Three Different Genetic Risk Scores Based on Fatty Liver Index, Magnetic Resonance Imaging and Lipidomic for a Nutrigenetic Personalized Management of NAFLD: The Fatty Liver in Obesity Study
Abstract
1. Introduction
2. Materials and Methods
2.1. Study Design
2.2. Study Participants
2.3. Dietary and Lifestyle Intervention
2.4. Anthropometric, Body Composition and Biochemical Assessments
2.5. Imaging Techniques for the Assessment of Liver Status
2.6. Metabolomics
2.7. SNP Selection and Genotyping
2.8. Genetic Risk Score (GRS)
2.9. Statistical Analysis
3. Results
4. Discussion
5. Conclusions
Supplementary Materials
Author Contributions
Funding
Institutional Review Board Statement
Informed Consent Statement
Data Availability Statement
Acknowledgments
Conflicts of Interest
References
- Trépo, E.; Valenti, L. Update on NAFLD Genetics: From New Variants to the Clinic. J. Hepatol. 2020, 72, 1196–1209. [Google Scholar] [CrossRef]
- Koch, L.K.; Yeh, M.M. Nonalcoholic Fatty Liver Disease (NAFLD): Diagnosis, Pitfalls, and Staging. Ann. Diagn. Pathol. 2018, 37, 83–90. [Google Scholar] [CrossRef]
- Pais, R.; Maurel, T. Natural History of NAFLD. J. Clin. Med. 2021, 10, 1161. [Google Scholar] [CrossRef]
- Galarregui, C.; Zulet, M.Á.; Cantero, I.; Marín-Alejandre, B.A.; Monreal, J.I.; Elorz, M.; Benito-Boillos, A.; Herrero, J.I.; Tur, J.A.; Abete, I.; et al. Interplay of Glycemic Index, Glycemic Load, and Dietary Antioxidant Capacity with Insulin Resistance in Subjects with a Cardiometabolic Risk Profile. Int. J. Mol. Sci. 2018, 19, 3662. [Google Scholar] [CrossRef]
- Zusi, C.; Mantovani, A.; Olivieri, F.; Morandi, A.; Corradi, M.; Miraglia Del Giudice, E.; Dauriz, M.; Valenti, L.; Byrne, C.D.; Targher, G.; et al. Contribution of a Genetic Risk Score to Clinical Prediction of Hepatic Steatosis in Obese Children and Adolescents. Dig. Liver Dis. 2019, 51, 1586–1592. [Google Scholar] [CrossRef] [PubMed]
- Kupčová, V.; Fedelešová, M.; Bulas, J.; Kozmonová, P.; Turecký, L. Overview of the Pathogenesis, Genetic, and Non-Invasive Clinical, Biochemical, and Scoring Methods in the Assessment of NAFLD. Int. J. Environ. Res. Public Health 2019, 16, 3570. [Google Scholar] [CrossRef] [PubMed]
- Castera, L. Diagnosis of Non-Alcoholic Fatty Liver Disease/Non-Alcoholic Steatohepatitis: Non-Invasive Tests Are Enough. Liver Int. 2018, 38, 67–70. [Google Scholar] [CrossRef]
- Petta, S.; Wong, V.W.S.; Cammà, C.; Hiriart, J.B.; Wong, G.L.H.; Vergniol, J.; Chan, A.W.H.; Di Marco, V.; Merrouche, W.; Chan, H.L.Y.; et al. Serial Combination of Non-Invasive Tools Improves the Diagnostic Accuracy of Severe Liver Fibrosis in Patients with NAFLD. Aliment. Pharmacol. Ther. 2017, 46, 617–627. [Google Scholar] [CrossRef] [PubMed]
- Besutti, G.; Valenti, L.; Ligabue, G.; Bassi, M.C.; Pattacini, P.; Guaraldi, G.; Giorgi Rossi, P. Accuracy of Imaging Methods for Steatohepatitis Diagnosis in Non-Alcoholic Fatty Liver Disease Patients: A Systematic Review. Liver Int. 2019, 39, 1521–1534. [Google Scholar] [CrossRef] [PubMed]
- Goni, L.; Qi, L.; Cuervo, M.; Milagro, F.I.; Saris, W.H.; MacDonald, I.A.; Langin, D.; Astrup, A.; Arner, P.; Oppert, J.M.; et al. Effect of the Interaction between Diet Composition and the PPM1K Genetic Variant on Insulin Resistance and β Cell Function Markers during Weight Loss: Results from the Nutrient Gene Interactions in Human Obesity: Implications for Dietary Guidelines (NUGENOB) randomized trial. Am. J. Clin. Nutr. 2017, 106, 902–908. [Google Scholar] [CrossRef] [PubMed]
- Perakakis, N.; Polyzos, S.A.; Yazdani, A.; Sala-Vila, A.; Kountouras, J.; Anastasilakis, A.D.; Mantzoros, C.S. Non-Invasive Diagnosis of Non-Alcoholic Steatohepatitis and Fibrosis with the Use of Omics and Supervised Learning: A Proof of Concept Study. Metabolism 2019, 101. [Google Scholar] [CrossRef]
- Bedogni, G.; Bellentani, S.; Miglioli, L.; Masutti, F.; Passalacqua, M.; Castiglione, A.; Tiribelli, C. The Fatty Liver Index: A Simple and Accurate Predictor of Hepatic Steatosis in the General Population. BMC Gastroenterol. 2006, 6, 33. [Google Scholar] [CrossRef]
- Murayama, K.; Okada, M.; Tanaka, K.; Inadomi, C.; Yoshioka, W.; Kubotsu, Y.; Yada, T.; Isoda, H.; Kuwashiro, T.; Oeda, S.; et al. Prediction of Nonalcoholic Fatty Liver Disease Using Noninvasive and Non-Imaging Procedures in Japanese Health Checkup Examinees. Diagnostics 2021, 11, 132. [Google Scholar] [CrossRef] [PubMed]
