Sepsis Diagnostics: Intensive Care Scoring Systems Superior to MicroRNA Biomarker Testing
Abstract
1. Introduction
2. Materials and Methods
2.1. Ethics
2.2. Study Population and Sample Collection
2.3. Literature Research
2.4. RNA Isolation
2.5. Deep Sequencing and Analysis of Deep Sequencing Data
2.6. Droplet Digital PCR
2.7. ELISA
2.8. Statistical Analysis
3. Results
3.1. Characteristics of the Study Population
3.2. Classical Sepsis Markers and Scores
3.3. Cytokines
3.4. miRNAs
3.4.1. Screening
3.4.2. Validation
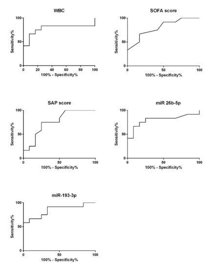
3.5. Diagnostic Capability
4. Discussion
5. Conclusions
Supplementary Materials
Author Contributions
Funding
Acknowledgments
Conflicts of Interest
References
- Angus, D.C.; van der Poll, T. Severe Sepsis and septic shock. N. Engl. J. Med. 2013, 369, 840–851. [Google Scholar] [CrossRef] [PubMed]
- SepNet Critical Care Trials Group. Incidence of severe Sepsis and Septic Shock in German intensive care units: The Prospective, Multicentre Insep Study. Intensiv. Care Med. 2016, 42, 1980–1989. [Google Scholar] [CrossRef] [PubMed]
- Dellinger, R.P.; Levy, M.M.; Rhodes, A.; Annane, D.; Gerlach, H.; Opal, S.M.; Sevransky, J.E.; Sprung, C.L.; Douglas, I.S.; Jaeschke, R.; et al. Surviving Sepsis Campaign: International Guidelines for Management of Severe Sepsis and Septic Shock. Intensiv. Care Med. 2013, 39, 165–228. [Google Scholar] [CrossRef] [PubMed]
- Coopersmith, C.M.; De Backer, D.; Deutschman, C.S.; Ferrer, R.; Lat, I.; Machado, F.R.; Martin, G.S.; Martin-Loeches, I.; Nunnally, M.E.; Antonelli, M.; et al. Surviving Sepsis Campaign: Research Priorities for Sepsis and Septic Shock. Intensiv. Care Med. 2018, 44, 1400–1426. [Google Scholar] [CrossRef] [PubMed]
- Pierrakos, C.; Vincent, J.-L. Sepsis biomarkers: A review. Crit. Care 2010, 14, R15. [Google Scholar] [CrossRef] [PubMed]
- Fan, S.-L.; Miller, N.S.; Lee, J.; Remick, D.G. Diagnosing sepsis—The role of laboratory medicine. Clin. Chim. Acta 2016, 460, 203–210. [Google Scholar] [CrossRef] [PubMed]
- Wacker, C.; Prkno, A.; Brunkhorst, F.M.; Schlattmann, P. Procalcitonin as a diagnostic marker for sepsis: A systematic review and meta-analysis. Lancet Infect. Dis. 2013, 13, 426–435. [Google Scholar] [CrossRef]
- Chaudhry, H.; Zhou, J.-H.; Zhong, Y.; Ali, M.M.; McGuire, F.; Nagarkatti, P.S.; Nagarkatti, M. Role of cytokines as a double-edged sword in sepsis. In Vivo 2013, 27, 669–684. [Google Scholar]
- Pinsky, M.R.; Vincent, J.L.; Deviere, J.; Alegre, M.; Kahn, R.J.; Dupont, E. Serum Cytokine Levels in Human Septic Shock. Relation to multiple-system organ failure and mortality. Chest 1993, 103, 565–575. [Google Scholar] [CrossRef]
- Blackwell, T.S.; Christman, J.W. Sepsis and cytokines: Current status. Br. J. Anaesth. 1996, 77, 110–117. [Google Scholar] [CrossRef]
- Bozza, F.A.; Salluh, J.I.F.; Japiassú, A.M.; Soares, M.; Assis, E.F.; Gomes, R.N.; Bozza, M.T.; Castro-Faria-Neto, H.C.; Bozza, P.T. Cytokine profiles as markers of disease severity in sepsis: A multiplex analysis. Crit. Care 2007, 11, R49. [Google Scholar] [PubMed]
