A Meta-Analysis on the Long-Term Impact of Cytoreductive Surgery Plus HIPEC for Ovarian Cancer with Peritoneal Metastasis: Are We on the Right Path?
Abstract
1. Introduction
2. Materials and Methods
2.1. Sources, Search Strategy and Study Selection
2.2. Data Extraction and Outcome Definitions
2.3. Risk of Bias and Statistical Analysis
3. Results
3.1. Study Characteristics
3.2. Overall Survival
3.2.1. Pooled Overall Survival
3.2.2. Sensitivity and Supporting Analyses (OS)
3.3. Progression-Free Survival
3.3.1. Pooled Progression-Free Survival
3.3.2. Sensitivity and Supporting Analyses (PFS)
3.4. Grade III–IV Postoperative Complications
3.5. Perioperative Morbidity and Safety
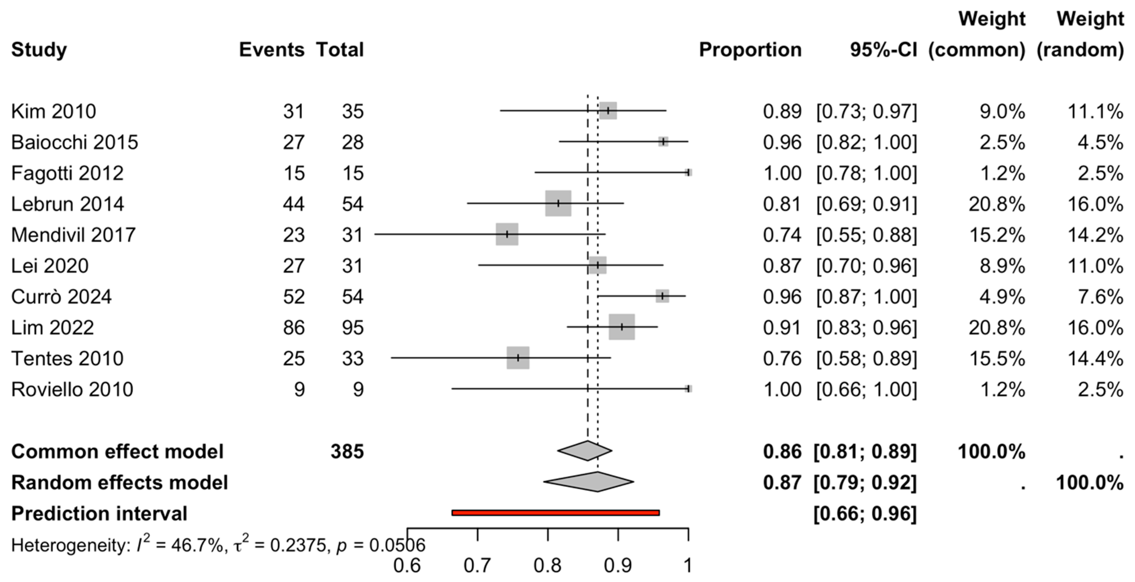
3.6. Completeness of Cytoreduction (CC-0 Rate)
3.7. Additional Descriptive Outputs and Data Transparency
4. Discussion
4.1. Context and Timing of HIPEC in Primary Ovarian Cancer
4.2. HIPEC in Recurrent Ovarian Cancer
4.3. Safety and Feasibility of HIPEC
4.4. Current Adoption and Outlook
4.5. Clinical Implications
5. Limitations
6. Conclusions
Author Contributions
Funding
Institutional Review Board Statement
Informed Consent Statement
Data Availability Statement
Acknowledgments
Conflicts of Interest
References
- Bray, F.; Laversanne, M.; Sung, H.; Ferlay, J.; Siegel, R.L.; Soerjomataram, I.; Jemal, A. Global cancer statistics 2022: GLOBOCAN estimates of incidence and mortality worldwide for 36 cancers in 185 countries. CA Cancer J. Clin. 2024, 74, 229–263. [Google Scholar] [CrossRef]
- Zhang, J.; Li, X.B.; Ma, R.; Ji, Z.H.; Bai, W.; Li, Y. Long term survival of cytoreductive surgery plus hyperthermic intraperitoneal chemotherapy in advanced epithelial ovarian cancer. Transl. Cancer Res. 2021, 10, 3705–3715. [Google Scholar] [CrossRef]
- Harter, P.; Sehouli, J.; Vergote, I.; Ferron, G.; Reuss, A.; Meier, W.; Greggi, S.; Mosgard, B.J.; Selle, F.; Guyon, F.; et al. Randomized Trial of Cytoreductive Surgery for Relapsed Ovarian Cancer. N. Engl. J. Med. 2021, 385, 2123–2131. [Google Scholar] [CrossRef] [PubMed]
- Le Brun, J.F.; Campion, L.; Berton-Rigaud, D.; Lorimier, G.; Marchal, F.; Ferron, G.; Oger, A.S.; Dravet, F.; Jaffre, I.; Classe, J.M. Survival Benefit of Hyperthermic Intraperitoneal Chemotherapy for Recurrent Ovarian Cancer: A Multi-institutional Case Control Study. Ann. Surg. Oncol. 2014, 21, 3621–3627. [Google Scholar] [CrossRef]
- Lim, M.C.; Chang, S.J.; Yoo, H.J.; Nam, B.; Bristow, R.E.; Park, S. Randomized trial of hyperthermic intraperitoneal chemotherapy (HIPEC) in women with primary advanced peritoneal, ovarian, and tubal cancer. J. Clin. Oncol. 2017, 35, 5520. [Google Scholar] [CrossRef]