- Perez-Diaz-Del-Campo, N.; Abete, I.; Cantero, I.; Marin-Alejandre, B.A.; Monreal, J.I.; Elorz, M.; Herrero, J.I.; Benito-Boillos, A.; Riezu-Boj, J.I.; Milagro, F.I.; et al. Association of the SH2B1 RS7359397 Gene Polymorphism with Steatosis Severity in Subjects with Obesity and Non-Alcoholic Fatty Liver Disease. Nutrients 2020, 12, 1260. [Google Scholar] [CrossRef]
- León-Mimila, P.; Vega-Badillo, J.; Gutiérrez-Vidal, R.; Villamil-Ramírez, H.; Villareal-Molina, T.; Larrieta-Carrasco, E.; López-Contreras, B.E.; Kauffer, L.R.M.; Maldonado-Pintado, D.G.; Méndez-Sánchez, N.; et al. A Genetic Risk Score Is Associated with Hepatic Triglyceride Content and Non-Alcoholic Steatohepatitis in Mexicans with Morbid Obesity. Exp. Mol. Pathol. 2015, 98, 178–183. [Google Scholar] [CrossRef] [PubMed]
- Gellert-Kristensen, H.; Richardson, T.G.; Davey Smith, G.; Nordestgaard, B.G.; Tybjærg-Hansen, A.; Stender, S. Combined Effect of PNPLA3, TM6SF2, and HSD17B13 Variants on Risk of Cirrhosis and Hepatocellular Carcinoma in the General Population. Hepatology 2020, 72, 845–856. [Google Scholar] [CrossRef] [PubMed]
- Di Costanzo, A.; Pacifico, L.; Chiesa, C.; Perla, F.M.; Ceci, F.; Angeloni, A.; D’Erasmo, L.; Di Martino, M.; Arca, M. Genetic and Metabolic Predictors of Hepatic Fat Content in a Cohort of Italian Children with Obesity. Pediatr. Res. 2019, 85, 671–677. [Google Scholar] [CrossRef] [PubMed]
- Pelusi, S.; Baselli, G.; Pietrelli, A.; Dongiovanni, P.; Donati, B.; McCain, M.V.; Meroni, M.; Fracanzani, A.L.; Romagnoli, R.; Petta, S.; et al. Rare Pathogenic Variants Predispose to Hepatocellular Carcinoma in Nonalcoholic Fatty Liver Disease. Sci. Rep. 2019, 9, 1–10. [Google Scholar] [CrossRef] [PubMed]
- Loomba, R.; Schork, N.; Chen, C.H.; Bettencourt, R.; Bhatt, A.; Ang, B.; Nguyen, P.; Hernandez, C.; Richards, L.; Salotti, J.; et al. Heritability of Hepatic Fibrosis and Steatosis Based on a Prospective Twin Study. Gastroenterology 2015, 149, 1784–1793. [Google Scholar] [CrossRef] [PubMed]
- Degasperi, E.; Galmozzi, E.; Pelusi, S.; D’Ambrosio, R.; Soffredini, R.; Borghi, M.; Perbellini, R.; Facchetti, F.; Iavarone, M.; Sangiovanni, A.; et al. Hepatic Fat—Genetic Risk Score Predicts Hepatocellular Carcinoma in Patients with Cirrhotic HCV Treated with DAAs. Hepatology 2020, 72, 1912–1923. [Google Scholar] [CrossRef]
- Goodarzi, M.O. Genetics of Obesity: What Genetic Association Studies Have Taught Us about the Biology of Obesity and Its Complications. Lancet Diabetes Endocrinol. 2018, 6, 223–236. [Google Scholar] [CrossRef]
- Mundi, M.S.; Velapati, S.; Patel, J.; Kellogg, T.A.; Abu Dayyeh, B.K.; Hurt, R.T. Evolution of NAFLD and Its Management. Nutr. Clin. Pract. 2020, 35, 72–84. [Google Scholar] [CrossRef] [PubMed]
- Leoni, S.; Tovoli, F.; Napoli, L.; Serio, I.; Ferri, S.; Bolondi, L. Current Guidelines for the Management of Non-Alcoholic Fatty Liver Disease: A Systematic Review with Comparative Analysis. World J. Gastroenterol. 2018, 24, 3361–3373. [Google Scholar] [CrossRef] [PubMed]
- Rinella, M.E.; Tacke, F.; Sanyal, A.J.; Anstee, Q.M. Report on the AASLD/EASL Joint Workshop on Clinical Trial Endpoints in NAFLD. Hepatology 2019, 70, 1424–1436. [Google Scholar] [CrossRef]
- Abenavoli, L.; Boccuto, L.; Federico, A.; Dallio, M.; Loguercio, C.; Di Renzo, L.; De Lorenzo, A. Diet and Non-Alcoholic Fatty Liver Disease: The Mediterranean Way. Int. J. Environ. Res. Public Health Rev. 2019, 16, 3011. [Google Scholar] [CrossRef]
- Martinez, J.A.; Navas-Carretero, S.; Saris, W.H.M.; Astrup, A. Personalized Weight Loss Strategies—The Role of Macronutrient Distribution. Nat. Rev. Endocrinol. 2014, 749–760. [Google Scholar] [CrossRef]
- Sheka, A.C.; Adeyi, O.; Thompson, J.; Hameed, B.; Crawford, P.A.; Ikramuddin, S. Nonalcoholic Steatohepatitis: A Review. JAMA J. Am. Med. Assoc. 2020, 323, 1175–1183. [Google Scholar] [CrossRef]
- Ramos-Lopez, O.; Cuervo, M.; Goni, L.; Milagro, F.I.; Riezu-Boj, J.I.; Martinez, J.A. Modeling of an Integrative Prototype Based on Genetic, Phenotypic, and Environmental Information for Personalized Prescription of Energy-Restricted Diets in Overweight/Obese Subjects. Am. J. Clin. Nutr. 2020, 111, 459–470. [Google Scholar] [CrossRef]
- O’Connor, D.; Pang, M.; Castelnuovo, G.; Finlayson, G.; Blaak, E.; Gibbons, C.; Navas-Carretero, S.; Almiron-Roig, E.; Harrold, J.; Raben, A.; et al. A Rational Review on the Effects of Sweeteners and Sweetness Enhancers on Appetite, Food Reward and Metabolic/Adiposity Outcomes in Adults. Food Funct. 2021, 12, 442–465. [Google Scholar] [CrossRef] [PubMed]