- Kartal, E.D.; Karkac, E.; Gulbas, Z.; Alpat, S.N.; Erben, N.; Colak, E. Several Cytokines and Protein C Levels with the Apache II scoring system for evaluation of patients with Sepsis. Balk. Med. J. 2012, 29, 174–178. [Google Scholar] [CrossRef] [PubMed]
- Lvovschi, V.; Arnaud, L.; Parizot, C.; Freund, Y.; Juillien, G.; Ghillani-Dalbin, P.; Bouberima, M.; Larsen, M.; Riou, B.; Gorochov, G.; et al. Cytokine Profiles in Sepsis have limited relevance for stratifying patients in the emergency department: A prospective observational study. PLoS ONE 2011, 6, e28870. [Google Scholar]
- Surbatovic, M.; Popovic, N.; Vojvodic, D.; Milosevic, I.; Acimovic, G.; Stojičić, M.; Veljovic, M.; Jevdjic, J.; Djordjevic, D.; Radakovic, S. Cytokine profile in severe gram-positive and gram-negative abdominal sepsis. Sci. Rep. 2015, 5, 11355. [Google Scholar]
- Thijs, L.G.; Hack, C.E. Time course of cytokine levels in sepsis. Intensiv. Care Med. 1995, 21 (Suppl. S2), S258–S263. [Google Scholar] [CrossRef]
- Sprague, A.H.; Khalil, R.A. Inflammatory cytokines in vascular dysfunction and vascular disease. Biochem. Pharmacol. 2009, 78, 539–552. [Google Scholar] [PubMed]
- Shahkar, L.; Keshtkar, A.; Mirfazeli, A.; Ahani, A.; Roshandel, G. The Role of IL-6 for predicting neonatal Sepsis: A systematic review and meta-analysis. Iran. J. Pediatr. 2011, 21, 411–417. [Google Scholar]
- Vincent, J.-L.; Moreno, R. Clinical review: Scoring systems in the critically ill. Crit. Care 2010, 14, 207. [Google Scholar]
- Vincent, J.-L.; Sakr, Y. SOFA so good for predicting long-term outcomes. Resuscitation 2012, 83, 537–538. [Google Scholar]
- Wang, J.-F.; Yu, M.-L.; Yu, G.; Bian, J.; Deng, X.M.; Wan, X.-J.; Zhu, K.-M. Serum miR-146a and miR-223 as potential new biomarkers for sepsis. Biochem. Biophys. Res. Commun. 2010, 394, 184–188. [Google Scholar]
- Wang, H.; Meng, K.; Chen, W.J.; Feng, D.; Jia, Y.; Xie, L. Serum Mir-574-5p: A prognostic predictor of Sepsis patients. Shock 2012, 37, 263–267. [Google Scholar] [CrossRef] [PubMed]
- Wang, H.; Zhang, P.; Chen, W.; Feng, D.; Jia, Y.; Xie, L. Serum MicroRNA signatures identified by Solexa sequencing predict Sepsis patients’ mortality: A prospective observational study. PLoS ONE 2012, 7, e38885. [Google Scholar] [CrossRef] [PubMed]
- Wang, H.-J.; Zhang, P.-J.; Chen, W.-J.; Feng, D.; Jia, Y.-H.; Xie, L.-X. Four serum microRNAs identified as diagnostic biomarkers of sepsis. J. Trauma Acute Care Surg. 2012, 73, 850–854. [Google Scholar] [CrossRef]
- Roderburg, C.; Luedde, M.; Cardenas, D.V.; Vucur, M.; Scholten, D.; Frey, N.; Koch, A.; Trautwein, C.; Tacke, F.; Luedde, T. Circulating MicroRNA-150 serum levels predict survival in patients with critical illness and Sepsis. PLoS ONE 2013, 8, e54612. [Google Scholar] [CrossRef]
- Wang, H.-J.; Zhang, P.-J.; Chen, W.-J.; Jie, D.; Dan, F.; Jia, Y.-H.; Xie, L.-X. Characterization and Identification of Novel Serum MicroRNAs in Sepsis patients with different outcomes. Shock 2013, 39, 480–487. [Google Scholar] [CrossRef]
- Wang, L.; Wang, H.-C.; Chen, C.; Zeng, J.; Wang, Q.; Zheng, L.; Yu, H.-D. Differential expression of plasma miR-146a in sepsis patients compared with non-sepsis-SIRS patients. Exp. Ther. Med. 2013, 5, 1101–1104. [Google Scholar] [CrossRef]
