Actinomycin Analogs from Soil-Derived Streptomyces sp. PSU-S4-23 with Activity Against MRSA
Abstract
1. Introduction
2. Material and Methods
2.1. Isolation of Strain PSU-S4-23
2.2. Genome Sequencing, Assembly, and Annotation
2.3. Phylogenetic Analysis
2.4. Identification and Netwoking of Putative BGCs
2.5. Crude Extracts Preparation
2.6. Bioactivity Assays
2.7. LC-MS Analysis
3. Results
3.1. Morphological and Genomic Characterization
3.2. Taxonomic Assignment
3.3. Analysis of BGCs
3.4. Antimicrobial-Activity Testing
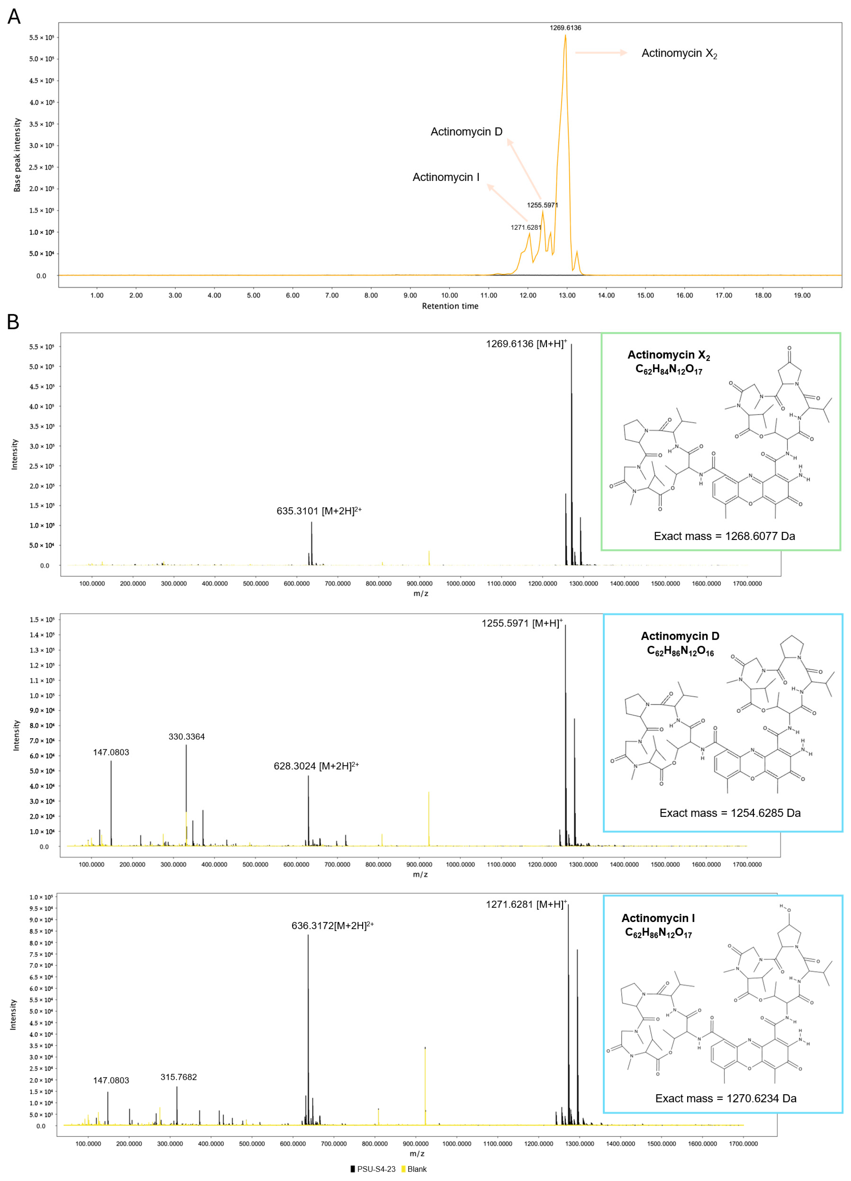
3.5. LC–MS/MS Profiling and Feature-Based Molecular Networking (GNPS)
4. Discussion
5. Conclusions
Supplementary Materials
Author Contributions
Funding
Institutional Review Board Statement
Informed Consent Statement
Data Availability Statement
Conflicts of Interest
References
- De Simeis, D.; Serra, S. Actinomycetes: A never-ending source of bioactive compounds—An overview on antibiotics production. Antibiotics 2021, 10, 483. [Google Scholar] [CrossRef]
- Madhaiyan, M.; Saravanan, V.S.; See-Too, W.-S.; Volpiano, C.G.; Sant’Anna, F.H.; Faria da Mota, F.; Sutcliffe, I.; Sangal, V.; Passaglia, L.M.P.; Rosado, A.S. Genomic and phylogenomic insights into the family Streptomycetaceae lead to the proposal of six novel genera. Int. J. Syst. Evol. Microbiol. 2022, 72, 005570. [Google Scholar] [CrossRef]
- Alam, K.; Mazumder, A.; Sikdar, S.; Zhao, Y.-M.; Hao, J.; Song, C.; Wang, Y.; Sarkar, R.; Islam, S.; Zhang, Y.; et al. Streptomyces: The biofactory of secondary metabolites. Front. Microbiol. 2022, 13, 968053. [Google Scholar] [CrossRef]
- Karamanolis, N.N.; Kounatidis, D.; Vallianou, N.G.; Dimitriou, K.; Tsaroucha, E.; Tsioulos, G.; Anastasiou, I.A.; Mavrothalassitis, E.; Karampela, I.; Dalamaga, M. Unraveling the anti-cancer mechanisms of antibiotics: Current insights, controversies, and future perspectives. Antibiotics 2024, 14, 9. [Google Scholar] [CrossRef] [PubMed]
- Mast, Y.; Stegmann, E. Actinomycetes: The antibiotics producers. Antibiotics 2019, 8, 105. [Google Scholar] [CrossRef] [PubMed]
- Kolmogorov, M.; Yuan, J.; Lin, Y.; Pevzner, P.A. Assembly of long, error-prone reads using repeat graphs. Nat. Biotechnol. 2019, 37, 540–546. [Google Scholar] [CrossRef]
- Gurevich, A.; Saveliev, V.; Vyahhi, N.; Tesler, G. QUAST: Quality assessment tool for genome assemblies. Bioinformatics 2013, 29, 1072–1075. [Google Scholar] [CrossRef]
