Diagnostic Yield in Childhood-Onset Hearing Loss: A Meta-Analysis and Systematic Review
Abstract
1. Introduction
2. Materials and Methods
2.1. Search Strategy and Sources
2.2. Selection Process
2.3. Data Extraction
2.4. Statistical Analysis and Data Presentation
3. Results
3.1. Study Selection

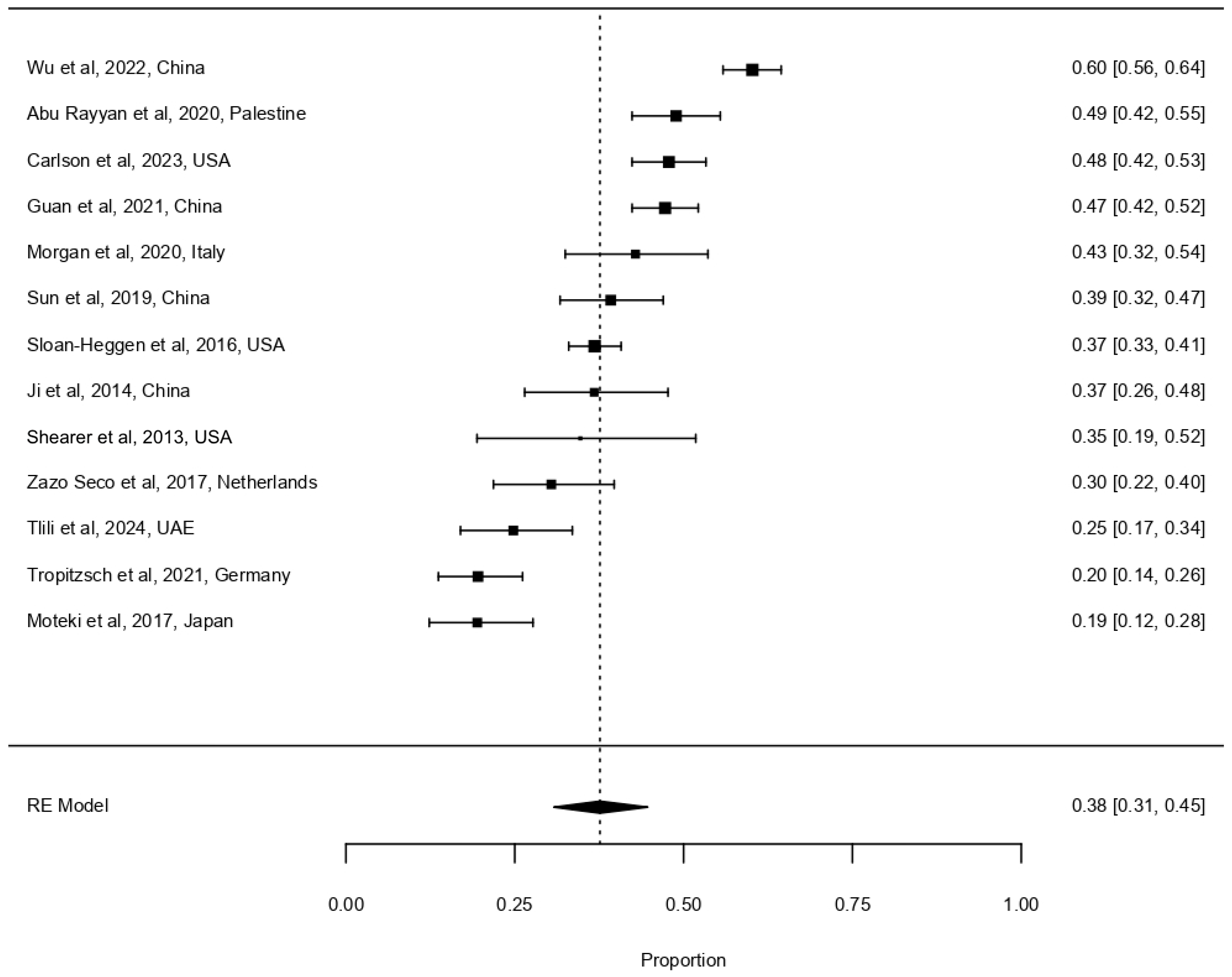
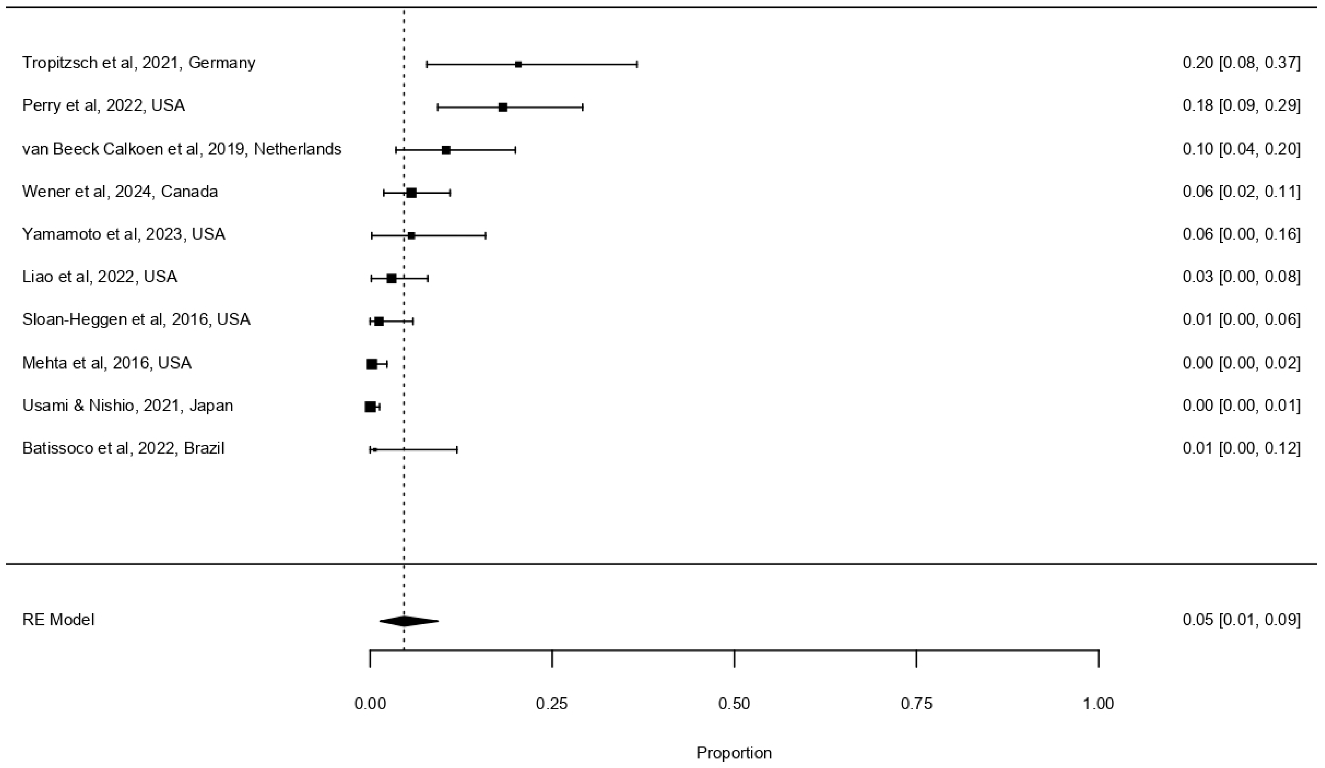
3.2. Results of Syntheses

4. Discussion
5. Limitations
6. Conclusions
Supplementary Materials
Author Contributions
Funding
Institutional Review Board Statement
Informed Consent Statement
Data Availability Statement
Conflicts of Interest
Abbreviations
| HL | Hearing loss |
| TPS | Targeted-panel sequencing |
| WES | Whole-exome sequencing |
| NGS | Next-generation sequencing |
References
- Abu Rayyan, A.; Kamal, L.; Casadei, S.; Brownstein, Z.; Zahdeh, F.; Shahin, H.; Canavati, C.; Dweik, D.; Jaraysa, T.; Rabie, G.; et al. Genomic analysis of inherited hearing loss in the Palestinian population. Proc. Natl. Acad. Sci. USA 2020, 117, 20070–20076. [Google Scholar] [CrossRef]
- Carlson, R.J.; Walsh, T.; Mandell, J.B.; Aburayyan, A.; Lee, M.K.; Gulsuner, S.; Horn, D.L.; Ou, H.C.; Sie, K.C.Y.; Mancl, L.; et al. Association of Genetic Diagnoses for Childhood-Onset Hearing Loss with Cochlear Implant Outcomes. JAMA Otolaryngol.–Head Neck Surg. 2023, 149, 212–222. [Google Scholar] [CrossRef]
- Morton, C.C.; Nance, W.E. Newborn hearing screening—A silent revolution. N. Engl. J. Med. 2006, 354, 2151–2164. [Google Scholar] [CrossRef]
- Brownstein, Z.; Gulsuner, S.; Walsh, T.; Martins, F.T.A.; Taiber, S.; Isakov, O.; Lee, M.K.; Bordeynik-Cohen, M.; Birkan, M.; Chang, W.; et al. Spectrum of genes for inherited hearing loss in the Israeli Jewish population, including the novel human deafness gene ATOH1. Clin. Genet. 2020, 98, 353–364. [Google Scholar] [CrossRef]
- Walls, W.; Azaiez, H.; Smith, R. Hereditary Hearing Loss Homepage. Available online: https://hereditaryhearingloss.org (accessed on 21 February 2026).
- Liu, C.; Huang, Y.; Zhang, Y.; Ding, H.; Yu, L.; Wang, A.; Wang, Y.; Zeng, Y.; Liu, L.; Liu, Y.; et al. Next-generation sequencing facilitates genetic diagnosis and improves the management of patients with hearing loss in clinical practice. Int. J. Pediatr. Otorhinolaryngol. 2022, 161, 111258. [Google Scholar] [CrossRef]
