Concordance between Pressure Platform and Pedigraph
Abstract
:1. Introduction
2. Materials and Methods
2.1. Participants
2.2. Design and Scope of the Study
2.3. Inclusion and Exclusion Criteria of the Studied Sample
2.4. Variables Studied and Procedure
- Chippaus–Smirak index. It was evaluated by dividing a line that joins the narrowest area of the isthmus and a parallel line in the widest area of the forefoot. This result is multiplied by 100, since this index is expressed as %. The normal range is 35 ± 10%, values greater than 45% will be cavus feet and less than 25% will be flat feet.
- Staheli index. It was obtained by dividing the narrowest part of the isthmus by the value of one parallel at the widest part of the heel. The values described to assess it are given because they are the normal range of 0.6 to 0.69, values greater than 0.69 will be pes cavus and less than 0.6 will be flat feet.
2.5. Ethical-Legal Aspects
2.6. Statistic Analysis
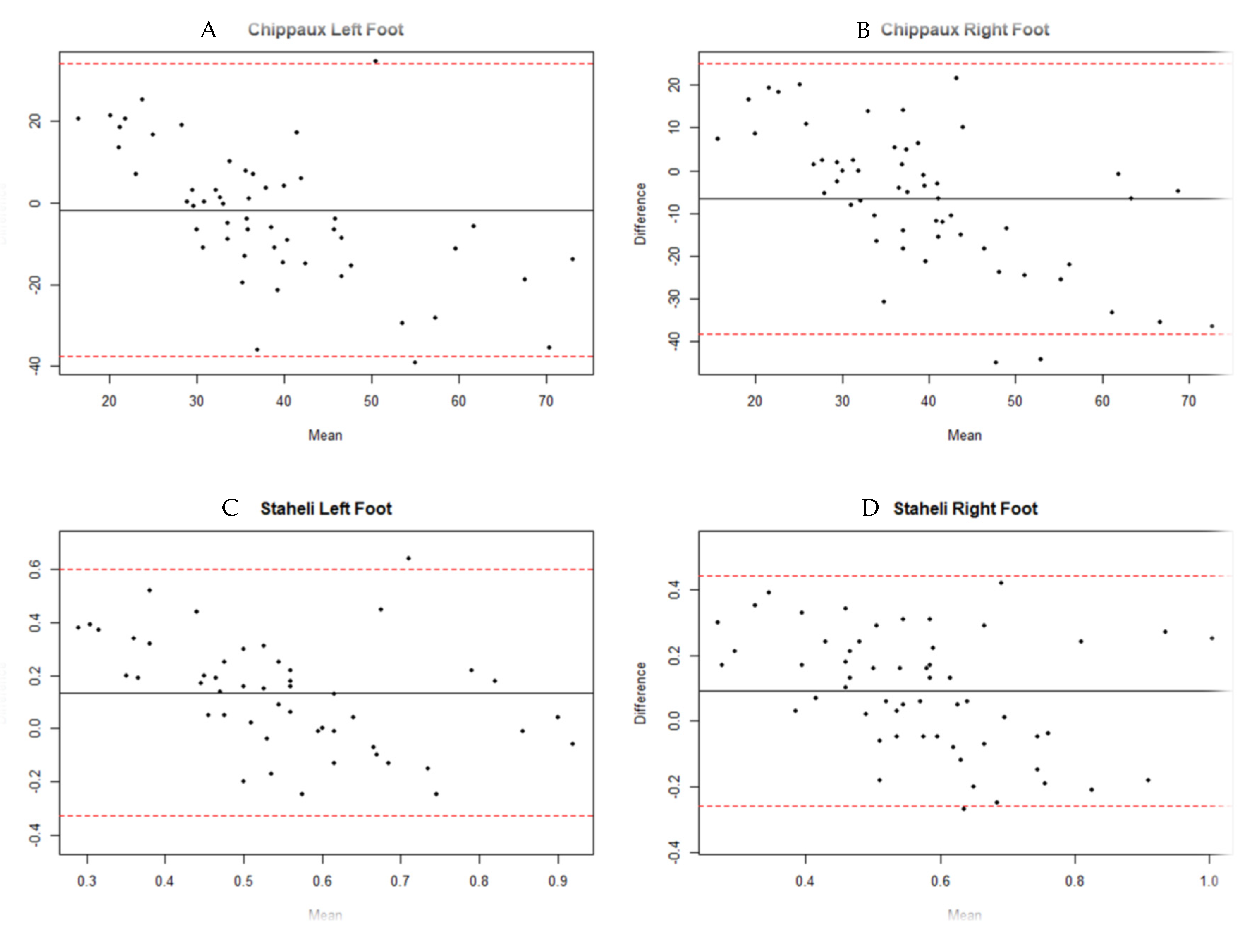
3. Results
4. Discussion
4.1. Reliability and Accuracy
4.2. Limitations
5. Conclusions
- The normal footprint was the most prevalent footprint according to the Chippaux index, while the dug footprint was the most prevalent according to the Staheli index.