- Tegenfeldt, F.; Kuznetsov, D.; Manni, M.; Berkeley, M.; Zdobnov, E.M.; Kriventseva, E.V. OrthoDB and BUSCO update: Annotation of orthologs with wider sampling of genomes. Nucleic Acids Res. 2024, 53, D516–D522. [Google Scholar] [CrossRef]
- Parks, D.H.; Imelfort, M.; Skennerton, C.T.; Hugenholtz, P.; Tyson, G.W. CheckM: Assessing the quality of microbial genomes recovered from isolates, single cells, and metagenomes. Genome Res. 2015, 25, 1043–1055. [Google Scholar] [CrossRef] [PubMed]
- Tatusova, T.; DiCuccio, M.; Badretdin, A.; Chetvernin, V.; Nawrocki, E.P.; Zaslavsky, L.; Lomsadze, A.; Pruitt, K.D.; Borodovsky, M.; Ostell, J. NCBI prokaryotic genome annotation pipeline. Nucleic Acids Res. 2016, 44, 6614–6624. [Google Scholar] [CrossRef]
- Cantalapiedra, C.P.; Hernández-Plaza, A.; Letunic, I.; Bork, P.; Huerta-Cepas, J. eggNOG-mapper v2: Functional annotation, orthology assignments, and domain prediction at the metagenomic scale. Mol. Biol. Evol. 2021, 38, 5825–5829. [Google Scholar] [CrossRef]
- Grant, J.R.; Enns, E.; Marinier, E.; Mandal, A.; Herman, E.K.; Chen, C.-Y.; Graham, M.; Van Domselaar, G.; Stothard, P. Proksee: In-depth characterization and visualization of bacterial genomes. Nucleic Acids Res. 2023, 51, W484–W492. [Google Scholar] [CrossRef]
- Seemann, T. Prokka: Rapid prokaryotic genome annotation. Bioinformatics 2014, 30, 2068–2069. [Google Scholar] [CrossRef] [PubMed]
- Alcock, B.P.; Huynh, W.; Chalil, R.; Smith, K.W.; Raphenya, A.R.; Wlodarski, M.A.; Edalatmand, A.; Petkau, A.; Syed, S.A.; Tsang, K.K.; et al. CARD 2023: Expanded curation, support for machine learning, and resistome prediction at the comprehensive antibiotic resistance database. Nucleic Acids Res. 2023, 51, D690–D699. [Google Scholar] [CrossRef] [PubMed]
- Brown, C.L.; Mullet, J.; Hindi, F.; Stoll, J.E.; Gupta, S.; Choi, M.; Keenum, I.; Vikesland, P.; Pruden, A.; Zhang, L. mobileOG-db: A manually curated database of protein families mediating the life cycle of bacterial mobile genetic elements. Appl. Environ. Microbiol. 2022, 88, e00991-22. [Google Scholar] [CrossRef]
- Couvin, D.; Bernheim, A.; Toffano-Nioche, C.; Touchon, M.; Michálik, J.; Néron, B.; Rocha, E.P.C.; Vergnaud, G.; Gautheret, D.; Pourcel, C. CRISPRCasFinder, an update of CRISRFinder, includes a portable version, enhanced performance and integrates search for Cas proteins. Nucleic Acids Res. 2018, 46, W246–W251. [Google Scholar] [CrossRef]
- Wishart, D.S.; Han, S.; Saha, S.; Oler, E.; Peters, H.; Grant, J.R.; Stothard, P.; Gautam, V. PHASTEST: Faster than PHASTER, better than PHAST. Nucleic Acids Res. 2023, 51, W443–W450. [Google Scholar] [CrossRef]