- Brodie, K.D.; Liao, E.N.; Florentine, M.M.; Chan, D.K. Impact of Genetic Testing on Hearing Interventions. Laryngoscope 2023, 133, 1982–1986. [Google Scholar] [CrossRef]
- Wang, H.; Chen, Y.; Lv, J.; Cheng, X.; Cao, Q.; Wang, D.; Zhang, L.; Zhu, B.; Shen, M.; Xu, C.; et al. Bilateral gene therapy in children with autosomal recessive deafness 9: Single-arm trial results. Nat. Med. 2024, 30, 1898–1904. [Google Scholar] [CrossRef] [PubMed]
- Landegger, L.D.; Reisinger, E.; Lallemend, F.; Hage, S.R.; Grimm, D.; Cederroth, C.R. The rise of cochlear gene therapy. Mol. Ther. J. Am. Soc. Gene Ther. 2024, 33, 2343–2349. [Google Scholar] [CrossRef] [PubMed]
- Spedicati, B.; Santin, A.; Nardone, G.G.; Rubinato, E.; Lenarduzzi, S.; Graziano, C.; Garavelli, L.; Miccoli, S.; Bigoni, S.; Morgan, A.; et al. The Enigmatic Genetic Landscape of Hereditary Hearing Loss: A Multistep Diagnostic Strategy in the Italian Population. Biomedicines 2023, 11, 703. [Google Scholar] [CrossRef]
- Molina-Ramírez, L.P.; Burkitt-Wright, E.M.; Saeed, H.; McDermott, J.H.; Kyle, C.; Wright, R.; Campbell, C.; Bhaskar, S.S.; Taylor, A.; Dutton, L.; et al. The diagnostic utility of clinical exome sequencing in 60 patients with hearing loss disorders: A single-institution experience. Clin. Otolaryngol. 2021, 46, 1257–1262. [Google Scholar] [CrossRef] [PubMed]
- Shearer, A.E.; Black-Ziegelbein, E.A.; Hildebrand, M.S.; Eppsteiner, R.W.; Ravi, H.; Joshi, S.; Guiffre, A.C.; Sloan, C.M.; Happe, S.; Howard, S.D.; et al. Advancing genetic testing for deafness with genomic technology. J. Med. Genet. 2013, 50, 627–634. [Google Scholar] [CrossRef] [PubMed]
- Zhuri, D.; Sezginer Guler, H.; Yalcintepe, S.; Demir, S.; Atli, E.; Ikbal Atli, E.; Gurkan, H. Investigation of Targeted Genes and Identification of Novel Variants with Next Generation Sequencing Method in Hearing Loss. J. Int. Adv. Otol. 2024, 20, 312–324. [Google Scholar] [CrossRef]
- Zeng, B.; Xu, H.; Yu, Y.; Li, S.; Tian, Y.; Li, T.; Yang, Z.; Wang, H.; Wang, G.; Chang, M.; et al. Increased diagnostic yield in a cohort of hearing loss families using a comprehensive stepwise strategy of molecular testing. Front. Genet. 2022, 13, 1057293. [Google Scholar] [CrossRef]