- Chen, J.; Jiang, S.; Cao, Y.; Yang, Y. Altered miRNAs expression profiles and modulation of immune response genes and proteins during neonatal Sepsis. J. Clin. Immunol. 2014, 34, 340–348. [Google Scholar] [CrossRef]
- Huang, J.; Sun, Z.; Yan, W.; Zhu, Y.; Lin, Y.; Chen, J.; Shen, B.; Wang, J. Identification of MicroRNA as Sepsis Biomarker Based on miRNAs Regulatory Network Analysis. Biomed. Res. Int. 2014, 2014, 594350. [Google Scholar] [CrossRef]
- Benz, F.; Tacke, F.; Luedde, M.; Trautwein, C.; Luedde, T.; Koch, A.; Roderburg, C. Circulating MicroRNA-223 serum levels do not predict Sepsis or survival in patients with critical illness. Dis. Markers 2015, 2015, 384208. [Google Scholar] [CrossRef]
- Caserta, S.; Kern, F.; Cohen, J.; Drage, S.; Newbury, S.F.; Llewelyn, M.J. Circulating Plasma microRNAs can differentiate Human Sepsis and Systemic Inflammatory Response Syndrome (SIRS). Sci. Rep. 2016, 6, 28006. [Google Scholar] [CrossRef]
- Han, Y.; Dai, Q.-C.; Shen, H.-L.; Zhang, X.-W. Diagnostic value of elevated serum miRNA-143 levels in sepsis. J. Int. Med. Res. 2016, 44, 875–881. [Google Scholar] [CrossRef] [PubMed]
- Reithmair, M.; Buschmann, D.; Märte, M.; Kirchner, B.; Hagl, D.; Kaufmann, I.; Pfob, M.; Chouker, A.; Steinlein, O.K.; Pfaffl, M.W.; et al. Cellular and extracellular miRNAs are blood-compartment-specific diagnostic targets in sepsis. J. Cell. Mol. Med. 2017, 21, 2403–2411. [Google Scholar] [CrossRef] [PubMed]
- Krutzfeldt, J.; Poy, M.N.; Stoffel, M. Strategies to determine the biological function of microRNAs. Nat. Genet. 2006, 38, S14–S19. [Google Scholar] [CrossRef] [PubMed]
- Kozomara, A.; Griffiths-Jones, S. miRBase: Annotating high confidence microRNAs using deep sequencing data. Nucleic Acids Res. 2014, 42, D68–D73. [Google Scholar] [CrossRef]
- Wang, H.; Peng, R.; Wang, J.; Qin, Z.; Xue, L. Circulating microRNAs as potential cancer biomarkers: The advantage and disadvantage. Clin. Epigenet. 2018, 10, 59. [Google Scholar] [CrossRef]
- Benz, F.; Roderburg, C.; Cardenas, D.V.; Vucur, M.; Gautheron, J.; Koch, A.; Zimmermann, H.; Janssen, J.; Nieuwenhuijsen, L.; Luedde, M.; et al. U6 is unsuitable for normalization of serum miRNA levels in patients with sepsis or liver fibrosis. Exp. Mol. Med. 2013, 45, e42. [Google Scholar] [CrossRef]
- Xiang, M.; Zeng, Y.; Yang, R.; Xu, H.; Chen, Z.; Zhong, J.; Xie, H.; Xu, Y.; Zeng, X. U6 is not a suitable endogenous control for the quantification of circulating microRNAs. Biochem. Biophys. Res. Commun. 2014, 454, 210–214. [Google Scholar] [CrossRef]
- Benz, F.; Roy, S.; Trautwein, C.; Roderburg, C.; Luedde, T. Circulating MicroRNAs as biomarkers for Sepsis. Int. J. Mol. Sci. 2016, 17, 78. [Google Scholar] [CrossRef]
- Correia, C.N.; Nalpas, N.C.; McLoughlin, K.E.; Browne, J.A.; Gordon, S.V.; MacHugh, D.E.; Shaughnessy, R.G. Circulating microRNAs as potential biomarkers of infectious disease. Front. Immunol. 2017, 8, 118. [Google Scholar]