- The frequency of the normal footprint according to the Chippaux index classification was higher in the measurements provided by the pedigrapher compared to those provided by the platform.
- The Staheli index detected a higher percentage of cavus footprint through the platform.
- A positive linear correlation was observed between pedigrapher and platform in relation to the measurements taken to classify the foot according to the type of footprint.
- A poor agreement was observed between the two measuring instruments, especially in relation to the assessment of the width and length of the foot.
- The poor agreement is due to the fact that the pressure platform provides more exhaustive, detailed and accurate information on foot loading than the pedigraph.
Author Contributions
Funding
Institutional Review Board Statement
Informed Consent Statement
Data Availability Statement
Conflicts of Interest
References
- Menz, H.B.; Munteanu, S.E. Validity of 3 Clinical Techniques for the Measurement of Static Foot Posture in Older People. J. Orthop. Sports Phys. Ther. 2005, 35, 479–486. [Google Scholar] [CrossRef] [PubMed] [Green Version]
- Viladot, A. Quince Lecciones Sobre Patología del Pie, 2nd ed.; Springer: Barcelona, Spain, 2000. [Google Scholar]
- Gonzalez-Martin, C.; Pertega-Diaz, S.; Seoane-Pillado, T.; Balboa-Barreiro, V.; Soto-Gonzalez, A.; Veiga-Seijo, R. Structural, Dermal and Ungual Characteristics of the Foot in Patients with Type II Diabetes. Medicina 2019, 55, 639. [Google Scholar] [CrossRef] [PubMed] [Green Version]
- López, J.L.; Meana, M.; Vera, F.J.; García, J.A. Respuestas, adaptaciones y simetría de la huella plantar producidas por la práctica de la marcha atlética. CCD 2006, 3, 21–26. [Google Scholar] [CrossRef] [Green Version]
- González Jurado, J.A.; Pérez Amate, M.M.; Floría Martín, P. Diferencias en Parámetros Cinemáticos del Golpeo en Fútbol Entre hombres y Mujeres. Rev. Int. Med. Cienc. Act. Fis. Deporte 2012, 33, 431–443. [Google Scholar]
- Puszczałowska-Lizis, E.; Nowak, K.; Omorczyk, J.; Ambroży, T.; Bujas, P.; Nosiadek, L. Foot Structure in Boys with Down Syndrome. BioMed Res. Int. 2017, 2017, 7047468. [Google Scholar] [CrossRef] [PubMed] [Green Version]
- Shiang, T.-Y.; Lee, S.-H.; Lee, S.-J.; Chu, W.C. Evaluating different footprints parameters as a predictor of arch height. IEEE Eng. Med. Boil. Mag. 1998, 17, 62–66. [Google Scholar] [CrossRef] [PubMed]
- Diéguez, L.; Sánchez, L.; Martínez-López, E.J. Análisis de los diferentes métodos de evaluación de la huella plantar. Retos Nuevas Tend. Educ. Física Deportes Recreación 2011, 19, 49–53. [Google Scholar]