- Florentine, M.M.; Rouse, S.L.; Stephans, J.; Conrad, D.; Czechowicz, J.; Matthews, I.R.; Meyer, A.K.; Nadaraja, G.S.; Parikh, R.; Virbalas, J.; et al. Racial and ethnic disparities in diagnostic efficacy of comprehensive genetic testing for sensorineural hearing loss. Hum. Genet. 2022, 141, 495–504. [Google Scholar] [CrossRef]
- Tropitzsch, A.; Schade-Mann, T.; Gamerdinger, P.; Dofek, S.; Schulte, B.; Schulze, M.; Battke, F.; Fehr, S.; Biskup, S.; Heyd, A.; et al. Diagnostic Yield of Targeted Hearing Loss Gene Panel Sequencing in a Large German Cohort with a Balanced Age Distribution from a Single Diagnostic Center: An Eight-year Study. Ear Hear. 2022, 43, 1049–1066. [Google Scholar] [CrossRef]
- Peng, Q.; Huang, S.; Liang, Y.; Ma, K.; Li, S.; Yang, L.; Li, W.; Ma, Q.; Liu, Q.; Zhong, B.; et al. Concurrent Genetic and Standard Screening for Hearing Impairment in 9317 Southern Chinese Newborns. Genet. Test. Mol. Biomark. 2016, 20, 603–608. [Google Scholar] [CrossRef] [PubMed]
- Shearer, A.E.; Shen, J.; Amr, S.; Morton, C.C.; Smith, R.J. Newborn Hearing Screening Working Group of the National Coordinating Center for the Regional Genetics Networks. A proposal for comprehensive newborn hearing screening to improve identification of deaf and hard-of-hearing children. Genet. Med. 2019, 21, 2614–2630. [Google Scholar] [CrossRef]
- Stefanski, A.; Calle-López, Y.; Leu, C.; Pérez-Palma, E.; Pestana-Knight, E.; Lal, D. Clinical sequencing yield in epilepsy, autism spectrum disorder, and intellectual disability: A systematic review and meta-analysis. Epilepsia 2021, 62, 143–151. [Google Scholar] [CrossRef]
- Britten-Jones, A.C.; Gocuk, S.A.; Goh, K.L.; Huq, A.; Edwards, T.L.; Ayton, L.N. The Diagnostic Yield of Next Generation Sequencing in Inherited Retinal Diseases: A Systematic Review and Meta-analysis. Am. J. Ophthalmol. 2023, 249, 57–73. [Google Scholar] [CrossRef]
- Tesorero, R.; Janda, J.; Hörster, F.; Feyh, P.; Mütze, U.; Hauke, J.; Schwarz, K.; Kunz, J.B.; Hoffmann, G.F.; Okun, J.G. A high-throughput newborn screening approach for SCID, SMA, and SCD combining multiplex qPCR and tandem mass spectrometry. PLoS ONE 2023, 18, e0283024. [Google Scholar] [CrossRef] [PubMed]
- Kariyawasam, D.S.T.; Russell, J.S.; Wiley, V.; Alexander, I.E.; Farrar, M.A. The implementation of newborn screening for spinal muscular atrophy: The Australian experience. Genet. Med. 2020, 22, 557–565. [Google Scholar] [CrossRef] [PubMed]