- Dumache, R.; Rogobete, A.F.; Bedreag, O.H.; Sarandan, M.; Cradigati, A.C.; Papurica, M.; Dumbuleu, C.M.; Nartita, R.; Sandesc, D. Use of miRNAs as biomarkers in Sepsis. Anal. Cell. Pathol. 2015, 2015, 186716. [Google Scholar]
- Miotke, L.; Lau, B.T.; Rumma, R.T.; Ji, H.P. High sensitivity detection and quantitation of DNA copy number and single nucleotide variants with single color Droplet Digital Pcr. Anal. Chem. 2014, 86, 2618–2624. [Google Scholar] [CrossRef]
- Campomenosi, P.; Gini, E.; Poli, A.; D’Antona, P.; Rotolo, N.; Dominioni, L.; Imperatori, A.; Noonan, D.M. A comparison between quantitative PCR and droplet digital PCR technologies for circulating microRNA quantification in human lung cancer. BMC Biotechnol. 2016, 16, 60. [Google Scholar] [CrossRef] [PubMed]
- Wang, C.; Ding, Q.; Plant, P.; Basheer, M.; Yang, C.; Tawedrous, E.; Krizova, A.; Boulos, C.; Farag, M.; Cheng, Y.; et al. Droplet digital PCR improves urinary exosomal miRNA detection compared to real-time PCR. Clin. Biochem. 2019, 67, 54–59. [Google Scholar] [CrossRef] [PubMed]
- Singer, M.; Deutschman, C.S.; Seymour, C.W.; Shankar-Hari, M.; Annane, D.; Bauer, M.; Bellomo, R.; Bernard, G.R.; Chiche, J.-D.; Coopersmith, C.M.; et al. The Third International Consensus Definitions for Sepsis and Septic Shock (Sepsis-3). J. Am. Med. Assoc. 2016, 315, 801–810. [Google Scholar] [CrossRef] [PubMed]
- Link, F.; Krohn, K.; Schumann, J. Identification of stably expressed housekeeping mirnas in endothelial cells and macrophages in an inflammatory setting. Sci. Rep. 2019, 9, 12786. [Google Scholar] [CrossRef]
- Cohen, J. Statistical power analysis for the behavioral-sciences. Percept. Motor Ski. 1988, 67, 1007. [Google Scholar]
- Sandquist, M.; Wong, H.R. Biomarkers of sepsis and their potential value in diagnosis, prognosis and treatment. Expert Rev. Clin. Immunol. 2014, 10, 1349–1356. [Google Scholar] [CrossRef]
- Walley, K.R. Biomarkers in Sepsis. Curr. Infect. Dis. Rep. 2013, 15, 413–420. [Google Scholar] [CrossRef]
- Iskander, K.N.; Osuchowski, M.F.; Stearns-Kurosawa, D.J.; Kurosawa, S.; Stepien, D.M.; Valentine, C.; Remick, D. Sepsis: Multiple abnormalities, heterogeneous responses, and evolving understanding. Physiol. Rev. 2013, 93, 1247–1288. [Google Scholar] [CrossRef]
- Hsieh, C.; Yang, J.C.-S.; Jeng, J.C.; Chen, Y.-C.; Lu, T.-H.; Tzeng, S.-L.; Wu, Y.-C.; Wu, C.-J.; Hsieh, C. Circulating microRNA signatures in mice exposed to lipoteichoic acid. J. Biomed. Sci. 2013, 20, 2. [Google Scholar] [CrossRef]
- Ameling, S.; Kacprowski, T.; Chilukoti, R.K.; Malsch, C.; Liebscher, V.; Suhre, K.; Pietzner, M.; Friedrich, N.; Homuth, G.; Hammer, E.; et al. Associations of circulating plasma microRNAs with age, body mass index and sex in a population-based study. BMC Med. Genom. 2015, 8, 61. [Google Scholar]
- Vincent, J.-L.; De Mendonça, A.; Cantraine, F.; Moreno, R.; Takala, J.; Suter, P.M.; Sprung, C.L.; Colardyn, F.; Blecher, S. Use of the SOFA score to assess the incidence of organ dysfunction/failure in intensive care units. Crit. Care Med. 1998, 26, 1793–1800. [Google Scholar] [PubMed]
