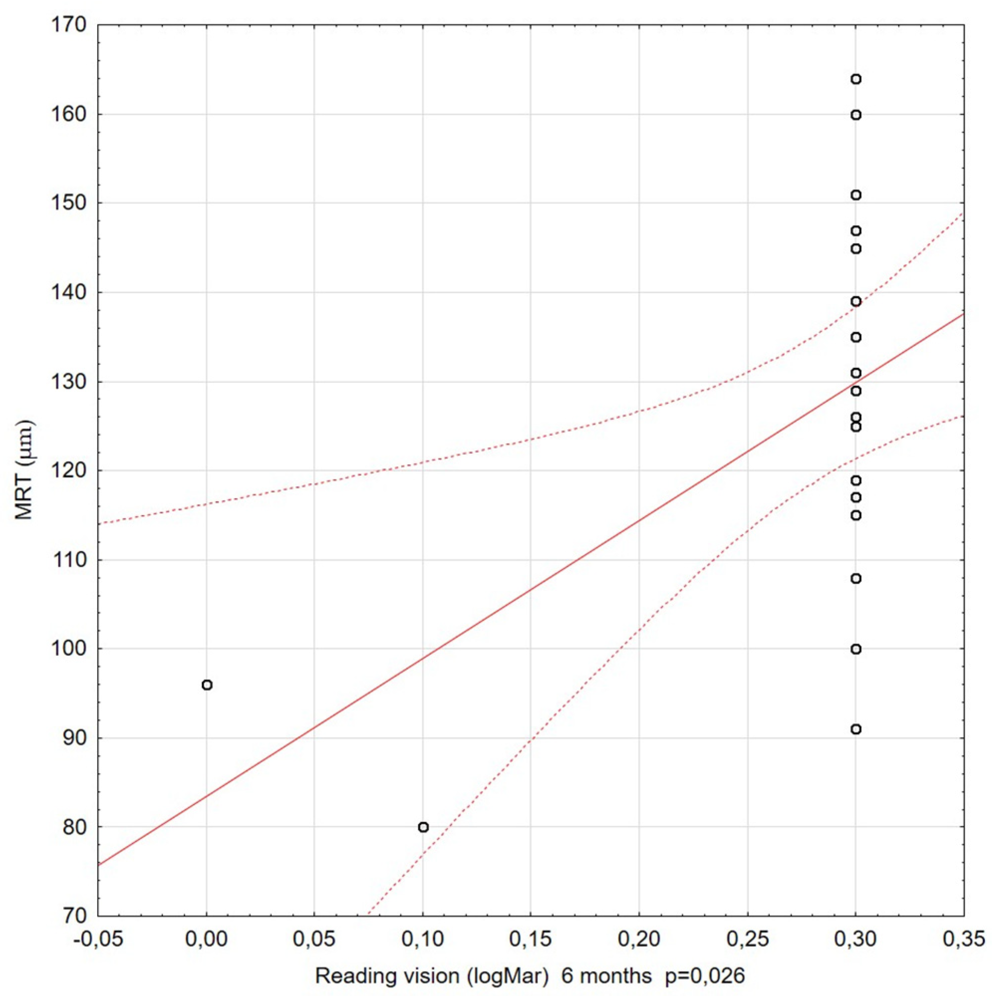
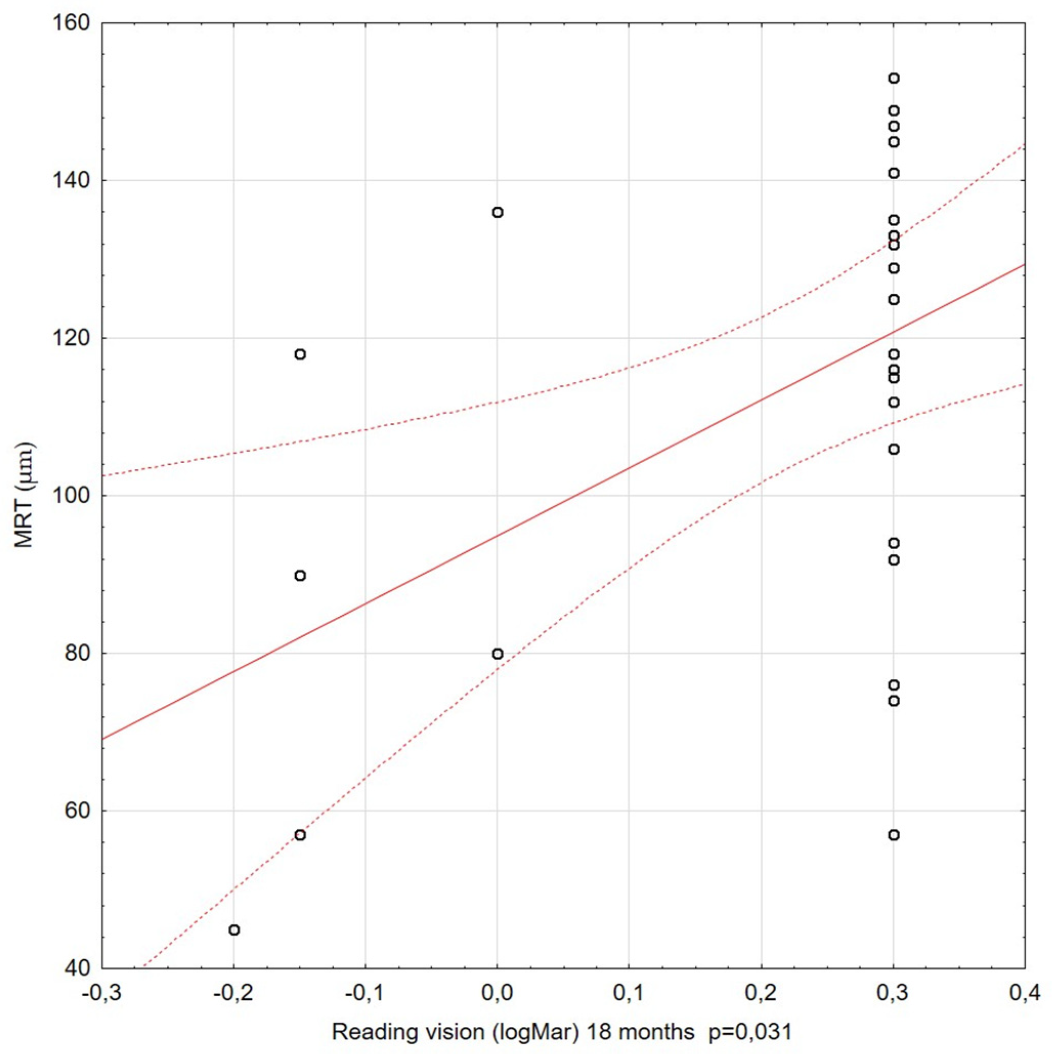
3. Results
4. Discussion
Author Contributions
Funding
Institutional Review Board Statement
Informed Consent Statement
Data Availability Statement
Conflicts of Interest
References
- Gass, J.D. Lamellar Macular Hole: A Complication of Cystoid Macular Edema after Cataract Extraction: A Clinicopathologic Case Report. Trans. Am. Ophthalmol. Soc. 1975, 73, 230–250. [Google Scholar]
- Allen, A.W.; Gass, J.D.M. Contraction of a Perifoveal Epiretinal Membrane Simulating a Macular Hole. Am. J. Ophthalmol. 1976, 82, 684–691. [Google Scholar] [CrossRef]
- Michalewska, Z. Non-Full-Thickness Macular Holes: A Closer Look. Ophthalmic. Surg. Lasers Imaging Retin. 2012, 43, 152–161. [Google Scholar] [CrossRef]