- González-Muniesa, P.; Alfredo Martínez, J. Precision Nutrition and Metabolic Syndrome Management. Nutrients 2019, 11, 2411. [Google Scholar] [CrossRef]
- San-Cristobal, R.; Navas-Carretero, S.; Martínez-González, M.Á.; Ordovas, J.M.; Martínez, J.A. Contribution of Macronutrients to Obesity: Implications for Precision Nutrition. Nat. Rev. Endocrinol. 2020, 16, 305–320. [Google Scholar] [CrossRef]
- Cantero, I.; Elorz, M.; Abete, I.; Marin, B.A.; Herrero, J.I.; Monreal, J.I.; Benito, A.; Quiroga, J.; Martínez, A.; Huarte, M.P.; et al. Ultrasound/Elastography Techniques, Lipidomic and Blood Markers Compared to Magnetic Resonance Imaging in Non-Alcoholic Fatty Liver Disease Adults. Int. J. Med. Sci. 2019, 16, 75–83. [Google Scholar] [CrossRef] [PubMed]
- Marin-Alejandre, B.A.; Abete, I.; Cantero, I.; Monreal, J.I.; Martinez-echeverria, A.; Uriz-otano, J.I. The Metabolic and Hepatic Impact of Two Personalized Dietary Strategies in Subjects with Obesity and Nonalcoholic Fatty Liver Disease: The Fatty Liver in Obesity (FLiO) Randomized Controlled Trial. Nutrients 2019, 11, 2543. [Google Scholar] [CrossRef]
- Marin-Alejandre, B.A.; Cantero, I.; Perez-Diaz-del-Campo, N.; Monreal, J.I.; Elorz, M.; Herrero, J.I.; Benito-Boillos, A.; Quiroga, J.; Martinez-Echeverria, A.; Uriz-Otano, J.I.; et al. Effects of Two Personalized Dietary Strategies during a 2-year Intervention in Subjects with Nonalcoholic Fatty Liver Disease: A Randomized Trial. Liver Int. 2021. [Google Scholar] [CrossRef] [PubMed]
- Perez-Diaz-del-Campo, N.; Marin-Alejandre, B.A.; Cantero, I.; Monreal, J.I.; Elorz, M.; Herrero, J.I.; Benito-Boillos, A.; Riezu-Boj, J.I.; Milagro, F.I.; Tur, J.A.; et al. Differential Response to a 6-Month Energy-Restricted Treatment Depending on SH2B1 Rs7359397 Variant in NAFLD Subjects: Fatty Liver in Obesity (FLiO) Study. Eur. J. Nutr. 2021. [Google Scholar] [CrossRef]
- Sanyal, A.J.; Brunt, E.M.; Kleiner, D.E.; Kowdley, K.V.; Chalasani, N.; Lavine, J.E.; Ratziu, V.; Mccullough, A. Endpoints and Clinical Trial Design for Nonalcoholic Steatohepatitis. Hepatology 2011, 54, 344–353. [Google Scholar] [CrossRef]
- Chalasani, N.; Younossi, Z.; Lavine, J.E.; Charlton, M.; Cusi, K.; Rinella, M.; Harrison, S.A.; Brunt, E.M.; Sanyal, A.J. The Diagnosis and Management of Nonalcoholic Fatty Liver Disease: Practice Guidance from the American Association for the Study of Liver Diseases. Hepatology 2018, 67, 328–357. [Google Scholar] [CrossRef]
- Fernández-Ballart, J.D.; Piñol, J.L.; Zazpe, I.; Corella, D.; Carrasco, P.; Toledo, E.; Perez-Bauer, M.; Martínez-González, M.Á.; Salas-Salvadó, J.; Martn-Moreno, J.M. Relative Validity of a Semi-Quantitative Food-Frequency Questionnaire in an Elderly Mediterranean Population of Spain. Br. J. Nutr. 2010, 103, 1808–1816. [Google Scholar] [CrossRef] [PubMed]
- Galarregui, C.; Marin-Alejandre, B.A.; Perez-Diaz-Del-Campo, N.; Cantero, I.; Monreal, J.I.; Elorz, M.; Benito-Boillos, A.; Herrero, J.I.; Tur, J.A.; Martínez, J.A.; et al. Predictive Value of Serum Ferritin in Combination with Alanine Aminotransferase and Glucose Levels for Noninvasive Assessment of NAFLD: Fatty Liver in Obesity (FLiO) Study. Diagnostics 2020, 10, 917. [Google Scholar] [CrossRef] [PubMed]
- Recaredo, G.; Marin-Alejandre, B.A.; Cantero, I.; Monreal, J.I.; Herrero, J.I.; Benito-Boillos, A.; Elorz, M.; Tur, J.A.; Martínez, J.A.; Zulet, M.A.; et al. Association between Different Animal Protein Sources and Liver Status in Obese Subjects with Non-Alcoholic Fatty Liver Disease: Fatty Liver in Obesity (FLiO) Study. Nutrients 2019, 11, 2359. [Google Scholar] [CrossRef]
- Martínez-González, M.A.; Buil-Cosiales, P.; Corella, D.; Bulló, M.; Fitó, M.; Vioque, J.; Romaguera, D.; Alfredo Martínez, J.; Wärnberg, J.; López-Miranda, J.; et al. Cohort Profile: Design and Methods of the PREDIMED-Plus Randomized Trial. Int. J. Epidemiol. 2019, 48, 387–388. [Google Scholar] [CrossRef]
- Galmes-Panades, A.M.; Konieczna, J.; Abete, I.; Colom, A.; Rosique-Esteban, N.; Zulet, M.A.; Vázquez, Z.; Estruch, R.; Vidal, J.; Toledo, E.; et al. Lifestyle Factors and Visceral Adipose Tissue: Results from the PREDIMED-PLUS Study. PLoS ONE 2019, 14, e0210726. [Google Scholar] [CrossRef]
- Elosua, R.; Garcia, M.; Aguilar, A.; Molina, L.; Covas, M.-I.; Marrugat, J. Validation of the Minnesota Leisure Time Spanish Women. Med. Sci. Sport. Exerc. 2000, 32, 1431–1437. [Google Scholar] [CrossRef]