- Carattoli, A.; Zankari, E.; García-Fernández, A.; Voldby Larsen, M.; Lund, O.; Villa, L.; Møller Aarestrup, F.; Hasman, H. In silico detection and typing of plasmids using PlasmidFinder and plasmid multilocus sequence typing. Antimicrob. Agents Chemother. 2014, 58, 3895–3903. [Google Scholar] [CrossRef]
- Yoon, S.-H.; Ha, S.-M.; Kwon, S.; Lim, J.; Kim, Y.; Seo, H.; Chun, J. Introducing EzBioCloud: A taxonomically united database of 16S rRNA gene sequences and whole-genome assemblies. Int. J. Syst. Evol. Microbiol. 2017, 67, 1613–1617. [Google Scholar] [CrossRef]
- Kumar, S.; Stecher, G.; Li, M.; Knyaz, C.; Tamura, K. MEGA X: Molecular evolutionary genetics analysis across computing platforms. Mol. Biol. Evol. 2018, 35, 1547–1549. [Google Scholar] [CrossRef] [PubMed]
- Saitou, N.; Nei, M. The neighbor-joining method: A new method for reconstructing phylogenetic trees. Mol. Biol. Evol. 1987, 4, 406–425. [Google Scholar] [CrossRef]
- Felsenstein, J. Evolutionary trees from DNA sequences: A maximum likelihood approach. J. Mol. Evol. 1981, 17, 368–376. [Google Scholar] [CrossRef]
- Kluge, A.G.; Farris, J.S. Quantitative phyletics and the evolution of anurans. Syst. Biol. 1969, 18, 1–32. [Google Scholar] [CrossRef]
- Alanjary, M.; Steinke, K.; Ziemert, N. AutoMLST: An automated web server for generating multi-locus species trees highlighting natural product potential. Nucleic Acids Res. 2019, 47, W276–W282. [Google Scholar] [CrossRef] [PubMed]
- Meier-Kolthoff, J.P.; Göker, M. TYGS is an automated high-throughput platform for state-of-the-art genome-based taxonomy. Nature Commun. 2019, 10, 2182. [Google Scholar] [CrossRef] [PubMed]
- Richter, M.; Rosselló-Móra, R.; Oliver Glöckner, F.; Peplies, J. JSpeciesWS: A web server for prokaryotic species circumscription based on pairwise genome comparison. Bioinformatics 2016, 32, 929–931. [Google Scholar] [CrossRef] [PubMed]
- Meier-Kolthoff, J.P.; Auch, A.F.; Klenk, H.-P.; Göker, M. Genome sequence-based species delimitation with confidence intervals and improved distance functions. BMC Bioinform. 2013, 14, 60. [Google Scholar] [CrossRef]
- Blin, K.; Shaw, S.; Vader, L.; Szenei, J.; Reitz, Z.L.; Augustijn, H.E.; Cediel-Becerra, J.D.D.; de Crécy-Lagard, V.; Koetsier, R.A.; Williams, S.E.; et al. antiSMASH 8.0: Extended gene cluster detection capabilities and analyses of chemistry, enzymology, and regulation. Nucleic Acids Res. 2025, 53, W32–W38. [Google Scholar] [CrossRef]