- Lim, M.C.; Chang, S.J.; Park, B.; Yoo, H.J.; Yoo, C.W.; Nam, B.H.; Park, S.Y. Survival After Hyperthermic Intraperitoneal Chemotherapy and Primary or Interval Cytoreductive Surgery in Ovarian Cancer: A Randomized Clinical Trial. JAMA Surg. 2022, 157, 374–383. [Google Scholar] [CrossRef] [PubMed]
- Fotopoulou, C.; Sehouli, J.; Mahner, S.; Harter, P.; Van Nieuwenhuysen, E.; González-Martín, A.; Vergote, I.; Chiva, L.; du Bois, A. HIPEC: HOPE or HYPE in the fight against advanced ovarian cancer? Ann. Oncol. 2018, 29, 1610–1613. [Google Scholar] [CrossRef] [PubMed]
- Spiliotis, J.; Halkia, E.; Lianos, E.; Kalantzi, N.; Grivas, A.; Efstathiou, E.; Giassas, S. Cytoreductive Surgery and HIPEC in Recurrent Epithelial Ovarian Cancer: A Prospective Randomized Phase III Study. Ann. Surg. Oncol. 2015, 22, 1570–1575. [Google Scholar] [CrossRef]
- Fagotti, A.; Costantini, B.; Petrillo, M.; Vizzielli, G.; Fanfani, F.; Margariti, P.A.; Turco, L.C.; Piovano, E.; Scambia, G. Cytoreductive surgery plus HIPEC in platinum-sensitive recurrent ovarian cancer patients: A case-control study on survival in patients with two year follow-up. Gynecol. Oncol. 2012, 127, 502–505. [Google Scholar] [CrossRef] [PubMed]
- Coleman, R.L.; Spirtos, N.M.; Enserro, D.; Herzog, T.J.; Sabbatini, P.; Armstrong, D.K.; Kim, J.; Park, S.; Kim, B.; Nam, J.; et al. Secondary Surgical Cytoreduction for Recurrent Ovarian Cancer. Obstet. Gynecol. Surv. 2020, 75, 165–166. [Google Scholar] [CrossRef]
- Baiocchi, G.; Ferreira, F.O.; Mantoan, H.; da Costa, A.A.B.A.; Faloppa, C.C.; Kumagai, L.Y.; de Mello, C.A.L.; Takahashi, R.M.; Nakagawa, W.T.; Aguiar, S.; et al. Hyperthermic Intraperitoneal Chemotherapy after Secondary Cytoreduction in Epithelial Ovarian Cancer: A Single-center Comparative Analysis. Ann. Surg. Oncol. 2016, 23, 1294–1301. [Google Scholar] [CrossRef]
- Villarejo Campos, P.; Sánchez García, S.; Amo-Salas, M.; García Santos, E.; López de la Manzanara, C.; Alberca, A.; Padilla-Valverde, D.; Redondo Calvo, F.J.; Martín, J. Paclitaxel as HIPEC-Drug after Surgical Cytoreduction for Ovarian Peritoneal Metastases: A Randomized Phase III Clinical Trial (HIPECOVA). Curr. Oncol. 2024, 31, 660–671. [Google Scholar] [CrossRef]
- Page, M.J.; McKenzie, J.E.; Bossuyt, P.M.; Boutron, I.; Hoffmann, T.C.; Mulrow, C.D.; Shamseer, L.; Tetzlaff, J.M.; Akl, E.A.; Brennan, S.E.; et al. The PRISMA 2020 statement: An updated guideline for reporting systematic reviews. BMJ 2021, 372, n71. [Google Scholar] [CrossRef] [PubMed]
- van Driel, W.J.; Koole, S.N.; Sikorska, K.; Schagen van Leeuwen, J.H.; Schreuder, H.W.R.; Hermans, R.H.M.; de Hingh, I.H.J.T.; van der Velden, J.; Arts, H.J.; Massuger, L.F.A.G.; et al. Hyperthermic Intraperitoneal Chemotherapy in Ovarian Cancer. N. Engl. J. Med. 2018, 378, 230–240. [Google Scholar] [CrossRef] [PubMed]
