Exploring Telomere Association in Donor–Recipient Pairs: Implications for Kidney Graft Longevity
Abstract
1. Introduction
2. Materials and Methods
2.1. Data Source (Northern Ireland Renal Transplant Cohort)
2.2. Data Collection
2.3. Telomere Length Measurement
2.4. Outcome Measures
2.5. Statistical Analysis
3. Results
3.1. Characteristics of Study Participants
3.2. Recipient Pre-Transplant Telomere Length and Post-Transplant Outcome
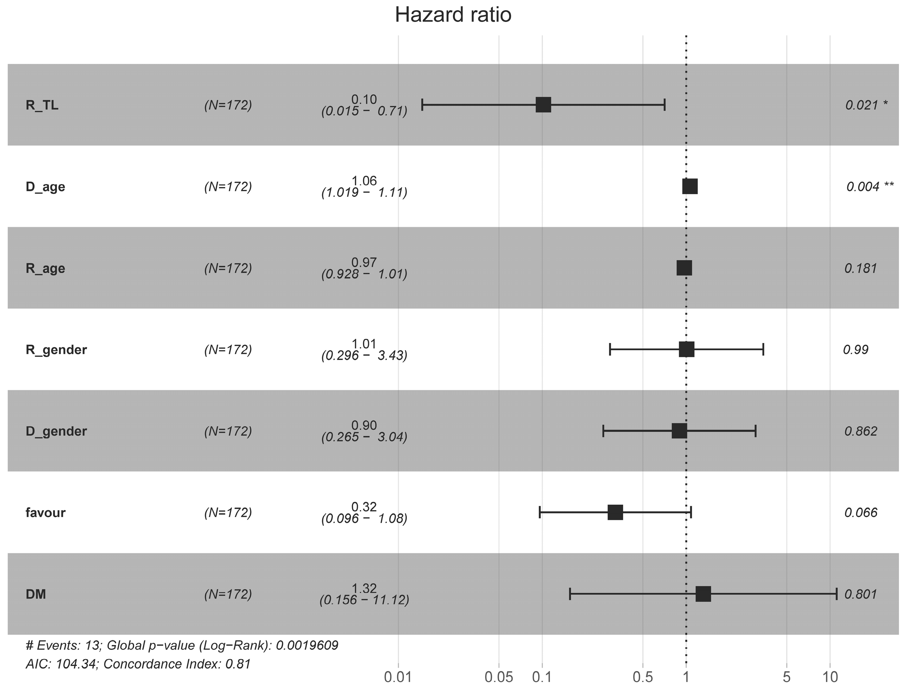
3.3. Recipient Post-Transplant Telomere Length and Post-Transplant Outcome
4. Discussion
5. Conclusions
Author Contributions
Funding
Institutional Review Board Statement
Informed Consent Statement
Data Availability Statement
Conflicts of Interest
References
- Vaiserman, A.; Krasnienkov, D. Telomere length as a marker of biological age: State-of-the-art, open issues, and future perspectives. Front. Genet. 2021, 11, 630186. [Google Scholar] [CrossRef]
- Srinivas, N.; Rachakonda, S.; Kumar, R. Telomeres and Telomere Length: A General Overview. Cancers 2020, 12, 558. [Google Scholar] [CrossRef]
- Andreu-Sánchez, S.; Aubert, G.; Ripoll-Cladellas, A.; Henkelman, S.; Zhernakova, D.V.; Sinha, T.; Kurilshikov, A.; Cenit, M.C.; Jan Bonder, M.; Franke, L.; et al. Genetic, parental and lifestyle factors influence telomere length. Commun. Biol. 2022, 5, 565. [Google Scholar] [CrossRef] [PubMed]
- Domański, L.; Kłoda, K.; Kwiatkowska, E.; Borowiecka, E.; Safranow, K.; Drozd, A.; Ciechanowicz, A.; Ciechanowski, K. Effect of delayed graft function, acute rejection and chronic allograft dysfunction on kidney allograft telomere length in patients after transplantation: A prospective cohort study. BMC Nephrol. 2015, 16, 23. [Google Scholar] [CrossRef]
- Kłoda, K.; Domański, L.; Mierzecki, A. Telomere length assessment for prediction of organ transplantation outcome. Future or failure: A review of the literature. Med. Sci. Monit. Int. Med. J. Exp. Clin. Res. 2017, 23, 158. [Google Scholar] [CrossRef][Green Version]
- Biou, L.; Kumiko, A.; Tsuyoshi, K.; Jinlian, P.; Hidetoshi, T.; Hideki, O. Influence of donor liver telomere and G-tail on clinical outcome after living donor liver transplantation. PLoS ONE 2019, 14, e0213462. [Google Scholar]
- Andrew, M.C.; Anthony, M.L.; Mai, T.; Anil, J.T.; Gary, M.H.; Ivan, O.R.; Suneet, A.; Benjamin, A.R.; Benjamin, A.R.; Hilary, J.G.; et al. Shorter telomere length following lung transplantation is associated with clinically significant leukopenia and decreased chronic lung allograft dysfunction-free survival. ERJ Open Res. 2020, 6, 00003-2020. [Google Scholar] [CrossRef] [PubMed]
- Shahinaz, M.G.; Tao, W.; Michael, H.; Stephen, R.S.; Stephanie, J.L.; Stephanie, J.L.; Kirsten, M.W.; Kirsten, M.W.; Jason, Y.Y.W.; Jason, Y.Y.W.; et al. Association Between Donor Leukocyte Telomere Length and Survival After Unrelated Allogeneic Hematopoietic Cell Transplantation for Severe Aplastic Anemia. JAMA 2015, 313, 594–602. [Google Scholar]
- Abdelrahman, Z.; Maxwell, A.P.; McKnight, A.J. Genetic and Epigenetic Associations with Post-Transplant Diabetes Mellitus. Genes 2024, 15, 503. [Google Scholar] [CrossRef]
- Zhang, Q.; Hickey, M.J.; Valenzuela, N.M.; Zhang, X.; Lan, J.H.; Cecka, J.M.; Reed, E.F. Histocompatibility and Immunogenetics for Solid Organ Transplantation. In Practical Atlas of Transplant Pathology; Wallace, W.D., Naini, B.V., Eds.; Springer International Publishing: Cham, Switzerland, 2016; pp. 1–30. [Google Scholar]