- Pita-Fernández, S.; González-Martín, C.; Seoane-Pillado, T.; López-Calviño, B.; Pértega-Díaz, S.; Gil-Guillén, V.F. Validity of Footprint Analysis to Determine Flatfoot Using Clinical Diagnosis as the Gold Standard in a Random Sample Aged 40 Years and Older. J. Epidemiol. 2015, 25, 148–154. [Google Scholar] [CrossRef] [PubMed] [Green Version]
- Ramírez, C.S. Análisis de dos métodos de evaluación de la huella plantar: Índice de Hernández Corvo vs. Arch Index de Cavanagh y Rodgers. Fisioterapia 2017, 39, 209–215. [Google Scholar] [CrossRef]
- González-Martín, C.; Balboa-Barreiro, V.; Veiga-Seijo, R.; Seoane-Pillado, T.; Lema-Verdía, L.; Couceiro-Sanchez, E. Discordance of the Evaluation of the Plantar Footprint in Kidney Transplant. J. Am. Podiatr. Med Assoc. 2021, 111, Article_6. [Google Scholar] [CrossRef] [PubMed]
- Moreno de la Fuente, J.L.; Catena Toledano, M.; Serrano González, M. Podología General y Biomecánica; Masson: Barcelona, Spain, 2003. [Google Scholar]
- Razeghi, M.; Batt, M.E. Foot type classification: A critical review of current methods. Gait Posture 2002, 15, 282–291. [Google Scholar] [CrossRef]
- Shrout, P.E.; Fleiss, J.L. Intraclass correlations: Uses in assessing rater reliability. Psychol. Bull. 1979, 86, 420–428. [Google Scholar] [CrossRef] [PubMed]
- Portney, L.G.; Watkins, M.P. Foundations of Clinical Research: Applications to Practice, 2nd ed.; Prentice Hall Health: Highland Park, NJ, USA, 2000. [Google Scholar]
- Fascione, J.M.; Crews, R.; Wrobel, J.S. Association of Footprint Measurements with Plantar Kinetics. J. Am. Podiatr. Med Assoc. 2014, 104, 125–133. [Google Scholar] [CrossRef] [PubMed]
- Queen, R.M.; Mall, N.A.; Hardaker, W.M.; Nunley, J.A. Describing the Medial Longitudinal Arch Using Footprint Indices and a Clinical Grading System. Foot Ankle Int. 2007, 28, 456–462. [Google Scholar] [CrossRef] [PubMed]
- Diéguez Varela, A. Clasificación de la Morfología del Arco Longitudinal Interno Mediante Análisis de la Huella Plantar: Concordancia Entre Métodos de Medición; TFG, Universidade da Coruña: A Coruña, Spain, 2018. [Google Scholar]
- Zuil-Escobar, J.C.; Martínez-Cepa, C.B.; Martín-Urrialde, J.A.; Gómez-Conesa, A. Medial Longitudinal Arch: Accuracy, Reliability, and Correlation Between Navicular Drop Test and Footprint Parameters. J. Manip. Physiol. Ther. 2018, 41, 672–679. [Google Scholar] [CrossRef] [PubMed]
- Gonzalez-Martin, C.; Pita-Fernandez, S.; Seoane-Pillado, T.; Lopez-Calviño, B.; Pertega-Diaz, S.; Gil-Guillen, V. Variability between Clarke’s angle and Chippaux-Smirak index for the diagnosis of flat feet. Colomb. Med. 2017, 48, 25–31. [Google Scholar] [CrossRef]
