Cardiovascular Safety Signals of Oral Versus Topical Minoxidil in FAERS: A Disproportionality Analysis (Analytic Cohort 2012–2025)
Abstract
1. Introduction
2. Materials and Methods
2.1. Data Source and Study Period
2.2. Deduplication and Unit of Analysis
2.3. Case Identification and Exposure Classification
- ORAL: at least one oral minoxidil product recorded in the report and no topical minoxidil product recorded.
- TOPICAL: at least one topical minoxidil product recorded in the report and no oral minoxidil product recorded.
- BOTH: evidence of both oral and topical minoxidil products within the same report (possible dual exposure or conflicting entries).
- UNKNOWN: route could not be assigned due to missing/blank route, non-informative dose form, or conflicting route versus dose-form evidence; an unknown_reason field was retained for auditing.
2.4. Outcomes
2.5. Statistical Analysis
2.6. Sensitivity Analyses
2.7. Reproducibility
3. Results
3.1. Study Population
3.2. Primary Disproportionality Analysis: Core Cardiovascular PT List
3.3. Sensitivity Analysis: Expanded Cardiovascular PT List

| Preferred Term (PT) | Oral Events/Denom | Topical Events/Denom | ROR (95% CI) |
|---|---|---|---|
| Generalized edema | 12/559 | 1/56,947 | 1249.27 (162.15–9624.68) |
| Pericardial effusion | 34/559 | 12/56,947 | 307.27 (158.22–596.71) |
| Edema | 19/559 | 5/56,947 | 400.70 (149.07–1077.07) |
| Hypertensive crisis | 10/559 | 1/56,947 | 1037.27 (132.55–8117.10) |
| Pulmonary hypertension | 9/559 | 1/56,947 | 931.84 (117.85–7367.93) |
| Pulmonary edema | 9/559 | 0/56,947 | 1965.49 (114.25–33,813.06) |
| Cardiac tamponade | 8/559 | 0/56,947 | 1755.41 (101.19–30,452.04) |
| Pleural effusion | 10/559 | 4/56,947 | 259.30 (81.08–829.31) |
| Stress cardiomyopathy | 5/559 | 0/56,947 | 1129.71 (62.39–20,456.04) |
| Atrioventricular block complete | 5/559 | 1/56,947 | 513.95 (59.95–4406.49) |
| Cardiac failure congestive | 5/559 | 1/56,947 | 513.95 (59.95–4406.49) |
| Tachycardia | 21/559 | 23/56,947 | 96.61 (53.14–175.61) |
| Orthostatic hypotension | 5/559 | 2/56,947 | 256.97 (49.75–1327.37) |
| Pericarditis | 5/559 | 2/56,947 | 256.97 (49.75–1327.37) |
| Portal vein thrombosis | 4/559 | 0/56,947 | 922.64 (49.61–17,158.20) |
| Edema peripheral | 30/559 | 42/56,947 | 76.84 (47.72–123.71) |
| Cerebrovascular accident | 10/559 | 14/56,947 | 74.07 (32.76–167.49) |
| Acute myocardial infarction | 4/559 | 3/56,947 | 136.80 (30.55–612.68) |
| Hypotension | 23/559 | 52/56,947 | 46.95 (28.53–77.26) |
| Presyncope | 8/559 | 13/56,947 | 63.59 (26.25–154.03) |
3.4. Patient Outcomes (OUTC) Summary
3.5. Indication-Based Sensitivity Analysis
4. Discussion
Limitations
5. Conclusions
Supplementary Materials
Author Contributions
Funding
Institutional Review Board Statement
Informed Consent Statement
Data Availability Statement
Acknowledgments
Conflicts of Interest
References
- Randolph, M.; Tosti, A. Oral minoxidil treatment for hair loss: A review of efficacy and safety. J. Am. Acad. Dermatol. 2021, 84, 737–746. [Google Scholar] [CrossRef]
- Beach, R.A.; McDonald, K.A.; Muylaert Barrett, B. Low-dose oral minoxidil for treating alopecia: A 3-year North American retrospective case series. J. Am. Acad. Dermatol. 2021, 84, 761–763. [Google Scholar] [CrossRef] [PubMed]
- U.S. Food and Drug Administration. Loniten (minoxidil) Tablets, USP: Prescribing Information. Revised 2015. Available online: https://www.accessdata.fda.gov/drugsatfda_docs/label/2015/018154s026lbl.pdf (accessed on 17 March 2026).