- Elosua, R.; Garcia, M.; Aguilar, A.; Molina, L.; Covas, M.I.; Marrugat, J. Validation of the Minnesota Leisure Time Physical Activity Questionnaire in Spanish Men. Med. Sci. Sports Exerc. 1994, 139, 1197–1209. [Google Scholar] [CrossRef]
- de la Iglesia, R.; Lopez-Legarrea, P.; Abete, I.; Bondia-Pons, I.; Navas-Carretero, S.; Forga, L.; Martinez, J.A.; Zulet, M.A. A New Dietary Strategy for Long-Term Treatment of the Metabolic Syndrome Is Compared with the American Heart Association (AHA) Guidelines: The MEtabolic Syndrome REduction in NAvarra (RESMENA) Project. Br. J. Nutr. 2014, 111, 643–652. [Google Scholar] [CrossRef]
- Navarro-González, D.; Sánchez-Íñigo, L.; Pastrana-Delgado, J.; Fernández-Montero, A.; Martinez, J.A. Triglyceride-Glucose Index (TyG Index) in Comparison with Fasting Plasma Glucose Improved Diabetes Prediction in Patients with Normal Fasting Glucose: The Vascular-Metabolic CUN Cohort. Prev. Med. 2016, 86, 99–105. [Google Scholar] [CrossRef]
- Marin-Alejandre, B.A.; Abete, I.; Cantero, I.; Riezu-Boj, J.I.; Milagro, F.I.; Monreal, J.I.; Elorz, M.; Herrero, J.I.; Benito-Boillos, A.; Quiroga, J.; et al. Association between Sleep Disturbances and Liver Status in Obese Subjects with Nonalcoholic Fatty Liver Disease: A Comparison with Healthy Controls. Nutrients 2019, 11, 322. [Google Scholar] [CrossRef]
- Lee, S.S.; Park, S.H. Radiologic Evaluation of Nonalcoholic Fatty Liver Disease. World J. Gastroenterol. 2014, 20, 7392–7402. [Google Scholar] [CrossRef]
- Bril, F.; Millán, L.; Kalavalapalli, S.; McPhaul, M.J.; Caulfield, M.P.; Martinez-Arranz, I.; Alonso, C.; Ortiz Betes, P.; Mato, J.M.; Cusi, K. Use of a Metabolomic Approach to Non-Invasively Diagnose Non-Alcoholic Fatty Liver Disease in Patients with Type 2 Diabetes Mellitus. Diabetes, Obes. Metab. 2018, 20, 1702–1709. [Google Scholar] [CrossRef]
- Ramos-Lopez, O.; Milagro, F.I.; Allayee, H.; Chmurzynska, A.; Choi, M.S.; Curi, R.; De Caterina, R.; Ferguson, L.R.; Goni, L.; Kang, J.X.; et al. Guide for Current Nutrigenetic, Nutrigenomic, and Nutriepigenetic Approaches for Precision Nutrition Involving the Prevention and Management of Chronic Diseases Associated with Obesity. J. Nutrigenet. Nutr. 2017, 10, 43–62. [Google Scholar] [CrossRef]
- Heianza, Y.; Ma, W.; Huang, T.; Wang, T.; Zheng, Y.; Smith, S.R.; Bray, G.A.; Sacks, F.M.; Qi, L. Macronutrient Intake-Associated FGF21 Genotype Modifies Effects of Weight-Loss Diets on 2-Year Changes of Central Adiposity and Body Composition: The POUNDS Lost Trial. Diabetes Care 2016, 39, 1909–1914. [Google Scholar] [CrossRef] [PubMed]
- Goni, L.; Cuervo, M.; Milagro, F.I.; Martínez, J.A. Gene-Gene Interplay and Gene-Diet Interactions Involving the MTNR1B Rs10830963 Variant with Body Weight Loss. J. Nutrigenet. Nutrigenom. 2015, 7, 232–242. [Google Scholar] [CrossRef]
- Guo, F.; Zhou, Y.; Song, H.; Zhao, J.; Shen, H.; Zhao, B.; Liu, F.; Jiang, X. Next Generation Sequencing of SNPs Using the HID-Ion AmpliSeqTM Identity Panel on the Ion Torrent PGMTM Platform. Forensic Sci. Int. Genet. 2016, 25, 73–84. [Google Scholar] [CrossRef]
- Ramos-Lopez, O.; Riezu-Boj, J.I.; Milagro, F.I.; Cuervo, M.; Goni, L.; Martinez, J.A. Prediction of Blood Lipid Phenotypes Using Obesity-Related Genetic Polymorphisms and Lifestyle Data in Subjects with Excessive Body Weight. Int. J. Genom. 2018, 2018. [Google Scholar] [CrossRef] [PubMed]
- Ramos-Lopez, O.; Riezu-Boj, J.I.; Milagro, F.I.; Cuervo, M.; Goni, L.; Alfredo Martinez, J. Models Integrating Genetic and Lifestyle Interactions on Two Adiposity Phenotypes for Personalized Prescription of Energy-Restricted Diets with Different Macronutrient Distribution. Front. Genet. 2019, 10, 686. [Google Scholar] [CrossRef] [PubMed]
- Cuevas-Sierra, A.; Riezu-Boj, J.I.; Guruceaga, E.; Milagro, F.I.; Martínez, J.A. Sex-Specific Associations between Gut Prevotellaceae and Host Genetics on Adiposity. Microorganisms 2020, 8, 938. [Google Scholar] [CrossRef] [PubMed]
- Younossi, Z.; Anstee, Q.M.; Marietti, M.; Hardy, T.; Henry, L.; Eslam, M.; George, J.; Bugianesi, E. Global Burden of NAFLD and NASH: Trends, Predictions, Risk Factors and Prevention. Nat. Rev. Gastroenterol. Hepatol. 2018, 15, 11–20. [Google Scholar] [CrossRef]
- Bessone, F.; Razori, M.V.; Roma, M.G. Molecular Pathways of Nonalcoholic Fatty Liver Disease Development and Progression. Cell. Mol. Life Sci. 2019, 76, 99–128. [Google Scholar] [CrossRef] [PubMed]