- Zuil-Escobar, J.C.; Martínez-Cepa, C.B.; Martín-Urrialde, J.A.; Gómez-Conesa, A. Reliability and Accuracy of Static Parameters Obtained from Ink and Pressure Platform Footprints. J. Manip. Physiol. Ther. 2016, 39, 510–517. [Google Scholar] [CrossRef] [PubMed]
- Urry, S.R.; Wearing, S.C. Arch indexes from ink footprints and pressure platforms are different. Foot 2005, 15, 68–73. [Google Scholar] [CrossRef]
- Fascione, J.M.; Crews, R.T.; Wrobel, J.S. Dynamic Footprint Measurement Collection Technique and Intrarater Reliability. J. Am. Podiatr. Med Assoc. 2012, 102, 130–138. [Google Scholar] [CrossRef] [PubMed]
- Giacomozzi, C.; Macellari, V.; Leardini, A.; Benedetti, M.G. Integrated pressure-force-kinematics measuring system for the characterisation of plantar foot loading during locomotion. Med. Biol. Eng. Comput. 2000, 38, 156–163. [Google Scholar] [CrossRef] [PubMed]





| n | % | Mean | Median | SD | Min | Max | Q1 | Q3 | |
|---|---|---|---|---|---|---|---|---|---|
| Gender | |||||||||
| Female | 40 | 61.54 | |||||||
| Male | 25 | 38.46 | |||||||
| Age (years) | 65 | 37.42 | 31 | 15.05 | 14 | 76 | 26 | 49 | |
| Height (cm) | 65 | 164.68 | 165 | 11.28 | 118 | 193 | 160 | 172 | |
| Weight (kg) | 65 | 72.06 | 69 | 18.56 | 41 | 130 | 55 | 85 | |
| BMI (kg/m2) | |||||||||
| Normal (BMI < 25) | 33 | 50.77 | |||||||
| Overweight/Obese (BMI ≥ 25) | 32 | 49.23 | |||||||
| Podiatric footprints measurements | |||||||||
| Pedigraph | |||||||||
| Chippaux index (LF) | 64 | 36.88 | 34.35 | 11.51 | 18.4 | 83.7 | 29.85 | 39.85 | |
| Chippaux index (RF) | 65 | 36.74 | 35 | 12.36 | 19.5 | 83.3 | 28.7 | 39.8 | |
| Staheli index (LF) | 64 | 0.61 | 0.59 | 0.16 | 0.37 | 1.34 | 0.51 | 0.66 | |
| Staheli index (RF) | 65 | 0.62 | 0.57 | 0.17 | 0.36 | 1.13 | 0.51 | 0.67 | |
| Foot width (LF) (cm) | 65 | 8.59 | 8.5 | 0.77 | 6.9 | 10.4 | 8 | 9 | |
| Foot width (RF) (cm) | 65 | 8.43 | 8.4 | 1.32 | 0.2 | 10.5 | 8 | 9.2 | |
| Foot length (LF) (cm) | 65 | 22.65 | 23 | 2.08 | 18.5 | 28 | 21.5 | 24 | |
| Foot length (RF) (cm) | 65 | 22.65 | 23 | 2 | 18.5 | 27.5 | 21.2 | 23.5 | |
| Platform pressure | |||||||||
| Chippaux index (LF) | 54 | 39.85 | 36.95 | 18.82 | 6.25 | 88 | 30 | 50 | |
| Chippaux index (RF) | 56 | 42.88 | 40.1 | 18.88 | 10.9 | 90.9 | 30.3 | 53.35 | |
| Staheli index (LF) | 54 | 0.49 | 0.46 | 0.21 | 0.1 | 0.95 | 0.36 | 0.62 | |
| Staheli index (RF) | 56 | 0.53 | 0.52 | 0.21 | 0.12 | 1 | 0.38 | 0.69 | |
| Foot width (LF) (cm) | 65 | 6 | 5 | 2.23 | 2.7 | 11.4 | 4.5 | 8.1 | |
| Foot width (RF) (cm) | 65 | 6.03 | 5 | 2.25 | 2.7 | 12 | 4.5 | 8 | |