- Gupta, A.K.; Bamimore, M.A.; Abdel-Qadir, H.; Williams, G.; Tosti, A.; Piguet, V.; Talukder, M. Low-dose oral minoxidil and associated adverse events: Analyses of the FDA Adverse Event Reporting System (FAERS) with a focus on pericardial effusions. J. Cosmet. Dermatol. 2025, 24, e16574. [Google Scholar] [CrossRef]
- U.S. Food and Drug Administration. FDA Adverse Event Reporting System (FAERS): Latest Quarterly Data Files. Available online: https://www.fda.gov/drugs/fdas-adverse-event-reporting-system-faers/fda-adverse-event-reporting-system-faers-latest-quarterly-data-files (accessed on 17 March 2026).
- U.S. Food and Drug Administration. FAERS Public Dashboard: FAQ (Case Versions, Duplicate Reporting, Limitations). Available online: https://fis.fda.gov/extensions/FPD-FAQ/FPD-FAQ.html (accessed on 17 March 2026).
- MedDRA Maintenance and Support Services Organization (MSSO). Medical Dictionary for Regulatory Activities (MedDRA): Introductory Guide. Version 28.1. 2025. Available online: https://alt.meddra.org/files_acrobat/intguide_28_1_English.pdf (accessed on 17 March 2026).
- van Puijenbroek, E.P.; Bate, A.; Leufkens, H.G.M.; Lindquist, M.; Orre, R.; Egberts, A.C.G. A comparison of measures of disproportionality for signal detection in spontaneous reporting systems for adverse drug reactions. Pharmacoepidemiol. Drug Saf. 2002, 11, 3–10. [Google Scholar] [CrossRef] [PubMed]
- Evans, S.J.W.; Waller, P.C.; Davis, S. Use of proportional reporting ratios (PRRs) for signal generation from spontaneous adverse drug reaction reports. Pharmacoepidemiol. Drug Saf. 2001, 10, 483–486. [Google Scholar] [CrossRef] [PubMed]
- Haldane, J.B.S. The estimation and significance of the logarithm of a ratio of frequencies. Ann. Hum. Genet. 1956, 20, 309–311. [Google Scholar] [CrossRef] [PubMed]
- Sweeting, M.J.; Sutton, A.J.; Lambert, P.C. What to add to nothing? Use and avoidance of continuity corrections in meta-analysis of sparse data. Stat. Med. 2004, 23, 1351–1375. [Google Scholar] [CrossRef] [PubMed]
- Kincaid, C.; Salamo, O.; Wong, V.; Zhao, D.; De La Garza, H.; Lio, P.A.; Hartman, R.I. Evaluation of pericardial effusions in alopecia patients on low-dose oral minoxidil therapy. J. Drugs Dermatol. 2024, 23, 972–976. [Google Scholar] [CrossRef] [PubMed]
- Dlova, N.C.; Schellack, N.; Jacobs, E. Pericardial, pleural effusion and anasarca: A rare complication of low-dose oral minoxidil for hair loss. JAAD Case Rep. 2022, 28, 94–96. [Google Scholar] [CrossRef] [PubMed]
- Moreno-Arrones, O.M.; Rodrigues-Barata, R.; Morales, C.; Imbernon-Moya, A.; Saceda-Corralo, D.; Matji, A.; Vañó-Galván, S. Serious adverse effects from compounding errors with low-dose oral minoxidil for alopecia treatment. Actas Dermosifiliogr. 2022, 113, 725–727. [Google Scholar] [CrossRef] [PubMed]
- Heymann, W.R. Coming full circle (almost): Low dose oral minoxidil for alopecia. J. Am. Acad. Dermatol. 2021, 84, 613–614. [Google Scholar] [CrossRef] [PubMed]
- Gupta, A.K.; Talukder, M.; Shemer, A. Efficacy and safety of low-dose oral minoxidil in the management of androgenetic alopecia. Expert Opin. Pharmacother. 2024, 25, 139–147. [Google Scholar] [CrossRef] [PubMed]
- U.S. Food and Drug Administration. FDA Requires Warnings About Increased Risk of Serious Heart-Related Events, Cancer, Blood Clots, and Death for JAK Inhibitors That Treat Certain Chronic Inflammatory Conditions. Drug Safety Communication. 2021. Available online: https://www.fda.gov/drugs/drug-safety-and-availability/fda-requires-warnings-about-increased-risk-serious-heart-related-events-cancer-blood-clots-and-death (accessed on 17 March 2026).