- Kim, J.H.; Lee, J.M.; Ryu, K.S.; Lee, Y.S.; Park, Y.G.; Hur, S.Y.; Lee, K.H.; Lee, S.H.; Kim, S.J. Consolidation hyperthermic intraperitoneal chemotherapy using paclitaxel in patients with epithelial ovarian cancer. J. Surg. Oncol. 2010, 101, 149–155. [Google Scholar] [CrossRef] [PubMed]
- Mendivil, A.A.; Rettenmaier, M.A.; Abaid, L.N.; Brown, J.V.; Mori, K.M.; Lopez, K.L.; Goldstein, B.H. Consolidation hyperthermic intraperitoneal chemotherapy for the treatment of advanced stage ovarian carcinoma: A 3 year experience. Cancer Chemother. Pharmacol. 2017, 80, 405–410. [Google Scholar] [CrossRef]
- Lei, Z.; Wang, Y.; Wang, J.; Wang, K.; Tian, J.; Zhao, Y.; Chen, L.; Wang, J.; Luo, J.; Jia, M.; et al. Evaluation of Cytoreductive Surgery with or Without Hyperthermic Intraperitoneal Chemotherapy for Stage III Epithelial Ovarian Cancer. JAMA Netw. Open 2020, 3, E2013940. [Google Scholar] [CrossRef]
- Tentes, A.A.K.; Korakianitis, O.S.; Kakolyris, S.; Kyziridis, D.; Veliovits, D.; Karagiozoglou, C.; Sgouridou, E.; Moustakas, K. Cytoreductive surgery and perioperative intraperitoneal chemotherapy in recurrent ovarian cancer. Tumori 2010, 96, 411–416. [Google Scholar] [CrossRef]
- Roviello, F.; Pinto, E.; Corso, G.; Pedrazzani, C.; Caruso, S.; Filippeschi, M.; Petrioli, R.; Marsili, S.; Mazzei, M.A.; Marrelli, D. Safety and potential benefit of hyperthermic intraperitoneal chemotherapy (HIPEC) in peritoneal carcinomatosis from primary or recurrent ovarian cancer. J. Surg. Oncol. 2010, 102, 663–670. [Google Scholar] [CrossRef] [PubMed]
- Koole, S.N.; van Stein, R.M.; Sikorska, K.; Barton, D.P.J.; Perrin, L.; Brennan, D.J.; Zivanovic, O.; Mosgaard, B.J.; Fagotti, A.; Colombo, P.; et al. Primary cytoreductive surgery with or without hyperthermic intraperitoneal chemotherapy (HIPEC) for FIGO stage III epithelial ovarian cancer: OVHIPEC-2, a phase III randomized clinical trial. Int. J. Gynecol. Cancer 2020, 30, 888–892. [Google Scholar] [CrossRef]
- Aronson, S.L.; Lopez-Yurda, M.; Koole, S.N.; Schagen van Leeuwen, J.H.; Schreuder, H.W.R.; Hermans, R.H.M.; de Hingh, I.H.J.T.; van Gent, M.D.J.M.; Arts, H.J.G.; van Ham, M.A.P.C.; et al. Cytoreductive surgery with or without hyperthermic intraperitoneal chemotherapy in patients with advanced ovarian cancer (OVHIPEC-1): Final survival analysis of a randomised, controlled, phase 3 trial. Lancet Oncol. 2023, 24, 1109–1118. [Google Scholar] [CrossRef] [PubMed]
- Filis, P.; Mauri, D.; Markozannes, G.; Tolia, M.; Filis, N.; Tsilidis, K. Hyperthermic intraperitoneal chemotherapy (HIPEC) for the management of primary advanced and recurrent ovarian cancer: A systematic review and meta-analysis of randomized trials. ESMO Open 2022, 7, 100586. [Google Scholar] [CrossRef] [PubMed]
- El Kassis, N.; Jerbaka, M.; Chakra, R.A.; El Hadi, C.; Arab, W.A.; El Hajj, H.; Atallah, D. An Updated Meta-Analysis on Long-Term Outcomes Following Hyperthermic Intraperitoneal Chemotherapy in Advanced Ovarian Cancer. Cancers 2025, 17, 1569. [Google Scholar] [CrossRef] [PubMed]