- van Heel, A.J.; de Jong, A.; Song, C.; Viel, J.H.; Kok, J.; Kuipers, O.P. BAGEL4: A user-friendly web server to thoroughly mine RiPPs and bacteriocins. Nucleic Acids Res. 2018, 46, W278–W281. [Google Scholar] [CrossRef]
- Navarro-Muñoz, J.C.; Selem-Mojica, N.; Mullowney, M.W.; Kautsar, S.A.; Tryon, J.H.; Parkinson, E.I.; De Los Santos, E.L.C.; Yeong, M.; Cruz-Morales, P.; Abubucker, S.; et al. A computational framework to explore large-scale biosynthetic diversity. Nat. Chem. Biol. 2020, 16, 60–68. [Google Scholar] [CrossRef]
- Shannon, P.; Markiel, A.; Ozier, O.; Baliga, N.S.; Wang, J.T.; Ramage, D.; Amin, N.; Schwikowski, B.; Ideker, T. Cytoscape: A software environment for integrated models of biomolecular interaction networks. Genome Res. 2003, 13, 2498–2504. [Google Scholar] [CrossRef]
- Kautsar, S.A.; Blin, K.; Shaw, S.; Navarro-Muñoz, J.C.; Terlouw, B.R.; van der Hooft, J.J.J.; van Santen, J.A.; Tracanna, V.; Suarez Duran, H.G.; Pascal Andreu, V.; et al. MIBiG 2.0: A repository for biosynthetic gene clusters of known function. Nucleic Acids Res. 2019, 48, D454–D458. [Google Scholar] [CrossRef]
- Khattab, A.I.; Babiker, E.H.; Saeed, H.A. Streptomyces: Isolation, optimization of culture conditions and extraction of secondary metabolites. Int. Curr. Pharm. J. 2016, 5, 27–32. [Google Scholar] [CrossRef]
- Caso, A.; Esposito, G.; Della Sala, G.; Pawlik, J.R.; Teta, R.; Mangoni, A.; Costantino, V. Fast detection of two smenamide family members using molecular networking. Mar. Drugs 2019, 17, 618. [Google Scholar] [CrossRef]
- Wang, M.; Carver, J.J.; Phelan, V.V.; Sanchez, L.M.; Garg, N.; Peng, Y.; Nguyen, D.D.; Watrous, J.; Kapono, C.A.; Luzzatto-Knaan, T. Sharing and community curation of mass spectrometry data with global natural products social molecular networking. Nat. Biotechnol. 2016, 34, 828–837. [Google Scholar] [CrossRef]
- Nothias, L.; Petras, D.; Schmid, R.; Dührkop, K.; Rainer, J.; Sarvepalli, A.; Protsyuk, I.; Ernst, M.; Tsugawa, H.; Fleischauer, M. Feature-based molecular networking in the GNPS analysis environment. Nat. Methods 2020, 17, 905–908. [Google Scholar] [CrossRef]
- Pluskal, T.; Castillo, S.; Villar-Briones, A.; Orešič, M. MZmine 2: Modular framework for processing, visualizing, and analyzing mass spectrometry-based molecular profile data. BMC Bioinform. 2010, 11, 395. [Google Scholar] [CrossRef] [PubMed]
- Horai, H.; Arita, M.; Kanaya, S.; Nihei, Y.; Ikeda, T.; Suwa, K.; Ojima, Y.; Tanaka, K.; Tanaka, S.; Aoshima, K. MassBank: A public repository for sharing mass spectral data for life sciences. J. Mass Spectrom. 2010, 45, 703–714. [Google Scholar] [CrossRef] [PubMed]