- Rui, L. SH2B1 Regulation of Energy Balance, Body Weight, and Glucose Metabolism. World J. Diabetes 2014, 5, 511. [Google Scholar] [CrossRef] [PubMed]
- Anstee, Q.M.; Darlay, R.; Cockell, S.; Meroni, M.; Govaere, O.; Tiniakos, D.; Burt, A.D.; Bedossa, P.; Palmer, J.; Liu, Y.L.; et al. Genome-Wide Association Study of Non-Alcoholic Fatty Liver and Steatohepatitis in a Histologically Characterised Cohort. J. Hepatol. 2020, 73, 505–515. [Google Scholar] [CrossRef]
- Younossi, Z.; Tacke, F.; Arrese, M.; Chander Sharma, B.; Mostafa, I.; Bugianesi, E.; Wai-Sun Wong, V.; Yilmaz, Y.; George, J.; Fan, J.; et al. Global Perspectives on Nonalcoholic Fatty Liver Disease and Nonalcoholic Steatohepatitis. In Hepatology; John Wiley and Sons Inc.: Hoboken, NJ, USA, 1 June 2019; pp. 2672–2682. [Google Scholar] [CrossRef]
- Kabisch, S.; Bäther, S.; Dambeck, U.; Kemper, M.; Gerbracht, C.; Honsek, C.; Sachno, A.; Pfeiffer, A.F.H. Liver Fat Scores Moderately Reflect Interventional Changes in Liver Fat Content by a Low-Fat Diet but Not by a Low-Carb Diet. Nutrients 2018, 10, 157. [Google Scholar] [CrossRef]
- Li, C.; Guo, P.; Zhang, R.; Zhang, M.; Li, Y.; Huang, M.; Ji, X.; Jiang, Y.; Wang, C.; Li, R.; et al. Both WHR and FLI as Better Algorithms for Both Lean and Overweight/Obese NAFLD in a Chinese Population. J. Clin. Gastroenterol. 2019, 53, E253–E260. [Google Scholar] [CrossRef]
- Karlas, T.; Petroff, D.; Garnov, N.; Böhm, S.; Tenckhoff, H.; Wittekind, C.; Wiese, M.; Schiefke, I.; Linder, N.; Schaudinn, A.; et al. Non-Invasive Assessment of Hepatic Steatosis in Patients with NAFLD Using Controlled Attenuation Parameter and 1H-MR Spectroscopy. PLoS ONE 2014, 9. [Google Scholar] [CrossRef]
- Mayo, R.; Crespo, J.; Martínez-Arranz, I.; Banales, J.M.; Arias, M.; Mincholé, I.; Aller de la Fuente, R.; Jimenez-Agüero, R.; Alonso, C.; de Luis, D.A.; et al. Metabolomic-based Noninvasive Serum Test to Diagnose Nonalcoholic Steatohepatitis: Results from Discovery and Validation Cohorts. Hepatol. Commun. 2018, 2, 807–820. [Google Scholar] [CrossRef]
- Matsuo, T.; Nakata, Y.; Katayama, Y.; Iemitsu, M.; Maeda, S.; Okura, T.; Kim, M.K.; Ohkubo, H.; Hotta, K.; Tanaka, K. PPARG Genotype Accounts for Part of Individual Variation in Body Weight Reduction in Response to Calorie Restriction. Obesity 2009, 17, 1924–1931. [Google Scholar] [CrossRef]
- Sanghera, D.K.; Bejar, C.; Sharma, S.; Gupta, R.; Blackett, P.R. Obesity Genetics and Cardiometabolic Health: Potential for Risk Prediction. Diabetes, Obes. Metab. 2019, 21, 1088–1100. [Google Scholar] [CrossRef]
- Locke, A.E.; Kahali, B.; Berndt, S.I.; Justice, A.E.; Pers, T.H.; Day, F.R.; Powell, C.; Vedantam, S.; Buchkovich, M.L.; Yang, J.; et al. Genetic Studies of Body Mass Index Yield New Insights for Obesity Biology. Nature 2015, 518, 197–206. [Google Scholar] [CrossRef]
- Celis-Morales, C.A.; Lyall, D.M.; Gray, S.R.; Steell, L.; Anderson, J.; Iliodromiti, S.; Welsh, P.; Guo, Y.; Petermann, F.; Mackay, D.F.; et al. Dietary Fat and Total Energy Intake Modifies the Association of Genetic Profile Risk Score on Obesity: Evidence from 48170 UK Biobank Participants. Int. J. Obes. 2017, 41, 1761–1768. [Google Scholar] [CrossRef] [PubMed]
- Moonesinghe, R.; Liu, T.; Khoury, M.J. Evaluation of the Discriminative Accuracy of Genomic Profiling in the Prediction of Common Complex Diseases. Eur. J. Hum. Genet. 2010, 18, 485–489. [Google Scholar] [CrossRef]
- Pierantonelli, I.; Svegliati-Baroni, G. Nonalcoholic Fatty Liver Disease: Basic Pathogenetic Mechanisms in the Progression from NAFLD to NASH. Transplantation 2019, 103, E1–E13. [Google Scholar] [CrossRef]
- Tucker, B.; Li, H.; Long, X.; Rye, K.A.; Ong, K.L. Fibroblast Growth Factor 21 in Non-Alcoholic Fatty Liver Disease. Metab. Clin. Exp. 2019. [Google Scholar] [CrossRef]
- Cantero, I.; Abete, I.; Monreal, J.I.; Martinez, J.A.; Zulet, M.A. Fruit Fiber Consumption Specifically Improves Liver Health Status in Obese Subjects under Energy Restriction. Nutrients 2017, 9, 667. [Google Scholar] [CrossRef]
- Bullón-Vela, V.; Abete, I.; Tur, J.A.; Pintó, X.; Corbella, E.; Martínez-González, M.A.; Toledo, E.; Corella, D.; Macías, M.; Tinahones, F.; et al. Influence of Lifestyle Factors and Staple Foods from the Mediterranean Diet on Non-Alcoholic Fatty Liver Disease among Older Individuals with Metabolic Syndrome Features. Nutrition 2020, 71, 620. [Google Scholar] [CrossRef]