- Nawrocki, J.; Michalewska, Z. Spectral Domain Optical Coherence Tomography for Macular Holes. In Medical Retina: Focus on Retinal Imaging; Holz, F.G., Spaide, R., Eds.; Essentials in Ophthalmology; Springer: Berlin/Heidelberg, Germany, 2010; pp. 141–155. ISBN 978-3-540-85540-8. [Google Scholar]
- Michalewska, Z.; Michalewski, J.; Odrobina, D.; Nawrocki, J. Non-Full-Thickness Macular Holes Reassessed with Spectral Domain Optical Coherence Tomography. Retina 2012, 32, 922–929. [Google Scholar] [CrossRef]
- Govetto, A.; Dacquay, Y.; Farajzadeh, M.; Platner, E.; Hirabayashi, K.; Hosseini, H.; Schwartz, S.D.; Hubschman, J.-P. Lamellar Macular Hole: Two Distinct Clinical Entities? Am. J. Ophthalmol. 2016, 164, 99–109. [Google Scholar] [CrossRef]
- Compera, D.; Entchev, E.; Haritoglou, C.; Mayer, W.J.; Hagenau, F.; Ziada, J.; Kampik, A.; Schumann, R.G. Correlative Microscopy of Lamellar Hole-Associated Epiretinal Proliferation. Available online: https://www.hindawi.com/journals/joph/2015/450212/ (accessed on 2 April 2020).