| Foot length (LF) (cm) | 65 | 14.66 | 12 | 5.27 | 6.3 | 24.3 | 11.1 | 20.2 | |
| Foot length (RF) (cm) | 65 | 14.61 | 12 | 5.24 | 6.5 | 24 | 11.2 | 21 | |
| Forefoot load (LF) | 65 | 25.2 | 25 | 3.34 | 18 | 33 | 23 | 27 | |
| Forefoot load (RF) | 65 | 26.85 | 27 | 4.45 | 16 | 37 | 24 | 30 | |
| Retropie load (LF) | 65 | 24.58 | 24 | 4 | 18 | 34 | 22 | 27 | |
| Retropie load (RF) | 65 | 23.82 | 24 | 3.86 | 14 | 34 | 21 | 26 |
| Pearson’s Correlation Coefficient | p | n | |
|---|---|---|---|
| Chippaux Index | |||
| Total (both feet) | 0.339 | <0.001 | 109 |
| LF | 0.395 | 0.003 | 54 |
| RF | 0.445 | 0.001 | 56 |
| Staheli Index | |||
| Total (both feet) | 0.374 | <0.001 | 110 |
| LF | 0.28 | 0.04 | 54 |
| RF | 0.511 | <0.001 | 56 |
| Foot Width (cm) | |||
| Total (both feet) | 0.13 | 0.139 | 130 |
| LF | 0.162 | 0.197 | 65 |
| RF | 0.182 | 0.147 | 65 |
| Foot Length (cm) | |||
| Total (both feet) | 0.011 | 0.903 | 130 |
| LF | 0.044 | 0.73 | 65 |
| RF | 0.039 | 0.756 | 65 |
| ICC (2.1) | CI 95% | p | Classification | ||
|---|---|---|---|---|---|
| Chippaux Index | |||||
| Total (both feet) | 0.423 | 0.167 | 0.602 | 0.001 | poor |
| LF | 0.496 | 0.13 | 0.708 | 0.007 | poor |
| RF | 0.566 | 0.26 | 0.746 | <0.001 | moderate |
| Staheli Index | |||||
| Total (both feet) | 0.469 | 0.176 | 0.652 | <0.001 | poor |
| LF | 0.306 | −0.107 | 0.577 | 0.05 | poor |
| RF | 0.631 | 0.325 | 0.793 | <0.001 | moderate |
| Foot Width (cm) | |||||
| Total (both feet) | 0.097 | −0.113 | 0.288 | 0.122 | poor |
| LF | 0.081 | −0.156 | 0.312 | 0.231 | poor |
| RF | 0.115 | −0.173 | 0.369 | 0.186 | poor |
| Foot length (cm) | |||||
| Total (both feet) | 0.005 | −0.102 | 0.125 | 0.467 | poor |
| LF | 0.008 | −0.142 | 0.184 | 0.46 | poor |
| RF | 0.001 | −0.146 | 0.175 | 0.494 | poor |
| Footprint by Platform | |||||
|---|---|---|---|---|---|
| Footprint by pedigraph | |||||
| Chippaux Index | |||||
| Cavus | Normal | Flat | |||
| Total (both feet) | Cavus | 2 (50.0) | 1 (25.0) | 1 (25.0) | |
| Normal | 12 (13.3) | 49 (54.4) | 29 (32.2) | ||
| Flat | 3 (20.0) | 3 (20.0) | 9 (60.0) | ||
| Kappa index | CI 95% | ||||
| Concordance | 0.173 | 0.001 | 0.345 | poor | |
| Observed agreement | 55% | ||||
| Left foot | Cavus | Normal | Flat | ||
| Cavus | 0 | 0 | 1 (100) | ||
| Normal | 9 (20) | 25 (55.6) | 11 (24.4) | ||
| Flat | 1 (12.5) | 2 (25.0) | 5 (62.5) | ||
| Kappa index | CI 95% | ||||
| Concordance | 0.167 | −0.082 | 0.415 | poor | |
| Observed agreement | 56% | ||||
| Right foot | Cavus | Normal | Flat | ||
| Cavus | 2 (66.7) | 0 | 1 (33.3) | ||
| Normal | 5 (11.1) | 25 (55.6) | 15 (33.3) | ||