- Qi, Q.; Chu, A.Y.; Kang, J.H.; Jensen, M.K.; Curhan, G.C.; Pasquale, L.R.; Ridker, P.M.; Hunter, D.J.; Willett, W.C.; Rimm, E.B.; et al. Sugar-Sweetened Beverages and Genetic Risk of Obesity. N. Engl. J. Med. 2012, 367, 1387–1396. [Google Scholar] [CrossRef]
- Rask-Andersen, M.; Karlsson, T.; Ek, W.E.; Johansson, Å. Gene-Environment Interaction Study for BMI Reveals Interactions between Genetic Factors and Physical Activity, Alcohol Consumption and Socioeconomic Status. PLoS Genet. 2017, 13, e1006977. [Google Scholar] [CrossRef]
- Mangum, B.P.; Mangum, T. Gene-Environment Interactions and the Genetic Epidemiology of Obesity: Correlates for Preventative Medicine. SSRN Electron. J. 2018, 1, 25–28. [Google Scholar] [CrossRef]
- Qi, Q.; Downer, M.K.; Kilpelainen, T.O.; Taal, H.R.; Barton, S.J.; Ntalla, I.; Standl, M.; Boraska, V.; Huikari, V.; Kiefte-De Jong, J.C.; et al. Dietary Intake, FTO Genetic Variants, and Adiposity: A Combined Analysis of over 16,000 Children and Adolescents. Diabetes 2015, 64, 2467–2476. [Google Scholar] [CrossRef]
- Bergeron, N.; Chiu, S.; Williams, P.T.; King, S.M.; Krauss, R.M. Effects of Red Meat, White Meat, and Nonmeat Protein Sources on Atherogenic Lipoprotein Measures in the Context of Low Compared with High Saturated Fat Intake: A Randomized Controlled Trial. Am. J. Clin. Nutr. 2019, 110, 24–33. [Google Scholar] [CrossRef]
- Navas-Carretero, S.; San-Cristobal, R.; Livingstone, K.M.; Celis-Morales, C.; Marsaux, C.F.; Macready, A.L.; Fallaize, R.; O’Donovan, C.B.; Forster, H.; Woolhead, C.; et al. Higher Vegetable Protein Consumption, Assessed by an Isoenergetic Macronutrient Exchange Model, Is Associated with a Lower Presence of Overweight and Obesity in the Web-Based Food4me European Study. Int. J. Food Sci. Nutr. 2019, 70, 240–253. [Google Scholar] [CrossRef] [PubMed]
- Galarregui, C.; Cantero, I.; Marin-Alejandre, B.A.; Monreal, J.I.; Elorz, M.; Benito-Boillos, A.; Herrero, J.I.; de la O, V.; Ruiz-Canela, M.; Hermsdorff, H.H.M.; et al. Dietary Intake of Specific Amino Acids and Liver Status in Subjects with Nonalcoholic Fatty Liver Disease: Fatty Liver in Obesity (FLiO) Study. Eur. J. Nutr. 2020. [Google Scholar] [CrossRef]
- Newgard, C.B. Interplay between Lipids and Branched-Chain Amino Acids in Development of Insulin Resistance. Cell Metab. 2012, 15, 606–614. [Google Scholar] [CrossRef]
- Alsulami, S.; Aji, A.S.; Ariyasra, U.; Sari, S.R.; Tasrif, N.; Yani, F.F.; Lovegrove, J.A.; Sudji, I.R.; Lipoeto, N.I.; Vimaleswaran, K.S. Interaction between the Genetic Risk Score and Dietary Protein Intake on Cardiometabolic Traits in Southeast Asian. Genes Nutr. 2020, 15. [Google Scholar] [CrossRef]
- De Chiara, F.; Checcllo, C.U.; Azcón, J.R. High Protein Diet and Metabolic Plasticity in Non-Alcoholic Fatty Liver Disease: Myths and Truths. Nutrients 2019, 11, 2985. [Google Scholar] [CrossRef] [PubMed]
- Honda, T.; Ishigami, M.; Luo, F.; Lingyun, M.; Ishizu, Y.; Kuzuya, T.; Hayashi, K.; Nakano, I.; Ishikawa, T.; Feng, G.G.; et al. Branched-Chain Amino Acids Alleviate Hepatic Steatosis and Liver Injury in Choline-Deficient High-Fat Diet Induced NASH Mice. Metabolism 2017, 69, 177–187. [Google Scholar] [CrossRef]
- Takegoshi, K.; Honda, M.; Okada, H.; Takabatake, R.; Matsuzawa-Nagata, N.; Campbell, J.S.; Nishikawa, M.; Shimakami, T.; Shirasaki, T.; Sakai, Y.; et al. Branched-Chain Amino Acids Prevent Hepatic Fibrosis and Development of Hepatocellular Carcinoma in a Non-Alcoholic Steatohepatitis Mouse Model. Oncotarget 2017, 8, 18191–18205. [Google Scholar] [CrossRef] [PubMed]
- Wray, N.R.; Lee, S.H.; Mehta, D.; Vinkhuyzen, A.A.E.; Dudbridge, F.; Middeldorp, C.M. Research Review: Polygenic Methods and Their Application to Psychiatric Traits. J. Child Psychol. Psychiatry Allied Discip. 2014, 55, 1068–1087. [Google Scholar] [CrossRef] [PubMed]


| Baseline | ||||||
|---|---|---|---|---|---|---|
| All Participants | Women | Men | ≤50 y | >50 y | 6 Months ª | |
| n | 86 | 37 | 49 | 43 | 43 | 70 |
| Body composition | ||||||
| Weight (kg) | 95.0 (13.9) | 88.1 (13.0) | 100.3 (12.3) *** | 98.5 (13.8) | 91.6 (13.3) * | 84.4 (75.1; 92.1) *** |
| BMI (kg/m2) | 32.8 (30.6; 35.8) | 32.9 (30.0; 36.2) | 32.5 (30.9; 35.8) | 33.8 (30.9; 36.6) | 32.2 (30.2; 34.6) | 28.7 (27.6; 32.6) *** |
| WC (cm) | 109.0 (9.1) | 103.8 (7.4) | 112.9 (8.3) *** | 109.2 (8.7) | 108.7 (9.6) | 99.9 (9.5) *** |
| DXA VAT (kg) | 2.3 (1.6; 3.1) | 2.2 (1.5; 3.1) | 2.3 (1.7; 3.1) | 2.3 (1.7; 3.2) | 2.3 (1.6; 3.0) | 1.5 (0.7) *** |
| Biochemical parameters | ||||||