- Page, M.J.; McKenzie, J.E.; Bossuyt, P.M.; Boutron, I.; Hoffmann, T.C.; Mulrow, C.D.; Shamseer, L.; Tetzlaff, J.M.; Akl, E.A.; Brennan, S.E.; et al. The PRISMA 2020 Statement: An Updated Guideline for Reporting Systematic Reviews. BMJ 2021, 372, n71. [Google Scholar] [CrossRef] [PubMed]
- Freeman, M.F.; Tukey, J.W. Transformations Related to the Angular and the Square Root. Ann. Math. Stat. 1950, 21, 607–611. [Google Scholar] [CrossRef]
- Xiang, J.; Jin, Y.; Song, N.; Chen, S.; Shen, J.; Xie, W.; Sun, X.; Peng, Z.; Sun, Y. Comprehensive genetic testing improves the clinical diagnosis and medical management of pediatric patients with isolated hearing loss. BMC Med. Genom. 2022, 15, 142. [Google Scholar] [CrossRef] [PubMed]
- Pál, M.; Nagy, D.; Neller, A.; Farkas, K.; Leprán-Török, D.; Nagy, N.; Füstös, D.; Nagy, R.; Németh, A.; Szilvássy, J.; et al. Genetic Etiology of Nonsyndromic Hearing Loss in Hungarian Patients. Int. J. Mol. Sci. 2023, 24, 7401. [Google Scholar] [CrossRef]
- Wang, J.; Xiang, J.; Chen, L.; Luo, H.; Xu, X.; Li, N.; Cui, C.; Xu, J.; Song, N.; Peng, J.; et al. Molecular diagnosis of non-syndromic hearing loss patients using a stepwise approach. Sci. Rep. 2021, 11, 4036. [Google Scholar] [CrossRef]
- Kim, B.J.; Oh, D.-Y.; Han, J.H.; Oh, J.; Kim, M.Y.; Park, H.-R.; Seok, J.; Cho, S.-D.; Lee, S.-Y.; Kim, Y.; et al. Significant Mendelian genetic contribution to pediatric mild-to-moderate hearing loss and its comprehensive diagnostic approach. Genet. Med. Off. J. Am. Coll. Med. Genet. 2020, 22, 1119–1128. [Google Scholar] [CrossRef]
- Rajput, K.; Akhtar, U.; Pagarkar, W.; Rajput, S.; Walder, C.; D’ARco, F.; Cochrane, L.; Nash, R.; Bitner-Glindzicz, M.; Omar, R. Etiology of Childhood Profound Sensorineural Hearing Loss: The Role of Hearing Loss Gene Panel Testing. Otolaryngol.-Head Neck Surg. Off. J. Am. Acad. Otolaryngol.-Head Neck Surg. 2024, 171, 1518–1525. [Google Scholar] [CrossRef]
- Wu, J.; Cao, Z.; Su, Y.; Wang, Y.; Cai, R.; Chen, J.; Gao, B.; Han, M.; Li, X.; Zhang, D.; et al. Molecular diagnose of a large hearing loss population from China by targeted genome sequencing. J. Hum. Genet. 2022, 67, 643–649. [Google Scholar] [CrossRef]