- King, B.; Ohyama, M.; Kwon, O.; Zlotogorski, A.; Ko, J.; Mesinkovska, N.A.; Hordinsky, M.; Dutronc, Y.; Wu, W.S. Two Phase 3 Trials of Baricitinib for Alopecia Areata. N. Engl. J. Med. 2022, 386, 1687–1699. [Google Scholar] [CrossRef] [PubMed]
- Samuel, C.; Cornman, H.; Kambala, A.; Kwatra, S.G. A review on the safety of using JAK inhibitors in dermatology: Clinical and laboratory monitoring. Dermatol. Ther. 2023, 13, 729–749. [Google Scholar] [CrossRef] [PubMed]
- Desir, N.; Desai, A.D.; Lipner, S.R. Increased interest in oral minoxidil for hair loss treatment following publication of August 2022 New York Times article: A Google Trends analysis. Ski. Appendage Disord. 2024, 10, 46–49. [Google Scholar] [CrossRef] [PubMed]
- Hoffman, K.B.; Overstreet, B.M.; Doraiswamy, P.M. The Weber Effect and the United States Food and Drug Administration’s Adverse Event Reporting System (FAERS): Analysis of sixty-two drugs approved from 2006 to 2010. Drug Saf. 2014, 37, 283–294. [Google Scholar] [CrossRef] [PubMed]

| Exposure Group | Denominator | Female | Male | Sex Unknown | Age Missing | Age, Median (IQR) | Age, Mean (SD) | Report Year Range | Report Year Median |
|---|---|---|---|---|---|---|---|---|---|
| ORAL | 559 | 215 (38.46%) | 271 (48.48%) | 73 (13.06%) | 126 (22.54%) | 52 (32–65) | 46.59 (24.67) | 2012–2025 | 2020 |
| TOPICAL | 56,947 | 24,315 (42.70%) | 27,300 (47.94%) | 5332 (9.36%) | 41,272 (72.47%) | 61 (46–71) | 58.23 (18.32) | 2012–2025 | 2021 |
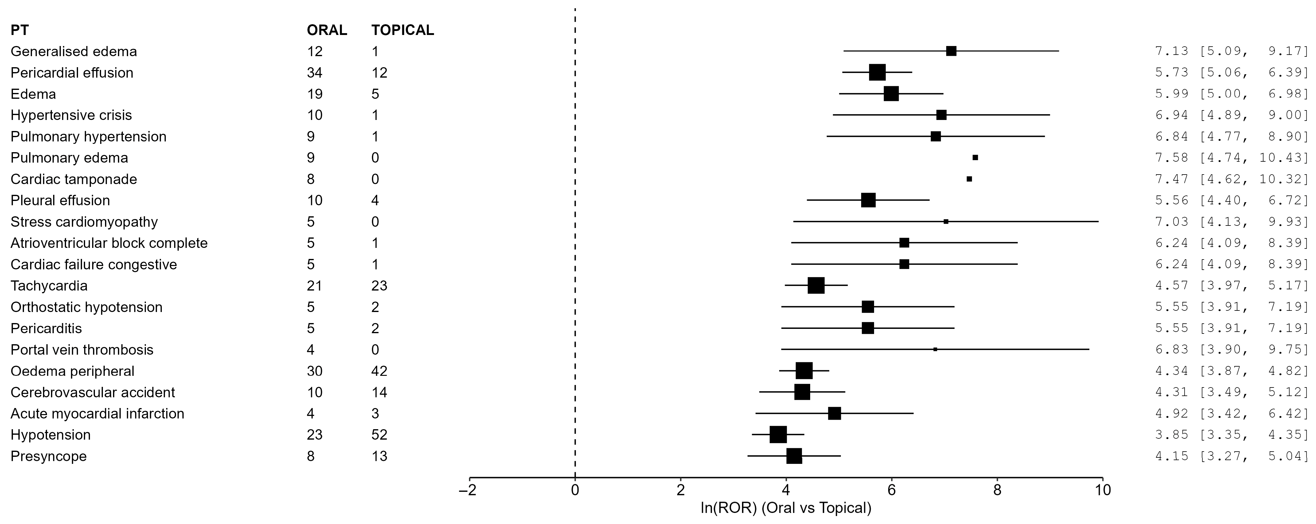
| Preferred Term (PT) | Oral Events/Denom | Topical Events/Denom | ROR (95% CI) |
|---|---|---|---|
| Pericardial effusion | 34/559 | 12/56,947 | 307.27 (158.22–596.71) |
| Hypertensive crisis | 10/559 | 1/56,947 | 1037.27 (132.55–8117.10) |
| Pulmonary hypertension | 9/559 | 1/56,947 | 931.84 (117.85–7367.93) |
| Cardiac tamponade | 8/559 | 0/56,947 | 1755.41 (101.19–30,452.04) |
| Stress cardiomyopathy | 5/559 | 0/56,947 | 1129.71 (62.39–20,456.04) |
| Atrioventricular block complete | 5/559 | 1/56,947 | 513.95 (59.95–4406.49) |
| Cardiac failure congestive | 5/559 | 1/56,947 | 513.95 (59.95–4406.49) |
| Tachycardia | 21/559 | 23/56,947 | 96.61 (53.14–175.61) |
| Orthostatic hypotension | 5/559 | 2/56,947 | 256.97 (49.75–1327.37) |
| Pericarditis | 5/559 | 2/56,947 | 256.97 (49.75–1327.37) |
| Portal vein thrombosis | 4/559 | 0/56,947 | 922.64 (49.61–17,158.20) |
| Cerebrovascular accident | 10/559 | 14/56,947 | 74.07 (32.76–167.49) |