| TG (mg/dL) | 121.0 (80.0; 155.0) | 92.0 (72.0; 133.0) | 127.0 (96.0; 170.0) ** | 126.0 (80.0; 167.0) | 113.0 (72.0; 148.0) | 83.0 (56.0; 114.0) *** |
| Glucose (mg/dL) | 101.5 (91; 108) | 97.0 (92.0; 105.0) | 103.0 (91.0; 115.0) | 97.0 (91.0; 104.0) | 104.0 (95.0; 112.0) * | 92.0 (87.0; 98.0) *** |
| Insulin (U/mL) | 16.6 (7.9) | 15.3 (7.8) | 17.7 (7.9) | 15.4 (7.1) | 17.9 (8.5) | 8.6 (6.5; 13.5) *** |
| HOMA-IR | 4.1 (2.8; 5.7) | 3.5 (2.2; 5.1) | 4.4 (3.1; 6.0) * | 3.9 (2.6; 5.1) | 4.4 (2.9; 6.5) | 1.9 (1.4; 3.3) *** |
| TyG index | 8.6 (0.5) | 8.4 (0.4) | 8.8 (0.4) *** | 8.6 (0.4) | 8.6 (0.5) | 8.2 (7.8; 8.6) *** |
| Adiponectin (μg/mL) | 6.3 (5.0; 8.3) | 6.6 (5.2; 8.3) | 5.9 (5.0; 7.5) | 5.8 (4.5; 7.9) | 6.6 (5.7; 9.7) | 8.0 (6.1; 9.9) *** |
| Leptin (ng/mL) | 29.8 (17.6; 44.8) | 46.0 (37.7; 69.3) | 20.1 (14.0; 26.4) *** | 32.1 (17.6; 46.09) | 26.4 (15.9; 39.3) * | 16.7 (7.5; 33.0) *** |
| FGF21 (pg/mL) | 211.5 (108.0; 352.0) | 190.0 (89.1; 387.0) | 215.0 (124.0; 328.0) | 182.0 (87.7; 302.0) | 244.0 (130.0; 416.0) | 187.5 (111.0; 355.0) |
| Liver injury | ||||||
| FLI | 83.1 (73.7; 92.3) | 76.0 (60.7; 83.0) | 89.6 (79.8; 94.1) *** | 84.4 (74.2; 93.3) | 79.8 (70.5; 91.7) | 51.11 (23.6) *** |
| MRI Liver fat—Dixon (%) | 5.6 (3.2; 9.6) | 4.5 (2.9; 8.7) | 6.5 (4.3; 10.1) * | 5.9 (3.5; 12.4) | 5.0 (3.0; 8.9) | 2.0 (1.3; 3.8) *** |
| Lipidomic (OWLiver®-test) n (%) | ||||||
| No NAFLD | 17 (20.0) | 7 (18.9) | 10 (20.8) | 7 (16.2) | 10 (23.8) | 23 (32.8) |
| Hepatic Steatosis | 20 (23.5) | 10 (27.0) | 10 (20.8) | 7 (16.2) | 13 (30.9) | 21 (30.0) * |
| NASH | 48 (56.4) | 20 (54.0) | 28 (58.3) | 29 (67.4) | 19 (45.2) | 26 (37.1) |
| Dietary intake per day | ||||||
| Total energy (kcal/day) | 2550 (1958; 2925) | 2548 (2031; 3133) | 2554 (1897; 2902) | 2551 (2042; 3066) | 2464 (1833; 2864) | 2004 (576) *** |
| Carbohydrates (%E) | 42.8 (37.6; 47.8) | 43.0 (35.9; 48.4) | 42.5 (39.2; 47.5) | 40.8 (36.2; 46.8) | 43.0 (39.9; 48.0) | 42.3 (7.7) |
| Proteins (%E) | 16.8 (15.1; 19.1) | 16.9 (15.2; 20.9) | 16.7 (15.1; 19.0) | 16.7 (15.3; 18.8) | 16.9 (14.6; 19.3) | 19.4 (17.1; 22.8) *** |
| Fats (%E) | 37.4 (6.8) | 38.1 (7.5) | 36.8 (6.2) | 38.3 (6.8) | 36.5 (6.7) | 35.4 (7.8) |
| Lifestyle factors | ||||||
| MedDiet Score | 5.9 (1.9) | 5.9 (2.3) | 5.9 (1.6) | 5.4 (1.7) | 6.4 (2.0) * | 12.0 (10.0; 14.0) *** |
| PA (METs-min/week) | 2240 (1665; 4307) | 2240 (1710; 4307) | 2280 (1100; 4365) | 2322 (1705; 4365) | 2216 (1392; 4200) | 3720 (2442; 5115) *** |
| GRSFLI | GRSOWL | GRSMRI | ||||
|---|---|---|---|---|---|---|
| <9 | ≥9 | <10 | ≥10 | <4 | ≥4 | |
| n | 30 | 40 | 29 | 41 | 31 | 39 |
| Body composition | ||||||
| Mean | 6.0 (1.6) | 9.6 (3.9) | 7.0 (1.5) | 11.7 (1.4) | 2.0 (0.8) | 4.9 (1.0) |
| ΔWeight (kg) | −10.6 (−15.8; −6.9) | −8.4 (−10.7; −5.0) * | −9.5 (−12.4; −6.4) | −8.6 (−12; −6.4) | −9.6 (−16.9; −8.2) | −7.6 (−11.2; −4.9) * |
| ΔBMI (kg/m2) | −3.6 (−5.1; −2.4) | −2.9 (−3.7; −1.6) * | −3.3 (−4.7; −2.2) | −3.2 (−4.1; −2.2) | −3.5 (−5.6; −2.9) | −2.8 (−3.8; −1.6) * |
| ΔWC (cm) | −11.7 (6.5) | −7.6 (5.6) ** | −9.1 (6.4) | −9.5 (6.3) | −11.0 (5.2) | −8.0 (6.8) * |
| ΔDXA VAT (kg) | −0.8 (−1.2; −0.4) | −0.9 (−1.5; −0.4) | −1.0 (−1.5; −0.4) | −0.8 (−1.5; −3.2) | −1.0 (−1.5; −0.6) | −0.7 (−1.67; −0.2) |
| Biochemical parameters | ||||||
| ΔTG (mg/dL) | −42.0 (−100.0; −18.0) | −15.0 (−56.0; 4.0) * | −32.0 (−68; 0) | −22.5 (−58.5; −0.5) | −46.0 (−102.0; −5.0) | −18.0 (−45.0; 1.0) * |
| ΔGlucose (mg/dL) | −8.6 (11.0) | −10.2 (12.4) | −9.8 (13.6) | −9.3 (10.4) | −9.2 (11.0) | −9.8 (12.5) |
| ΔInsulin (U/mL) | −7.4 (7.1) | −4.9 (8.0) | −6.2 (8.7) | −5.9 (7.0) | −6.7 (7.4) | −5.4 (8.0) |
| ΔHOMA-IR | −2.0 (−3.2; −0.2) | −1.6 (−3.3; −0.2) | −1.9 (−3.2; −0.2) | −1.8 (−3.2; −0.6) | −2.3 (−3.2; −1.0) | −1.5 (−3.2; −0.1) |
| ΔTyG index | −0.6 (0.4) | −0.2 (0.4) ** | −0.4 (0.3) | −0.4 (0.5) | −0.5 (0.5) | −0.3 (0.3) |
| ΔAdiponectin (μg/mL) | 1.5 (0.1; 4.7) | 1.2 (−0.9; 3.2) | −0.1 (−0.6; 2.2) | 1.8 (0.1; 3.4) | 1.0 (−0.6; 3.4) | 1.3 (−0.2; 4.1) |
| ΔLeptin (ng/mL) | −11.1 (−21.6; −7.2) | −7.5 (−14.5; −2.9) * | −9.5 (−15.8; −7.0) | −7.5 (−20.0; −3.0) | −9.1 (−15.8; −6.7) | −9.1 (−20.0; −3.0) |
| ΔFGF21 (pg/mL) | −9.1 (−123.0; 80.0) | −40.5 (−146.5; 95.5) | −41.7 (−132; 50) | −0.8 (−123; 88) | −55.4 (−217; 45) | 12.0 (−64.2; 97) * |
| ΔFLI (%) | −54.5 (19.7) | −22.6 (17.9) *** | −33.7 (21.8) | −38.4 (26.2) | −41.1 (25.3) | −32.9 (23.5) |
| ΔMRI Liver fat—Dixon (%) | −2.7 (−6.8; −0.7) | −2.7 (−6.8; −1.2) | −4.3 (−8; −0.8) | −3.4 (−6.8; −1.2) | −4.5 (−7.8; −2.5) | −1.6 (−4.2; −0.2) *** |