- Lee, C.-Y.; Lin, P.-H.; Chiang, Y.-T.; Tsai, C.-Y.; Yang, S.-Y.; Chen, Y.-M.; Li, C.-H.; Lu, C.-Y.; Liu, T.-C.; Hsu, C.-J.; et al. Genetic Underpinnings and Audiological Characteristics in Children with Unilateral Sensorineural Hearing Loss. Otolaryngol.–Head Neck Surg. 2023, 169, 1299–1308. [Google Scholar] [CrossRef]
- Yamamoto, N.; Balciuniene, J.; Hartman, T.; Diaz-Miranda, M.A.; Bedoukian, E.; Devkota, B.; Lawrence, A.; Golenberg, N.; Patel, M.; Tare, A.; et al. Comprehensive Gene Panel Testing for Hearing Loss in Children: Understanding Factors Influencing Diagnostic Yield. J. Pediatr. 2023, 262, 113620. [Google Scholar] [CrossRef] [PubMed]
- Boudewyns, A.; Ende, J.v.D.; Sommen, M.; Wuyts, W.; Peeters, N.; Van de Heyning, P.; Van Camp, G. Role of Targeted Next Generation Sequencing in the Etiological Work-Up of Congenitally Deaf Children. Otol. Neurotol. Off. Publ. Am. Otol. Soc. Am. Neurotol. Soc. Eur. Acad. Otol. Neurotol. 2018, 39, 732–738. [Google Scholar] [CrossRef]
- Melbourne Genomics Health Alliance; Downie, L.; Halliday, J.; Burt, R.; Lunke, S.; Lynch, E.; Martyn, M.; Poulakis, Z.; Gaff, C.; Sung, V.; et al. Exome sequencing in infants with congenital hearing impairment: A population-based cohort study. Eur. J. Hum. Genet. 2020, 28, 587–596. [Google Scholar] [CrossRef] [PubMed]
- Yang, T.; Wei, X.; Chai, Y.; Li, L.; Wu, H. Genetic etiology study of the non-syndromic deafness in Chinese Hans by targeted next-generation sequencing. Orphanet. J. Rare Dis. 2013, 8, 85. [Google Scholar] [CrossRef]
- del Barrio, S.R.; Fernández, A.G.; Quesada-Espinosa, J.F.; Sánchez-Calvín, M.T.; Gómez-Manjón, I.; Sierra-Tomillo, O.; Juárez-Rufián, A.; Gutiérrez, J.d.V. Genetic diagnosis of childhood sensorineural hearing loss. Acta Otorrinolaringol. Esp. 2024, 75, 83–93. [Google Scholar] [CrossRef]
- Guan, J.; Li, J.; Chen, G.; Shi, T.; Lan, L.; Wu, X.; Zhao, C.; Wang, D.; Wang, H.; Wang, Q. Family trio-based sequencing in 404 sporadic bilateral hearing loss patients discovers recessive and De novo genetic variants in multiple ways. Eur. J. Med. Genet. 2021, 64, 104311. [Google Scholar] [CrossRef]
- Liao, E.N.; Taketa, E.; Mohamad, N.I.; Chan, D.K. Outcomes of Gene Panel Testing for Sensorineural Hearing Loss in a Diverse Patient Cohort. JAMA Netw. Open 2022, 5, e2233441. [Google Scholar] [CrossRef]