- Pang, C.E.; Spaide, R.F.; Freund, K.B. Epiretinal Proliferation Seen in Association with Lamellar Macular Holes: A Distinct Clinical Entity. RETINA 2014, 34, 1513–1523. [Google Scholar] [CrossRef] [PubMed]
- Pang, C.E.; Spaide, R.F.; Freund, K.B. Comparing functional and morphologic characteristics of lamellar macular holes with and without lamellar hole-associated epiretinal proliferation. RETINA 2015, 35, 720–726. [Google Scholar] [CrossRef] [PubMed]
- Russo, A.; Ragusa, M.; Barbagallo, C.; Longo, A.; Avitabile, T.; Uva, M.G.; Bonfiglio, V.; Toro, M.D.; Caltabiano, R.; Mariotti, C.; et al. MiRNAs in the Vitreous Humor of Patients Affected by Idiopathic Epiretinal Membrane and Macular Hole. PLoS ONE 2017, 12, e0174297. [Google Scholar] [CrossRef] [PubMed]
- Gass, J.D. Müller Cell Cone, an Overlooked Part of the Anatomy of the Fovea Centralis: Hypotheses Concerning Its Role in the Pathogenesis of Macular Hole and Foveomacualr Retinoschisis. Arch. Ophthalmol. 1999, 117, 821–823. [Google Scholar] [CrossRef] [PubMed] [Green Version]
- Madreperla, S.A.; Mccuen, B.W.; Hickingbotham, D.; Green, W.R. Clinicopathologic Correlation of Surgically Removed Macular Hole Opercula. Am. J. Ophthalmol. 1995, 120, 197–207. [Google Scholar] [CrossRef]
- Gaudric, A.; Haouchine, B.; Massin, P.; Paques, M.; Blain, P.; Erginay, A. Macular Hole Formation: New Data Provided by Optical Coherence Tomography. Arch. Ophthalmol. 1999, 117, 744–751. [Google Scholar] [CrossRef] [PubMed]
- Avila, M.P.; Jalkh, A.E.; Murakami, K.; Trempe, C.L.; Schepens, C.L. Biomicroscopic Study of the Vitreous in Macular Breaks. Ophthalmology 1983, 90, 1277–1283. [Google Scholar] [CrossRef]
- Ezra, E.; Munro, P.M.G.; Charteris, D.G.; Aylward, W.G.; Luthert, P.J.; Gregor, Z.J. Macular Hole Opercula: Ultrastructural Features and Clinicopathological Correlation. Arch. Ophthalmol. 1997, 115, 1381–1387. [Google Scholar] [CrossRef] [PubMed]
- Parisi, G.; Fallico, M.; Maugeri, A.; Barchitta, M.; Agodi, A.; Russo, A.; Longo, A.; Avitabile, T.; Castellino, N.; Bonfiglio, V.; et al. Primary Vitrectomy for Degenerative and Tractional Lamellar Macular Holes: A Systematic Review and Meta-Analysis. PLoS ONE 2021, 16, e0246667. [Google Scholar] [CrossRef]
- Reibaldi, M.; Rizzo, S.; Avitabile, T.; Longo, A.; Toro, M.D.; Viti, F.; Saitta, A.; Giovannini, A.; Mariotti, C. Iatrogenic Retinal Breaks in 25-Gauge Vitrectomy under Air Compared with the Standard 25-Gauge System for Macular Diseases. RETINA 2014, 34, 1617–1622. [Google Scholar] [CrossRef]
- Witkin Andre, J.; Castro Leonardo, C.; Reichel, E.; Rogers Adam, H.; Baumal Caroline, R.; Duker Jay, S. Anatomic and Visual Outcomes of Vitrectomy for Lamellar Macular Holes. Ophthalmic Surg. Lasers Imaging Retin. 2010, 41, 418–424. [Google Scholar] [CrossRef]