- Semsary, S.; Crnovčić, I.; Driller, R.; Vater, J.; Loll, B.; Keller, U. Ketonization of proline residues in the peptide chains of actinomycins by a 4-oxoproline synthase. ChemBioChem 2018, 19, 706–715. [Google Scholar] [CrossRef]
- Liu, M.; Grkovic, T.; Liu, X.; Han, J.; Zhang, L.; Quinn, R.J. A systems approach using OSMAC, Log P and NMR fingerprinting: An approach to novelty. Synth. Syst. Biotechnol. 2017, 2, 276–286. [Google Scholar] [CrossRef]
- Hu, S.; Li, K.; Zhang, Y.; Wang, Y.; Fu, L.; Xiao, Y.; Tang, X.; Gao, J. New insights into the threshold values of multi-locus sequence analysis, average nucleotide identity and digital DNA–DNA hybridization in delineating Streptomyces species. Front. Microbiol. 2022, 13, 910277. [Google Scholar] [CrossRef]
- Huang, H.; Liu, M.; Zhong, W.; Mo, K.; Zhu, J.; Zou, X.; Hu, Y.; Bao, S. Streptomyces caeni sp. nov., isolated from mangrove mud. Int. J. Syst. Evol. Microbiol. 2018, 68, 3080–3083. [Google Scholar] [CrossRef]
- Sedeek, A.M.; Elfeky, H.; Hanora, A.S.; Solyman, S.M. Genomic insights into biosynthesis and adaptation in the bioactive marine bacterium Streptomyces albidoflavus VIP-1 from the Red Sea. BMC Microbiol. 2025, 25, 372. [Google Scholar] [CrossRef] [PubMed]
- Sivapragasam, S.; Grove, A. The link between purine metabolism and production of antibiotics in Streptomyces. Antibiotics 2019, 8, 76. [Google Scholar] [CrossRef]
- Liu, M.; Jia, Y.; Xie, Y.; Zhang, C.; Ma, J.; Sun, C.; Ju, J. Identification of the actinomycin D biosynthetic pathway from marine-derived Streptomyces costaricanus SCSIO ZS0073. Mar. Drugs 2019, 17, 240. [Google Scholar] [CrossRef] [PubMed]
- Keller, U.; Lang, M.; Crnovcic, I.; Pfennig, F.; Schauwecker, F. The actinomycin biosynthetic gene cluster of Streptomyces chrysomallus: A genetic hall of mirrors for synthesis of a molecule with mirror symmetry. J. Bacteriol. 2010, 192, 2583–2595. [Google Scholar] [CrossRef]
- Machushynets, N.V.; Elsayed, S.S.; Du, C.; Siegler, M.A.; de la Cruz, M.; Genilloud, O.; Hankemeier, T.; van Wezel, G.P. Discovery of actinomycin L, a new member of the actinomycin family of antibiotics. Sci. Rep. 2022, 12, 2813. [Google Scholar] [CrossRef]
- Crnovčić, I.; Rückert, C.; Semsary, S.; Lang, M.; Kalinowski, J.; Keller, U. Genetic interrelations in the actinomycin biosynthetic gene clusters of Streptomyces antibioticus IMRU 3720 and Streptomyces chrysomallus ATCC11523, producers of actinomycin X and actinomycin C. Adv. Appl. Bioinform. Chem. 2017, 10, 29–46. [Google Scholar] [CrossRef] [PubMed]