- Sloan-Heggen, C.M.; Bierer, A.O.; Shearer, A.E.; Kolbe, D.L.; Nishimura, C.J.; Frees, K.L.; Ephraim, S.S.; Shibata, S.B.; Booth, K.T.; Campbell, C.A.; et al. Comprehensive genetic testing in the clinical evaluation of 1119 patients with hearing loss. Hum. Genet. 2016, 135, 441–450. [Google Scholar] [CrossRef]
- Perry, J.; Redfield, S.; Oza, A.; Rouse, S.; Stewart, C.; Khela, H.; Srinivasan, T.; Albano, V.; Shearer, E.; Kenna, M. Exome Sequencing Expands the Genetic Diagnostic Spectrum for Pediatric Hearing Loss. Laryngoscope 2023, 133, 2417–2424. [Google Scholar] [CrossRef]
- Kim, Y.S.; Kim, Y.; Jeon, H.W.; Yi, N.; Lee, S.-Y.; Kim, Y.; Han, J.H.; Kim, M.Y.; Kim, B.H.; Choi, H.Y.; et al. Full etiologic spectrum of pediatric severe to profound hearing loss of consecutive 119 cases. Sci. Rep. 2022, 12, 12335. [Google Scholar] [CrossRef] [PubMed]
- Boudewyns, A.; Ende, J.v.D.; Peeters, N.; Van Camp, G.; Brandt, A.H.-V.D.; Van Schil, K.; Wouters, K.; Wuyts, W. Targeted Next-Generation Sequencing in Children with Bilateral Sensorineural Hearing Loss: Diagnostic Yield and Predictors of a Genetic Cause. Otol. Neurotol. Off. Publ. Am. Otol. Soc. Am. Neurotol. Soc. Eur. Acad. Otol. Neurotol. 2023, 44, 360–366. [Google Scholar] [CrossRef] [PubMed]
- van Beeck Calkoen, E.A.; Engel, M.S.D.; Van De Kamp, J.M.; Yntema, H.G.; Goverts, S.; Mulder, M.; Merkus, P.; Hensen, E.F. The etiological evaluation of sensorineural hearing loss in children. Eur. J. Pediatr. 2019, 178, 1195–1205. [Google Scholar] [CrossRef] [PubMed]
- Mehta, D.; Noon, S.E.; Schwartz, E.; Wilkens, A.; Bedoukian, E.C.; Scarano, I.; Crenshaw, E.B.; Krantz, I.D. Outcomes of evaluation and testing of 660 individuals with hearing loss in a pediatric genetics of hearing loss clinic. Am. J. Med. Genet. A. 2016, 170, 2523–2530. [Google Scholar] [CrossRef]
- Wener, E.R.; McLennan, J.D.; Papsin, B.C.; Cushing, S.L.; Stavropoulos, D.J.; Mendoza-Londono, R.; Quercia, N.; Gordon, K.A. Variants in Genes Associated with Hearing Loss in Children: Prevalence in a Large Canadian Cohort. Laryngoscope 2024, 134, 3832–3838. [Google Scholar] [CrossRef]
- Gruber, M.; Brown, C.; Mahadevan, M.; Neeff, M. Concomitant imaging and genetic findings in children with unilateral sensorineural hearing loss. J. Laryngol. Otol. 2017, 131, 688–695. [Google Scholar] [CrossRef] [PubMed]