- Figueroa, M.S.; Govetto, A.; Steel, D.H.; Sebag, J.; Virgili, G.; Hubschman, J.P. Pars plana vitrectomy for the treatment of tractional and degenerative lamellar macular holes: Functional and Anatomical Results. RETINA 2019, 39, 2090–2098. [Google Scholar] [CrossRef]
- Lee, S.J.; Jang, S.Y.; Moon, D.; Choi, K.S.; Jung, G.Y. Long-term surgical outcomes after vitrectomy for symptomatic lamellar macular holes. RETINA 2012, 32, 1743–1748. [Google Scholar] [CrossRef]
- Michalewska, Z.; Michalewski, J.; Odrobina, D.; Pikulski, Z.; Cisiecki, S.; Dzięgielewski, K.; Nawrocki, J. Surgical Treatment of Lamellar Macular Holes. Graefes Arch. Clin. Exp. Ophthalmol. 2010, 248, 1395–1400. [Google Scholar] [CrossRef]
- Reibaldi, M.; Avitabile, T.; Longo, A.; Uva, M.G.; Bonfiglio, V.; Russo, A.; Toro, M.D.; Stella, S.; Giovannini, A.; Viti, F.; et al. Correlation of Preoperative Retinal Pigment Epithelium Status with Foveal Microstructure in Repaired Macular Holes. OPH 2014, 232, 194–199. [Google Scholar] [CrossRef]
- Tanikawa, A.; Horiguchi, M.; Kondo, M.; Suzuki, S.; Terasaki, H.; Miyake, Y. Abnormal Focal Macular Electroretinograms in Eyes with Idiopathic Epimacular Membrane. Am. J. Ophthalmol. 1999, 127, 559–564. [Google Scholar] [CrossRef]
- Niwa, T.; Terasaki, H.; Kondo, M.; Piao, C.-H.; Suzuki, T.; Miyake, Y. Function and Morphology of Macula before and after Removal of Idiopathic Epiretinal Membrane. Investig. Ophthalmol. Vis. Sci. 2003, 44, 1652–1656. [Google Scholar] [CrossRef] [PubMed] [Green Version]
- Bottoni, F.; Deiro, A.P.; Giani, A.; Orini, C.; Cigada, M.; Staurenghi, G. The Natural History of Lamellar Macular Holes: A Spectral Domain Optical Coherence Tomography Study. Graefes Arch. Clin. Exp. Ophthalmol. 2013, 251, 467–475. [Google Scholar] [CrossRef]
- Sigler, E.J.; Randolph, J.C.; Calzada, J.I. Incidence, morphology, and classification of epimacular membrane rip. RETINA 2013, 33, 1158–1165. [Google Scholar] [CrossRef]
- Parravano, M.; Oddone, F.; Boccassini, B.; Chiaravalloti, A.; Scarinci, F.; Sciamanna, M.; Boninfante, A.; Tedeschi, M.; Varano, M. Functional and Structural Assessment of Lamellar Macular Holes. Br. J. Ophthalmol. 2013, 97, 291–296. [Google Scholar] [CrossRef]
- Reibaldi, M.; Parravano, M.; Varano, M.; Longo, A.; Avitabile, T.; Uva, M.G.; Zagari, M.; Toro, M.; Boscia, F.; Boccassini, B.; et al. Foveal Microstructure and Functional Parameters in Lamellar Macular Hole. Am. J. Ophthalmol. 2012, 154, 974–980. [Google Scholar] [CrossRef] [PubMed]
- García-Fernández, M.; Castro-Navarro, J.; Fernández-Vega Sanz, Á.; González-Castaño, C. Long-Term Evolution of Idiopathic Lamellar Macular Holes and Macular Pseudoholes. Can. J. Ophthalmol. 2012, 47, 442–447. [Google Scholar] [CrossRef]
- Figueroa, M.S.; Noval, S.; Contreras, I. Macular Structure on Optical Coherence Tomography after Lamellar Macular Hole Surgery and Its Correlation with Visual Outcome. Can. J. Ophthalmol. 2011, 46, 491–497. [Google Scholar] [CrossRef] [PubMed]