- Armstrong, D.K.; Alvarez, R.D.; Bakkum-Gamez, J.N.; Barroilhet, L.; Behbakht, K.; Berchuck, A.; Berek, J.S.; Chen, L.M.; Cristea, M.; DeRosa, M.; et al. NCCN Guidelines Insights: Ovarian Cancer, Version 1.2019. J. Natl. Compr. Cancer Netw. 2019, 17, 896–909. [Google Scholar] [CrossRef] [PubMed]
- Liu, Y.; Zhang, T.; Wu, Q.; Jiao, Y.; Gong, T.; Ma, X.; Li, D. Relationship between initiation time of adjuvant chemotherapy and survival in ovarian cancer patients: A dose-response meta-analysis of cohort studies. Sci. Rep. 2017, 7, 9461. [Google Scholar] [CrossRef] [PubMed]
- Timmermans, M.; van der Aa, M.A.; Lalisang, R.I.; Witteveen, P.O.; Van de Vijver, K.K.; Kruitwagen, R.F.; Sonke, G.S. Interval between debulking surgery and adjuvant chemotherapy is associated with overall survival in patients with advanced ovarian cancer. Gynecol. Oncol. 2018, 150, 446–450. [Google Scholar] [CrossRef]
- Ceresoli, M.; Verrengia, A.; Montori, G.; Busci, L.; Coccolini, F.; Ansaloni, L.; Frigerio, L. Effect of cytoreductive surgery and hyperthermic intraperitoneal chemotherapy on relapse pattern in primary epithelial ovarian cancer: A propensity score based case-control study. J. Gynecol. Oncol. 2018, 29, e53. [Google Scholar] [CrossRef]
- Vergote, I.; Harter, P.; Chiva, L. Hyperthermic intraperitoneal chemotherapy does not improve survival in advanced ovarian cancer. Cancer 2019, 125, 4594–4597. [Google Scholar] [CrossRef] [PubMed]
- Classe, J.M.; Meeus, P.; Hudry, D.; Wernert, R.; Quenet, F.; Marchal, F.; Houvenaeghel, G.; Bats, A.S.; Lecuru, F.; Ferron, G.; et al. Hyperthermic intraperitoneal chemotherapy for recurrent ovarian cancer (CHIPOR): A randomised, open-label, phase 3 trial. Lancet Oncol. 2024, 25, 1551–1562. [Google Scholar] [CrossRef] [PubMed]
- Fagotti, A.; Costantini, B.; Fanfani, F.; Giannarelli, D.; De Iaco, P.; Chiantera, V.; Mandato, V.; Giorda, G.; Aletti, G.; Greggi, S.; et al. Hyperthermic Intraperitoneal Chemotherapy in Platinum-Sensitive Recurrent Ovarian Cancer: A Randomized Trial on Survival Evaluation (HORSE; MITO-18). J. Clin. Oncol. 2025, 43, 852–860. [Google Scholar] [CrossRef] [PubMed]
- Fagotti, A.; Ferrandina, M.G.; Vizzielli, G.; Pasciuto, T.; Fanfani, F.; Gallotta, V.; Margariti, P.A.; Chiantera, V.; Costantini, B.; Alletti, S.G.; et al. Randomized trial of primary debulking surgery versus neoadjuvant chemotherapy for advanced epithelial ovarian cancer (SCORPION-NCT01461850). Int. J. Gynecol. Cancer 2020, 30, 1657–1664. [Google Scholar] [CrossRef] [PubMed]
- Kim, S.I.; Kim, J.H.; Lee, S.; Cho, H.; van Driel, W.J.; Sonke, G.S.; Bristow, R.E.; Park, S.Y.; Fotopoulou, C.; Lim, M.C. Hyperthermic intraperitoneal chemotherapy for epithelial ovarian cancer: A meta-analysis. Gynecol. Oncol. 2022, 167, 547–556. [Google Scholar] [CrossRef] [PubMed]