| Acute myocardial infarction | 4/559 | 3/56,947 | 136.80 (30.55–612.68) |
| Hypotension | 23/559 | 52/56,947 | 46.95 (28.53–77.26) |
| Presyncope | 8/559 | 13/56,947 | 63.59 (26.25–154.03) |
| Hypertension | 27/559 | 77/56,947 | 37.48 (23.98–58.59) |
| Cardiac failure | 3/559 | 4/56,947 | 76.81 (17.15–344.01) |
| Atrial fibrillation | 7/559 | 25/56,947 | 28.87 (12.44–67.04) |
| Angina pectoris | 5/559 | 22/56,947 | 23.35 (8.81–61.89) |
| Syncope | 7/559 | 50/56,947 | 14.43 (6.51–31.97) |
| Exposure Group | Death | Hospitalization | Life-Threatening | Disability | Congenital Anomaly | Required Intervention | Other Serious | BLANK_ONLY | MISSING |
|---|---|---|---|---|---|---|---|---|---|
| ORAL (n = 559) | 46 (8.23%) | 207 (37.03%) | 28 (5.01%) | 14 (2.50%) | 1 (0.18%) | 12 (2.15%) | 285 (50.98%) | 6 (1.07%) | 107 (19.14%) |
| TOPICAL (n = 56,947) | 16 (0.03%) | 194 (0.34%) | 36 (0.06%) | 83 (0.15%) | 6 (0.01%) | 14 (0.02%) | 802 (1.41%) | 43 (0.08%) | 55,875 (98.12%) |
Disclaimer/Publisher’s Note: The statements, opinions and data contained in all publications are solely those of the individual author(s) and contributor(s) and not of MDPI and/or the editor(s). MDPI and/or the editor(s) disclaim responsibility for any injury to people or property resulting from any ideas, methods, instructions or products referred to in the content. |
© 2026 by the authors. Licensee MDPI, Basel, Switzerland. This article is an open access article distributed under the terms and conditions of the Creative Commons Attribution (CC BY) license.
Share and Cite
Makkena, H.B.; Kasu, V. Cardiovascular Safety Signals of Oral Versus Topical Minoxidil in FAERS: A Disproportionality Analysis (Analytic Cohort 2012–2025). Life 2026, 16, 522. https://doi.org/10.3390/life16030522
Makkena HB, Kasu V. Cardiovascular Safety Signals of Oral Versus Topical Minoxidil in FAERS: A Disproportionality Analysis (Analytic Cohort 2012–2025). Life. 2026; 16(3):522. https://doi.org/10.3390/life16030522
Chicago/Turabian StyleMakkena, Hima Bindu, and Vikas Kasu. 2026. "Cardiovascular Safety Signals of Oral Versus Topical Minoxidil in FAERS: A Disproportionality Analysis (Analytic Cohort 2012–2025)" Life 16, no. 3: 522. https://doi.org/10.3390/life16030522
APA StyleMakkena, H. B., & Kasu, V. (2026). Cardiovascular Safety Signals of Oral Versus Topical Minoxidil in FAERS: A Disproportionality Analysis (Analytic Cohort 2012–2025). Life, 16(3), 522. https://doi.org/10.3390/life16030522