- Alelign, T.; Ahmed, M.M.; Bobosha, K.; Tadesse, Y.; Howe, R.; Petros, B. Kidney Transplantation: The Challenge of Human Leukocyte Antigen and Its Therapeutic Strategies. J. Immunol. Res. 2018, 2018, 5986740. [Google Scholar] [CrossRef]
- Nabi, N.; Khan, M.S.; Shah, A.; Wani, J.A.; Majid, S. Chapter 9—Human leukocyte antigen-typing: A significant immunogenetic application in clinical medicine. In Immunogenetics: A Molecular and Clinical Overview; Rehman, M.U., Ali, S., Ali, M.N., Arafah, A., Eds.; Academic Press: Cambridge, MA, USA, 2022; pp. 245–265. [Google Scholar]
- Miller, S.A.; Dykes, D.D.; Polesky, H.F. A simple salting out procedure for extracting DNA from human nucleated cells. Nucleic Acids Res. 1988, 16, 1215. [Google Scholar] [CrossRef]
- Ahn, S.J.; Costa, J.; Rettig Emanuel, J. PicoGreen Quantitation of DNA: Effective Evaluation of Samples Pre-or Psost-PCR. Nucleic Acids Res. 1996, 24, 2623–2625. [Google Scholar] [CrossRef]
- Cawthon, R.M. Telomere measurement by quantitative PCR. Nucleic Acids Res. 2002, 30, e47. [Google Scholar] [CrossRef]
- Mazidi, M.; Rezaie, P.; Covic, A.; Malyszko, J.; Rysz, J.; Kengne, A.P.; Banach, M. Telomere attrition, kidney function, and prevalent chronic kidney disease in the United States. Oncotarget 2017, 8, 80175. [Google Scholar] [CrossRef] [PubMed]
- Eguchi, K.; Honig, L.S.; Lee, J.H.; Hoshide, S.; Kario, K. Short telomere length is associated with renal impairment in Japanese subjects with cardiovascular risk. PLoS ONE 2017, 12, e0176138. [Google Scholar] [CrossRef] [PubMed]
- Wang, J.; Dong, X.; Cao, L.; Sun, Y.; Qiu, Y.; Zhang, Y.; Cao, R.; Covasa, M.; Zhong, L. Association between telomere length and diabetes mellitus: A meta-analysis. J. Int. Med. Res. 2016, 44, 1156–1173. [Google Scholar] [CrossRef]
- Pavanello, S.; Campisi, M.; Rigotti, P.; Bello, M.D.; Nuzzolese, E.; Neri, F.; Furian, L. DNA Methylation—And Telomere—Based Biological Age Estimation as Markers of Biological Aging in Donors Kidneys. Front. Med. 2022, 9, 832411. [Google Scholar] [CrossRef]
- Rigotti, P.; Ekser, B.; Furian, L.; Baldan, N.; Valente, M.L.; Boschiero, L.; Motterlini, N.; Perna, A.; Remuzzi, G.; Ruggenenti, P. Outcome of Renal Transplantation from Very Old Donors. N. Engl. J. Med. 2009, 360, 1464–1465. [Google Scholar] [CrossRef]
- Alexander, J.W.; Bennett, L.E.; Breen, T.J. Effect of donor age on outcome of kidney transplantation. A two-year analysis of transplants reported to the United Network for Organ Sharing Registry. Transplantation 1994, 57, 871–876. [Google Scholar] [CrossRef]
- Hammadah, M.; Al Mheid, I.; Wilmot, K.; Ramadan, R.; Abdelhadi, N.; Alkhoder, A.; Obideen, M.; Pimple, P.M.; Levantsevych, O.; Kelli, H.M.; et al. Telomere Shortening, Regenerative Capacity, and Cardiovascular Outcomes. Circ. Res. 2017, 120, 1130–1138. [Google Scholar] [CrossRef] [PubMed]
- Coleman Lindsley, R. Understanding the Impact of Telomere Length and Mutations on Transplant Outcomes Advances in Hematologic Malignancies eNewsletter 2020; Issue 12. Available online: https://www.dana-farber.org/for-physicians/clinical-resources/hematologic-malignancies/advances-newsletter/2020-issue-12/telomere-length-mutations (accessed on 17 January 2026).