- Koole, S.N.; Schouten, P.C.; Hauke, J.; Kluin, R.J.C.; Nederlof, P.; Richters, L.K.; Krebsbach, G.; Sikorska, K.; Alkemade, M.; Opdam, M.; et al. Effect of HIPEC according to HRD/BRCAwt genomic profile in stage III ovarian cancer: Results from the phase III OVHIPEC trial. Int. J. Cancer 2022, 151, 1394–1404. [Google Scholar] [CrossRef]
- Ghirardi, V.; Trozzi, R.; Scanu, F.R.; Giannarelli, D.; Santullo, F.; Costantini, B.; Naldini, A.; Panico, C.; Frassanito, L.; Scambia, G.; et al. Expanding the Use of HIPEC in Ovarian Cancer at Time of Interval Debulking Surgery to FIGO Stage IV and After 6 Cycles of Neoadjuvant Chemotherapy: A Prospective Analysis on Perioperative and Oncologic Outcomes. Ann. Surg. Oncol. 2024, 31, 3350–3360. [Google Scholar] [CrossRef] [PubMed]
- Querleu, D.; Planchamp, F.; Chiva, L.; Fotopoulou, C.; Barton, D.P.J.; Cibula, D.; Aletti, G.; Carinelli, S.; Creutzberg, C.L.; Davidson, B.; et al. European Society of Gynaecological Oncology (ESGO) Guidelines for Ovarian Cancer Surgery. Int. J. Gynecol. Cancer 2017, 27, 1534–1542. [Google Scholar] [CrossRef] [PubMed]





| Study ID | Country | Study Type | Sample Size | Surgery Type | Hipec Regimen | Technique | Duration (Min) | Temperature (°C) | Follow-Up (Months) | PCI (Mean) |
|---|---|---|---|---|---|---|---|---|---|---|
| van Driel, 2018 [14] | The Netherlands | RCT | 122 | IDS | Cisplatin 100 mg/m2 | Open | 90 | 40 | 56.4 | NA |
| Spiliotis, 2014 [8] | Greece | RCT | 60 | SCR | Cisplatin 100 mg/m2 | Open | 90 | 42.5 | 39 | 15 |
| Kim, 2010 [15] | South Korea | Retrospective Cohort | 35 | SCR | Cisplatin 75 + Paclitaxel 175 mg/m2 | Open | 90 | 42.25 | 24.5 | 8.5 |
| Baiocchi, 2015 [11] | Brazil | Prospective Cohort | 28 | SCR | Cisplatin 75 + Doxorubicin 15 mg/m2 | Closed | 90 | 41.5 | 26.6 | 15.5 |
| Fagotti, 2012 [9] | Italy | Prospective Pilot | 15 | IDS | Cisplatin 100 mg/m2 | Open | 90 | 41.5 | 30 | 11 |
| Lebrun, 2014 [4] | France | Retrospective Cohort | 54 | SCR | Cisplatin 75 + Doxorubicin 15 mg/m2 | Open | 60 | 42 | 38.5 | 14 |
| Mendivil, 2017 [16] | USA | Retrospective Cohort | 31 | IDS | Cisplatin 100 mg/m2 | Open | 90 | 41.5 | 19.5 | NA |
| Lei, 2020 [17] | China | Retrospective Cohort | 31 | IDS | Cisplatin 70 mg/m2 | Open | 60 | 43 | 24 | 19.7 |
| Currò, 2024 [12] | Italy | Retrospective Cohort | 54 | IDS | Cisplatin 100 mg/m2 | Open | 90 | 42.5 | 28.6 | 12.5 |
| Lim, 2022 [6] | South Korea | RCT | 95 | IDS | Cisplatin 75 mg/m2 | Open | 90 | 42.5 | 39.5 | 14 |
| Tentes, 2010 [18] | Greece | Retrospective Cohort | 33 | SCR | Cisplatin 100 mg/m2 | Open | 90 | 42.5 | 32 | NA |