- Johansson, M.; Karltorp, E.; Asp, F.; Berninger, E. A Prospective Study of Genetic Variants in Infants with Congenital Unilateral Sensorineural Hearing Loss. J. Clin. Med. 2023, 12, 495. [Google Scholar] [CrossRef]
- Stijnen, T.; Hamza, T.H.; Özdemir, P. Random Effects Meta-Analysis of Event Outcome in the Framework of the Generalized Linear Mixed Model with Applications in Sparse Data. Statist. Med. 2010, 29, 3046–3067. [Google Scholar] [CrossRef]
- Usami, S.-I.; Nishio, S.-Y. The genetic etiology of hearing loss in Japan revealed by the social health insurance-based genetic testing of 10K patients. Hum. Genet. 2022, 141, 665–681. [Google Scholar] [CrossRef]
- Batissoco, A.C.; Pedroso-Campos, V.; Pardono, E.; Sampaio-Silva, J.; Sonoda, C.Y.; Vieira-Silva, G.A.; Longati, E.U.d.S.d.O.; Mariano, D.; Hoshino, A.C.H.; Tsuji, R.K.; et al. Molecular and genetic characterization of a large Brazilian cohort presenting hearing loss. Hum. Genet. 2022, 141, 519–538. [Google Scholar] [CrossRef]
- Morgan, A.; Lenarduzzi, S.; Spedicati, B.; Cattaruzzi, E.; Murru, F.M.; Pelliccione, G.; Mazzà, D.; Zollino, M.; Graziano, C.; Ambrosetti, U.; et al. Lights and Shadows in the Genetics of Syndromic and Non-Syndromic Hearing Loss in the Italian Population. Genes 2020, 11, 1237. [Google Scholar] [CrossRef]
- Sun, Y.; Xiang, J.; Liu, Y.; Chen, S.; Yu, J.; Peng, J.; Liu, Z.; Chen, L.; Sun, J.; Yang, Y.; et al. Increased diagnostic yield by reanalysis of data from a hearing loss gene panel. BMC Med. Genom. 2019, 12, 76. [Google Scholar] [CrossRef]
- Seco, C.Z.; Wesdorp, M.; Feenstra, I.; Pfundt, R.; Hehir-Kwa, J.Y.; Lelieveld, S.H.; Castelein, S.; Gilissen, C.; de Wijs, I.J.; Admiraal, R.J.; et al. The diagnostic yield of whole-exome sequencing targeting a gene panel for hearing impairment in The Netherlands. Eur. J. Hum. Genet. 2017, 25, 308–314. [Google Scholar] [CrossRef]
- Tlili, A.; Mahfood, M.; Al Mutery, A.; Chouchen, J. Genetic analysis of 106 sporadic cases with hearing loss in the UAE population. Hum. Genom. 2024, 18, 59. [Google Scholar] [CrossRef] [PubMed]
- Moteki, H.; Azaiez, H.; Booth, K.; Shearer, A.; Sloan, C.M.; Kolbe, D.; Nishio, S.; Hattori, M.; Usami, S.; Smith, R. Comprehensive genetic testing with ethnic-specific filtering by allele frequency in a Japanese hearing-loss population. Clin. Genet. 2016, 89, 466–472. [Google Scholar] [CrossRef] [PubMed]