| Recipients (n = 274) | Donors (n = 274) | p Value | |
|---|---|---|---|
| Age (mean ± SD) | 36.9 ± 16.7 | 41.5 ± 16.4 | p < 0.001 |
| Age in decades | |||
| 0–19 | 31 | 53 | |
| 20–29 | 40 | 45 | |
| 30–39 | 45 | 41 | 0.03 |
| 40–49 | 58 | 60 | |
| 50–59 | 61 | 52 | |
| 60+ | 39 | 22 | |
| Sex (men) | 168 (61.3%) | 162 (59.1%) | 0.12 |
| Relative telomere length (mean ± SD) | 1.76 ± 0.56 | 2.39 ± 0.79 | p < 0.001 |
| T/S < 1.97 (n = 189) | T/S 1.97–2.72 (n = 63) | T/S ≥ 2.72 (n = 21) | p Value | |
|---|---|---|---|---|
| Relative telomere length (mean ± SD) | 1.47 ± 0.30 | 2.29 ± 0.21 | 2.9 ± 0.15 | p < 0.001 |
| Age (mean ± SD) | 44.5 ± 15.0 | 36.6 ± 17.0 | 28.8 ± 17.0 | p < 0.001 |
| recipients/donors sex match | ||||
| Male/Male | 75 | 24 | 7 | |
| Male/Female | 46 | 13 | 3 | 0.79 |
| Female/Male | 34 | 15 | 6 | |
| Female/Female | 34 | 11 | 5 | |
| Sex (men) | 121 | 37 | 10 | 0.30 |
| Favourable HLA match | 111 | 34 | 12 | 0.80 |
| Match at DR locus | 102 | 39 | 11 | 0.52 |
| Number of HLA mismatching | ||||
| 0 | 19 | 4 | 2 | |
| 1 | 20 | 12 | 3 | |
| 2 | 71 | 19 | 8 | 0.73 |
| 3 | 64 | 22 | 8 | |
| 4 | 13 | 6 | 0 | |
| 5 | 2 | 0 | 0 | |
| Functioning graft, alive (active follow-up) | 90 | 29 | 9 | |
| Graft failure and the patient died on dialysis | 27 | 7 | 1 | |
| Graft failure, patient alive on dialysis | 26 | 17 | 6 | 0.14 |
| Graft failure, patient alive and transferred | 0 | 1 | 0 | |
| Patient died with a functional graft | 46 | 9 | 5 | |
| Immunosuppressants (CNI, yes) | 140 | 49 | 14 | 0.75 |
| No DM or NODAT | 154 | 53 | 16 | |
| NODAT only | 9 | 5 | 2 | 0.15 |
| Pre-transplant DM | 26 | 5 | 3 | |
| Follow-up time to 2012 (months, mean ± SD) | 206 ± 57.7 | 200 ± 62.3 | 214 ± 73.1 | 0.62 |
| Follow-up time to 2012 of survivors (months, mean ± SD) | 183 ± 53.7 | 184 ± 68.3 | 194 ± 74.7 | 0.86 |
Disclaimer/Publisher’s Note: The statements, opinions and data contained in all publications are solely those of the individual author(s) and contributor(s) and not of MDPI and/or the editor(s). MDPI and/or the editor(s) disclaim responsibility for any injury to people or property resulting from any ideas, methods, instructions or products referred to in the content. |
© 2026 by the authors. Licensee MDPI, Basel, Switzerland. This article is an open access article distributed under the terms and conditions of the Creative Commons Attribution (CC BY) license.
Share and Cite
Abdelrahman, Z.; Maxwell, A.P.; McKnight, A.J. Exploring Telomere Association in Donor–Recipient Pairs: Implications for Kidney Graft Longevity. Life 2026, 16, 216. https://doi.org/10.3390/life16020216
Abdelrahman Z, Maxwell AP, McKnight AJ. Exploring Telomere Association in Donor–Recipient Pairs: Implications for Kidney Graft Longevity. Life. 2026; 16(2):216. https://doi.org/10.3390/life16020216
Chicago/Turabian StyleAbdelrahman, Zeinab, Alexander P. Maxwell, and Amy Jayne McKnight. 2026. "Exploring Telomere Association in Donor–Recipient Pairs: Implications for Kidney Graft Longevity" Life 16, no. 2: 216. https://doi.org/10.3390/life16020216
APA StyleAbdelrahman, Z., Maxwell, A. P., & McKnight, A. J. (2026). Exploring Telomere Association in Donor–Recipient Pairs: Implications for Kidney Graft Longevity. Life, 16(2), 216. https://doi.org/10.3390/life16020216