| Roviello, 2010 [19] | Italy | Prospective Case Series | 9 | PDS | Cisplatin 100 + Paclitaxel 60 mg/m2 | Closed | 90 | 41.75 | 48 | 14 |
| Outcome | Studies (k) | Total Patients (n) | Effect Measure | Model (Τ2/Ci Method) | Pooled Effect (Random) | p-Value | I2 (%) | τ2 | Q-Test p-Value | Prediction Interval |
|---|---|---|---|---|---|---|---|---|---|---|
| Overall Survival (Os) | 2 | 217 | HR | DL/Hartung–Knapp | 0.68 (0.52–0.90) | 0.0023 | 0.0 | 0 | 0.8609 | 0.14–3.34 |
| Progression-Free Survival (Pfs) | 2 | 217 | HR | DL/Hartung–Knapp | 0.70 (0.31–1.57) | 0.0007 | 0.0 | 0 | 0.5458 | 0.18–2.66 |
| Grade Iii–Iv Complications | 12 | 563 | Proportion | DL/Hartung–Knapp (PLOGIT) | 0.18 (0.14–0.22) | — | 16.3 | 0.0314 | 0.2845 | 0.12–0.26 |
| Cc-0 Rate | 10 | 385 | Proportion | DL/Hartung–Knapp (PLOGIT) | 0.87 (0.79–0.92) | — | 46.7 | 0.2375 | 0.0506 | 0.66–0.96 |
Disclaimer/Publisher’s Note: The statements, opinions and data contained in all publications are solely those of the individual author(s) and contributor(s) and not of MDPI and/or the editor(s). MDPI and/or the editor(s) disclaim responsibility for any injury to people or property resulting from any ideas, methods, instructions or products referred to in the content. |
© 2026 by the authors. Licensee MDPI, Basel, Switzerland. This article is an open access article distributed under the terms and conditions of the Creative Commons Attribution (CC BY) license.
Share and Cite
Brebu, D.; Șelaru, M.; Faur, I.F.; Burta, M.C.; Faur, I.A.; Dobrescu, A.; Duță, C.; Braicu, V.; Neamțu, A.-A.; Răzvan, D. A Meta-Analysis on the Long-Term Impact of Cytoreductive Surgery Plus HIPEC for Ovarian Cancer with Peritoneal Metastasis: Are We on the Right Path? Life 2026, 16, 335. https://doi.org/10.3390/life16020335
Brebu D, Șelaru M, Faur IF, Burta MC, Faur IA, Dobrescu A, Duță C, Braicu V, Neamțu A-A, Răzvan D. A Meta-Analysis on the Long-Term Impact of Cytoreductive Surgery Plus HIPEC for Ovarian Cancer with Peritoneal Metastasis: Are We on the Right Path? Life. 2026; 16(2):335. https://doi.org/10.3390/life16020335
Chicago/Turabian StyleBrebu, Dan, Mircea Șelaru, Ionut Flaviu Faur, Mihai Cosmin Burta, Ioana Adelina Faur, Amadeus Dobrescu, Ciprian Duță, Vlad Braicu, Andreea-Adriana Neamțu, and Danau Răzvan. 2026. "A Meta-Analysis on the Long-Term Impact of Cytoreductive Surgery Plus HIPEC for Ovarian Cancer with Peritoneal Metastasis: Are We on the Right Path?" Life 16, no. 2: 335. https://doi.org/10.3390/life16020335
APA StyleBrebu, D., Șelaru, M., Faur, I. F., Burta, M. C., Faur, I. A., Dobrescu, A., Duță, C., Braicu, V., Neamțu, A.-A., & Răzvan, D. (2026). A Meta-Analysis on the Long-Term Impact of Cytoreductive Surgery Plus HIPEC for Ovarian Cancer with Peritoneal Metastasis: Are We on the Right Path? Life, 16(2), 335. https://doi.org/10.3390/life16020335