- Ji, H.; Lu, J.; Wang, J.; Li, H.; Lin, X. Combined examination of sequence and copy number variations in human deafness genes improves diagnosis for cases of genetic deafness. BMC Ear Nose Throat Disord. 2014, 14, 9. [Google Scholar] [CrossRef]
- Frejka, T.; Jones, G.W.; Sardon, J.-P. East Asian childbearing patterns and policy developments. Popul. Dev. Rev. 2010, 36, 579–606. [Google Scholar] [CrossRef]
- Lin, P.-H.; Hsu, C.-J.; Lin, Y.-H.; Lin, Y.-H.; Lee, H.-Y.; Wu, C.-C.; Liu, T.-C. Etiologic and Audiologic Characteristics of Patients with Pediatric-Onset Unilateral and Asymmetric Sensorineural Hearing Loss. JAMA Otolaryngol.–Head. Neck Surg. 2017, 143, 912–919. [Google Scholar] [CrossRef] [PubMed]
- Chan, D.K.; Chang, K.W. GJB2-associated hearing loss: Systematic review of worldwide prevalence, genotype, and auditory phenotype. Laryngoscope 2014, 124, E34–E53. [Google Scholar] [CrossRef]
Disclaimer/Publisher’s Note: The statements, opinions and data contained in all publications are solely those of the individual author(s) and contributor(s) and not of MDPI and/or the editor(s). MDPI and/or the editor(s) disclaim responsibility for any injury to people or property resulting from any ideas, methods, instructions or products referred to in the content. |
© 2026 by the authors. Licensee MDPI, Basel, Switzerland. This article is an open access article distributed under the terms and conditions of the Creative Commons Attribution (CC BY) license.
Share and Cite
Taiber, S.; Carlson, R.J.; Muhanna, N.; Abu Eta, R. Diagnostic Yield in Childhood-Onset Hearing Loss: A Meta-Analysis and Systematic Review. Life 2026, 16, 610. https://doi.org/10.3390/life16040610
Taiber S, Carlson RJ, Muhanna N, Abu Eta R. Diagnostic Yield in Childhood-Onset Hearing Loss: A Meta-Analysis and Systematic Review. Life. 2026; 16(4):610. https://doi.org/10.3390/life16040610
Chicago/Turabian StyleTaiber, Shahar, Ryan J. Carlson, Nidal Muhanna, and Rani Abu Eta. 2026. "Diagnostic Yield in Childhood-Onset Hearing Loss: A Meta-Analysis and Systematic Review" Life 16, no. 4: 610. https://doi.org/10.3390/life16040610
APA StyleTaiber, S., Carlson, R. J., Muhanna, N., & Abu Eta, R. (2026). Diagnostic Yield in Childhood-Onset Hearing Loss: A Meta-Analysis and Systematic Review. Life, 16(4), 610. https://doi.org/10.3390/life16040610