| Flat | 0 | 2 (25.0) | 6 (75.0) | ||
| Kappa index | CI 95% | ||||
| Concordance | 0.253 | 0.019 | 0.487 | poor | |
| Observed agreement | 59% | ||||
| STAHELI INDEX | |||||
| Total (both feet) | Cavus | Normal | Flat | ||
| Cavus | 51 (83.6) | 6 (9.8) | 4 (6.6) | ||
| Normal | 17 (60.7) | 3 (10.7) | 8 (28.6) | ||
| Flat | 8 (38.1) | 3 (14.3) | 10 (47.6) | ||
| Kappa index | CI 95% | ||||
| Concordance | 0.241 | 0.074 | 0.408 | poor | |
| Observed agreement | 58% | ||||
| Left foot | Cavus | Normal | Flat | ||
| Cavus | 26 (86.7) | 3 (10.0) | 1 (3.3) | ||
| Normal | 9 (56.3) | 2 (12.5) | 5 (31.3) | ||
| Flat | 3 (37.5) | 1 (12.5) | 4 (50.0) | ||
| Kappa index | CI 95% | ||||
| Concordance | 0.258 | 0.019 | 0.496 | poor | |
| Observed agreement | 59% | ||||
| Right foot | Cavus | Normal | Flat | ||
| Cavus | 25 (80.6) | 3 (9.7) | 3 (9.7) | ||
| Normal | 8 (66.7) | 1 (8.3) | 3 (25.0) | ||
| Flat | 5 (38.5) | 2 (15.4) | 6 (46.2) | ||
| Kappa index | CI 95% | ||||
| Concordance | 0.223 | −0.012 | 0.458 | poor | |
| Observed agreement | 57% | ||||
Publisher’s Note: MDPI stays neutral with regard to jurisdictional claims in published maps and institutional affiliations. |
© 2021 by the authors. Licensee MDPI, Basel, Switzerland. This article is an open access article distributed under the terms and conditions of the Creative Commons Attribution (CC BY) license (https://creativecommons.org/licenses/by/4.0/).
Share and Cite
Gonzalez-Martin, C.; Fernandez-Lopez, U.; Mosquera-Fernandez, A.; Balboa-Barreiro, V.; Garcia-Rodriguez, M.T.; Seijo-Bestilleiro, R.; Veiga-Seijo, R. Concordance between Pressure Platform and Pedigraph. Diagnostics 2021, 11, 2322. https://doi.org/10.3390/diagnostics11122322
Gonzalez-Martin C, Fernandez-Lopez U, Mosquera-Fernandez A, Balboa-Barreiro V, Garcia-Rodriguez MT, Seijo-Bestilleiro R, Veiga-Seijo R. Concordance between Pressure Platform and Pedigraph. Diagnostics. 2021; 11(12):2322. https://doi.org/10.3390/diagnostics11122322
Chicago/Turabian StyleGonzalez-Martin, Cristina, Uxia Fernandez-Lopez, Abian Mosquera-Fernandez, Vanesa Balboa-Barreiro, Maria Teresa Garcia-Rodriguez, Rocio Seijo-Bestilleiro, and Raquel Veiga-Seijo. 2021. "Concordance between Pressure Platform and Pedigraph" Diagnostics 11, no. 12: 2322. https://doi.org/10.3390/diagnostics11122322
APA StyleGonzalez-Martin, C., Fernandez-Lopez, U., Mosquera-Fernandez, A., Balboa-Barreiro, V., Garcia-Rodriguez, M. T., Seijo-Bestilleiro, R., & Veiga-Seijo, R. (2021). Concordance between Pressure Platform and Pedigraph. Diagnostics, 11(12), 2322. https://doi.org/10.3390/diagnostics11122322