- Kokame Gregg, T.; Tokuhara Keith, G. Surgical Management of Inner Lamellar Macular Hole. Ophthalmic Surg. Lasers Imaging Retina 2007, 38, 61–63. [Google Scholar] [CrossRef]
- Tan, C.S.H.; Cheong, K.X.; Lim, L.W.; Li, K.Z. Topographic Variation of Choroidal and Retinal Thicknesses at the Macula in Healthy Adults. Br. J. Ophthalmol. 2014, 98, 339–344. [Google Scholar] [CrossRef]
- Theodossiadis, P.G.; Grigoropoulos, V.G.; Emfietzoglou, I.; Nikolaidis, P.; Vergados, I.; Apostolopoulos, M.; Theodossiadis, G.P. Evolution of Lamellar Macular Hole Studied by Optical Coherence Tomography. Graefes Arch. Clin. Exp. Ophthalmol. 2009, 247, 13–20. [Google Scholar] [CrossRef] [PubMed]
- Clamp, M.F.; Wilkes, G.; Leis, L.S.; McDonald, H.R.; Johnson, R.N.; Jumper, J.M.; Fu, A.D.; Cunningham, E.T.J.; Stewart, P.J.; Haug, S.J.; et al. En face spectral domain optical coherence tomography analysis of lamellar macular holes. RETINA 2014, 34, 1360–1366. [Google Scholar] [CrossRef] [PubMed]
- Witkin, A.J.; Ko, T.H.; Fujimoto, J.G.; Schuman, J.S.; Baumal, C.R.; Rogers, A.H.; Reichel, E.; Duker, J.S. Redefining Lamellar Holes and the Vitreomacular Interface: An Ultrahigh-Resolution Optical Coherence Tomography Study. Ophthalmology 2006, 113, 388–397. [Google Scholar] [CrossRef] [PubMed] [Green Version]











Publisher’s Note: MDPI stays neutral with regard to jurisdictional claims in published maps and institutional affiliations. |
© 2021 by the authors. Licensee MDPI, Basel, Switzerland. This article is an open access article distributed under the terms and conditions of the Creative Commons Attribution (CC BY) license (https://creativecommons.org/licenses/by/4.0/).
Share and Cite
Kal, M.; Chojnowska-Ćwiąkała, I.; Winiarczyk, M.; Jasielska, M.; Mackiewicz, J. Morphological Changes in Lamellar Macular Holes According to SD-OCT Examination over a Long Observation Period. Diagnostics 2021, 11, 1145. https://doi.org/10.3390/diagnostics11071145
Kal M, Chojnowska-Ćwiąkała I, Winiarczyk M, Jasielska M, Mackiewicz J. Morphological Changes in Lamellar Macular Holes According to SD-OCT Examination over a Long Observation Period. Diagnostics. 2021; 11(7):1145. https://doi.org/10.3390/diagnostics11071145
Chicago/Turabian StyleKal, Magdalena, Izabela Chojnowska-Ćwiąkała, Mateusz Winiarczyk, Monika Jasielska, and Jerzy Mackiewicz. 2021. "Morphological Changes in Lamellar Macular Holes According to SD-OCT Examination over a Long Observation Period" Diagnostics 11, no. 7: 1145. https://doi.org/10.3390/diagnostics11071145
APA StyleKal, M., Chojnowska-Ćwiąkała, I., Winiarczyk, M., Jasielska, M., & Mackiewicz, J. (2021). Morphological Changes in Lamellar Macular Holes According to SD-OCT Examination over a Long Observation Period. Diagnostics, 11(7), 1145. https://doi.org/10.3390/diagnostics11071145