| ΔLipidomic (OWLiver®-test) n (%) | ||||||
| OWL® maintenance | 19 (63.3) | 28 (71.7) | 13 (44.8) | 34 (85.0) *** | 17 (56.6) | 30 (76.9) |
| OWL® reduction | 11 (36.6) | 11 (28.2) | 16 (55.1) | 6 (15.0) | 13 (43.3) | 9 (23.0) |
| Dietary intake per day | ||||||
| ΔTotal energy (kcal) | −882 (−1261; −88) | −523 (−1099; −101) | −589 (−987; −132) | −603 (−1175; 44) | −881 (−1257; −308) | −479 (−1009; 66) |
| ΔCarbohydrates (%) | −1.3 (10.0) | −0.7 (8.7) | −1.9 (8.2) | −0.3 (9.9) | −2.0 (9.4) | −0.3 (9.1) |
| ΔProteins (%) | 3.6 (4.3) | 1.9 (5.7) | 2.5 (3.5) | 2.7 (6.1) | 2.9 (6.0) | 2.4 (4.6) |
| ΔFats (%) | −0.7 (−6.2; 4.5) | −2.1 (−9.1; 5.1) | −0.2 (−5.2; 5.2) | −1.8 (−10.1; 4.8) | −2.6 (−8.3; 4.1) | −1.4 (−9.8; 5.8) |
| Lifestyle factors | ||||||
| ΔMedDiet Score | 6.3 (3.1) | 5.7 (3.4) | 5.7 (3.2) | 6.1 (3.4) | 6.5 (3.3) | 5.5 (3.3) |
| ΔPA (METs min/week) | 758 (−217; 2405) | 1215 (−120; 2798) | 896 (73; 2798) | 1111 (−753; 2405) | 984 (−65; 2357) | 1046 (−557; 2817) |
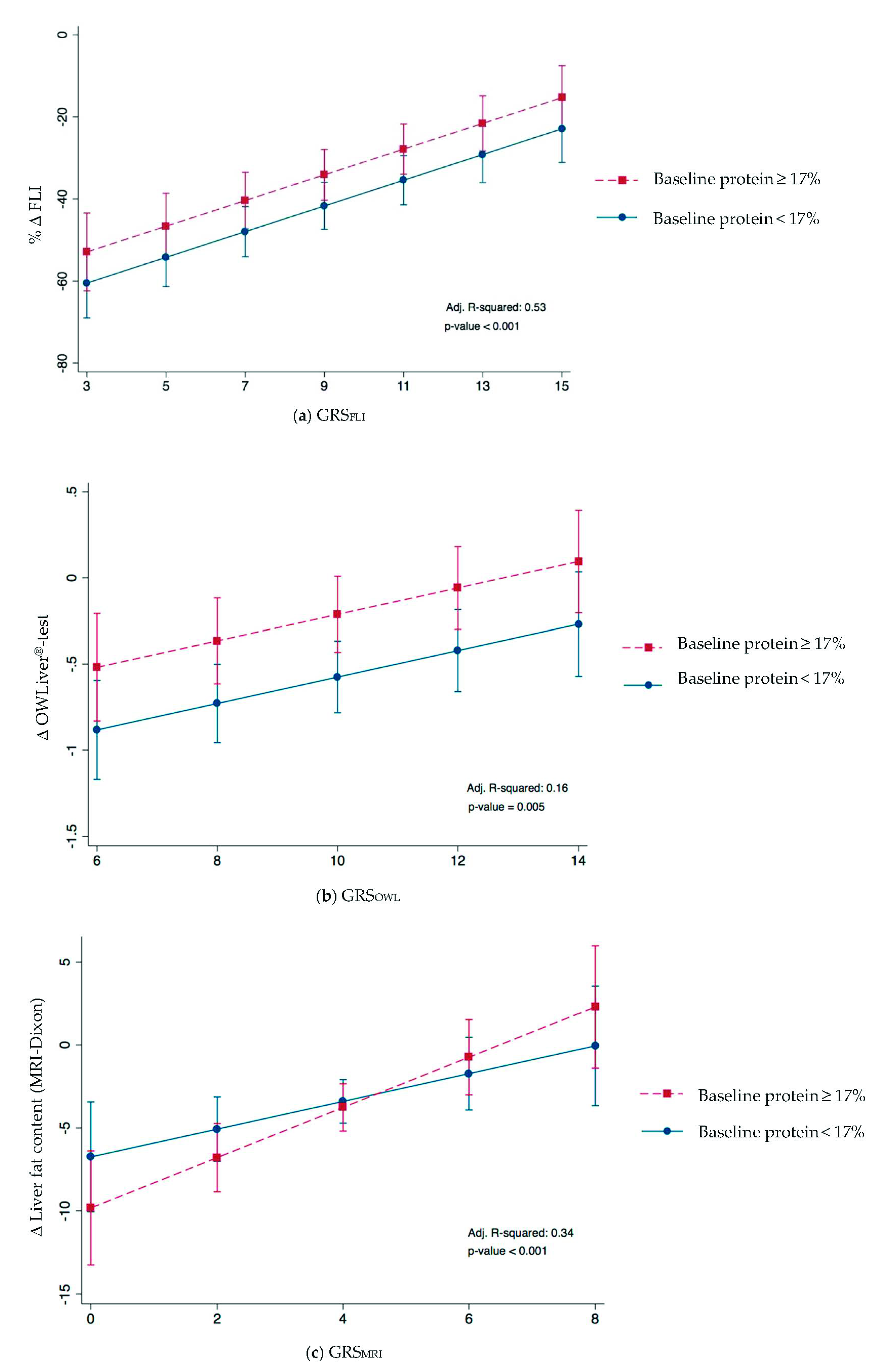
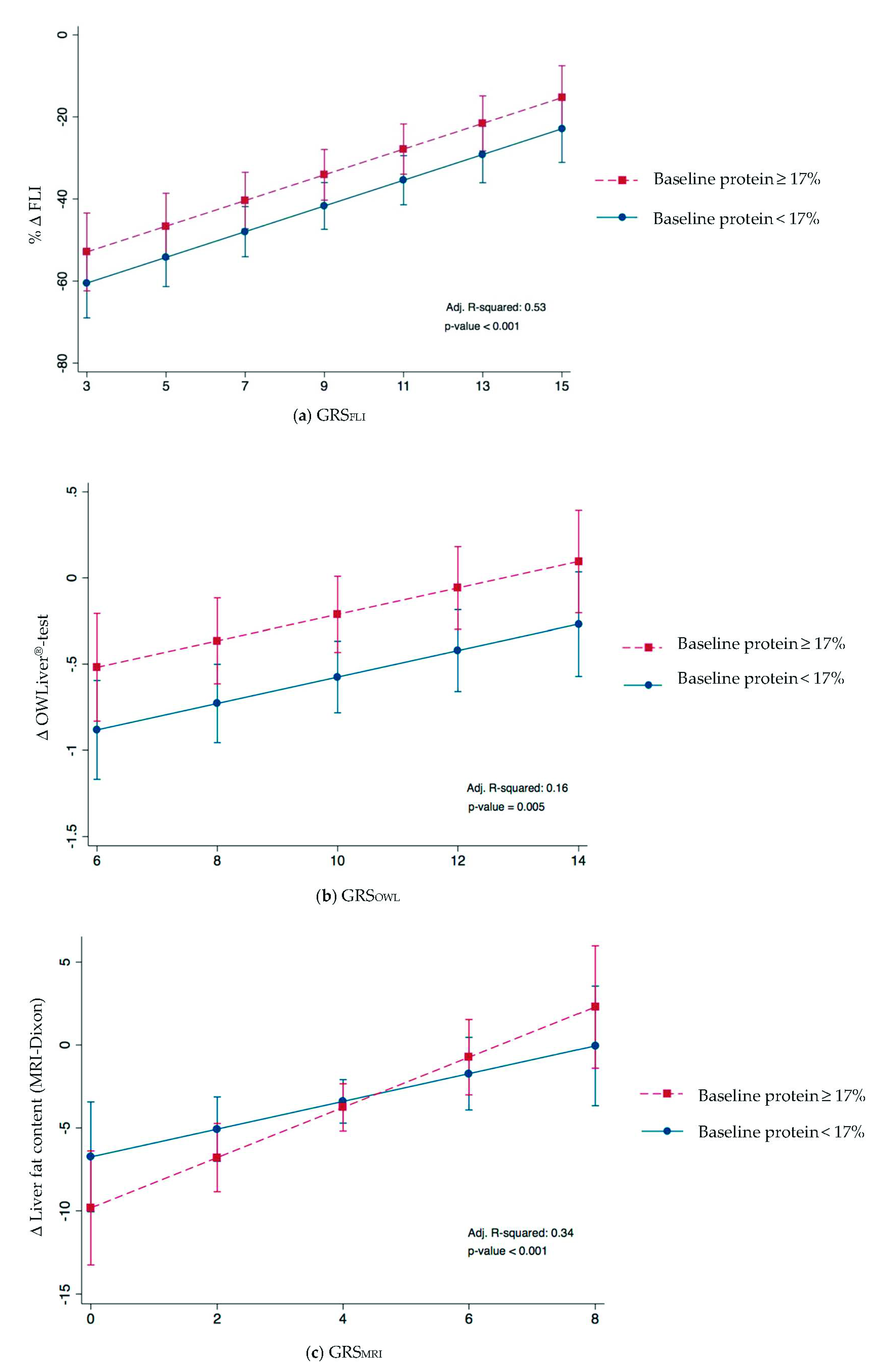
| β | p-Value | Adjusted R2 | p-Model | ||
|---|---|---|---|---|---|
| % Change in Fatty Liver Index (FLI) | |||||
| Model 1 | GRSFLI | 3.75 | <0.001 | 0.37 | <0.001 |
| Model 2 | GRSFLI | 3.37 | <0.001 | 0.39 | <0.001 |
| Baseline protein | 1.27 | 0.044 | |||
| Model 3 | GRSFLI | 3.03 | <0.001 | 0.45 | <0.001 |
| Baseline protein | 1.55 | 0.011 | |||
| Baseline insulin | 0.80 | 0.005 | |||
| Model 4 | GRSFLI | 3.10 | <0.001 | 0.53 | <0.001 |
| Baseline protein | 1.49 | 0.009 | |||
| Baseline insulin | 0.76 | 0.005 | |||
| Change MedDiet Score | −1.99 | 0.002 | |||
| Change in OWLiver®-test | |||||
| Model 5 | GRSOWL | 0.08 | 0.001 | 0.12 | 0.009 |
| Model 6 | GRSOWL | 0.07 | 0.011 | 0.16 | 0.005 |
| Baseline protein | 0.04 | 0.022 | |||
| Change in liver fat content (MRI) | |||||
| Model 7 | GRSMRI | 1.13 | <0.001 | 0.23 | <0.001 |
| Model 8 | GRSMRI | 1.28 | <0.001 | 0.24 | <0.001 |
| Baseline protein | 0.04 | 0.741 | |||
| Model 9 | GRSMRI | 1.17 | <0.001 | 0.28 | <0.001 |
| Baseline protein | 0.09 | 0.448 | |||
| Baseline FGF21 | −0.004 | 0.051 | |||
| Model 10 | GRSMRI#baselineprotein | 0.180 | 0.017 | 0.34 | <0.001 |
| Baseline FGF21 | −0.004 | 0.040 |
Publisher’s Note: MDPI stays neutral with regard to jurisdictional claims in published maps and institutional affiliations. |
© 2021 by the authors. Licensee MDPI, Basel, Switzerland. This article is an open access article distributed under the terms and conditions of the Creative Commons Attribution (CC BY) license (https://creativecommons.org/licenses/by/4.0/).
Share and Cite
Perez-Diaz-del-Campo, N.; Riezu-Boj, J.I.; Marin-Alejandre, B.A.; Monreal, J.I.; Elorz, M.; Herrero, J.I.; Benito-Boillos, A.; Milagro, F.I.; Tur, J.A.; Abete, I.; et al. Three Different Genetic Risk Scores Based on Fatty Liver Index, Magnetic Resonance Imaging and Lipidomic for a Nutrigenetic Personalized Management of NAFLD: The Fatty Liver in Obesity Study. Diagnostics 2021, 11, 1083. https://doi.org/10.3390/diagnostics11061083
Perez-Diaz-del-Campo N, Riezu-Boj JI, Marin-Alejandre BA, Monreal JI, Elorz M, Herrero JI, Benito-Boillos A, Milagro FI, Tur JA, Abete I, et al. Three Different Genetic Risk Scores Based on Fatty Liver Index, Magnetic Resonance Imaging and Lipidomic for a Nutrigenetic Personalized Management of NAFLD: The Fatty Liver in Obesity Study. Diagnostics. 2021; 11(6):1083. https://doi.org/10.3390/diagnostics11061083
Chicago/Turabian StylePerez-Diaz-del-Campo, Nuria, Jose I. Riezu-Boj, Bertha Araceli Marin-Alejandre, J. Ignacio Monreal, Mariana Elorz, José Ignacio Herrero, Alberto Benito-Boillos, Fermín I. Milagro, Josep A. Tur, Itziar Abete, and et al. 2021. "Three Different Genetic Risk Scores Based on Fatty Liver Index, Magnetic Resonance Imaging and Lipidomic for a Nutrigenetic Personalized Management of NAFLD: The Fatty Liver in Obesity Study" Diagnostics 11, no. 6: 1083. https://doi.org/10.3390/diagnostics11061083
APA StylePerez-Diaz-del-Campo, N., Riezu-Boj, J. I., Marin-Alejandre, B. A., Monreal, J. I., Elorz, M., Herrero, J. I., Benito-Boillos, A., Milagro, F. I., Tur, J. A., Abete, I., Zulet, M. A., & Martinez, J. A. (2021). Three Different Genetic Risk Scores Based on Fatty Liver Index, Magnetic Resonance Imaging and Lipidomic for a Nutrigenetic Personalized Management of NAFLD: The Fatty Liver in Obesity Study. Diagnostics, 11(6), 1083. https://doi.org/10.3390/diagnostics11061083