- Vincent, J.L.; Moreno, R.; Takala, J.; Willatts, S.; De Mendonça, A.; Bruining, H.; Reinhart, C.K.; Suter, P.M.; Thijs, L.G.; on behalf of the Working Group on Sepsis-Related Problems of the European Society of Intensive Care Medicine. The SOFA (Sepsis-related Organ Failure Assessment) score to describe organ dysfunction/failure. Intensiv. Care Med. 1996, 22, 707–710. [Google Scholar]
- Le Gall, J.R.; Lemeshow, S.; Saulnier, F. A new Simplified Acute Physiology Score (SAPS II) based on a European/North American multicenter study. J. Am. Med. Assoc. 1993, 270, 2957–2963. [Google Scholar] [CrossRef]






| Characteristic | HC Group | SIC Group | NIC Group |
|---|---|---|---|
| n = 12 | n = 12 | n = 12 | |
| Age (years) | 44.1 ± 19.5 | 61.5 (73–45) | 72 (77.5–55.5) |
| Sex, male (%) | 60 | 66 | 50 |
| 28-day mortality (%) | - | 33 | 16.7 |
| BMI | - | 22.9 (26.5–21.0) | 24.1 (28.7–23.1) |
| Hemoglobin (mmol/L) | - | 5.9 (6.2–5.3) | 6.4 (6.9–5.2) |
| Hematocrit (%) | - | 27.0 (28.8–27.0) | 0.28 (0.33–0.24) |
| Erythrocytes (1012/L) | - | 3.2 (3.6–3.0) | 3.2 (3.8–2.8) |
| Leukocytes (109/L) | - | 17.7 (31.2–12.5) | 10.1 (12.3–9.1) |
| Thrombocytes (109/L) | - | 134.5 (307.0–100.0) | 200.5 (262.0–142.5) |
| Creatinine (µmol/L) | - | 101.5 (274–61) | 101 (141–61) |
| Bilirubin (µmol/L) | - | 12.2 (29.6–12.2) | 8.5 (15.8–6.9) |
| SOFA score | - | 7.5 (10.8–5.3) | 4.5 (6.0–1.5) |
| SAPS II score | - | 45.5 (51.5–38.0) | 31.5 (39.8–23.0) |
| Proposed Biomarker | Housekeeper Used | Article DOI |
|---|---|---|
| miR-26b-5p | Mean of hsa-miR-185-5p and hsa-miR-25-3p | 10.1111/jcmm.13162 |
| miR-122-5p | U6 | 10.1097/TA.0b013e31825a7560 |
| miR-143-3p | U6 | 10.1177/0300060516645003 |
| miR-146a-5p | Spike-in (mmu-miR-295) | 10.1016/j.bbrc.2010.02.145 |
| U6 | 10.3892/etm.2013.937 | |
| miR-193-3p | U6 | 10.1097/TA.0b013e31825a7560 |
| miR-223-3p | Spike-in (mmu-miR-295) | 10.1016/j.bbrc.2010.02.145 |
| U6 | 10.1097/TA.0b013e31825a7560 |
© 2020 by the authors. Licensee MDPI, Basel, Switzerland. This article is an open access article distributed under the terms and conditions of the Creative Commons Attribution (CC BY) license (http://creativecommons.org/licenses/by/4.0/).
Share and Cite
Link, F.; Krohn, K.; Burgdorff, A.-M.; Christel, A.; Schumann, J. Sepsis Diagnostics: Intensive Care Scoring Systems Superior to MicroRNA Biomarker Testing. Diagnostics 2020, 10, 701. https://doi.org/10.3390/diagnostics10090701
Link F, Krohn K, Burgdorff A-M, Christel A, Schumann J. Sepsis Diagnostics: Intensive Care Scoring Systems Superior to MicroRNA Biomarker Testing. Diagnostics. 2020; 10(9):701. https://doi.org/10.3390/diagnostics10090701
Chicago/Turabian StyleLink, Fabian, Knut Krohn, Anna-Maria Burgdorff, Annett Christel, and Julia Schumann. 2020. "Sepsis Diagnostics: Intensive Care Scoring Systems Superior to MicroRNA Biomarker Testing" Diagnostics 10, no. 9: 701. https://doi.org/10.3390/diagnostics10090701
APA StyleLink, F., Krohn, K., Burgdorff, A.-M., Christel, A., & Schumann, J. (2020). Sepsis Diagnostics: Intensive Care Scoring Systems Superior to MicroRNA Biomarker Testing. Diagnostics, 10(9), 701. https://doi.org/10.3390/diagnostics10090701