- Nishizawa, T.; Miura, T.; Harada, C.; Guo, Y.; Narisawa, K.; Ohta, H.; Takahashi, H.; Shirai, M. Complete genome sequence of Streptomyces parvulus 2297, integrating site-specifically with actinophage R4. Genome Announc. 2016, 4, 10–1128. [Google Scholar] [CrossRef]
- Praveen, V.; Tripathi, C. Studies on the production of actinomycin-D by Streptomyces griseoruber—A novel source. Lett. Appl. Microbiol. 2009, 49, 450–455. [Google Scholar] [CrossRef]
- Wang, X.; Tabudravu, J.; Rateb, M.; Annand, K.; Qin, Z.; Jaspars, M.; Deng, Z.; Yu, Y.; Deng, H. Identification and characterization of the actinomycin G gene cluster in Streptomyces iakyrus. Mol. Biosyst. 2013, 9, 1286–1289. [Google Scholar] [CrossRef]
- Dahal, R.H.; Nguyen, T.M.; Pandey, R.P.; Yamaguchi, T.; Sohng, J.K.; Noh, J.; Myung, S.W.; Kim, J. The genome insights of Streptomyces lannensis T1317-0309 reveals actinomycin D production. J. Antibiot. 2020, 73, 837–844. [Google Scholar] [CrossRef] [PubMed]
- Qureshi, K.A.; Bholay, A.D.; Rai, P.K.; Mohammed, H.A.; Khan, R.A.; Azam, F.; Jaremko, M.; Emwas, A.-H.; Stefanowicz, P.; Waliczek, M. Isolation, characterization, anti-MRSA evaluation, and in-silico multi-target anti-microbial validations of actinomycin X2 and actinomycin D produced by novel Streptomyces smyrnaeus UKAQ_23. Sci. Rep. 2021, 11, 14539. [Google Scholar] [CrossRef] [PubMed]
- Wang, D.; Wang, C.; Gui, P.; Liu, H.; Khalaf, S.M.; Elsayed, E.A.; Wadaan, M.A.; Hozzein, W.N.; Zhu, W. Identification, bioactivity, and productivity of actinomycins from the marine-derived Streptomyces heliomycini. Front. Microbiol. 2017, 8, 1147. [Google Scholar] [CrossRef] [PubMed]
- Leal, K.; Machuca, J.; Gajardo, H.; Palma, M.; Contreras, M.J.; Nuñez-Montero, K.; Gutiérrez, Á.; Barrientos, L. Structural characterisation of TetR/AcrR regulators in Streptomyces fildesensis So13.3: An in silico CRISPR-based strategy to influence the suppression of actinomycin D production. Int. J. Mol. Sci. 2025, 26, 4839. [Google Scholar] [CrossRef]
- Chandrakar, S.; Gupta, A.K. Actinomycin-producing endophytic Streptomyces parvulus associated with root of aloe vera and optimization of conditions for antibiotic production. Probiot. Antimicrob. Proteins 2019, 11, 1055–1069. [Google Scholar] [CrossRef]
- Sharma, M.; Manhas, R.K. Purification and characterization of actinomycins from Streptomyces strain M7 active against methicillin resistant Staphylococcus aureus and vancomycin resistant Enterococcus. BMC Microbiol. 2019, 19, 44. [Google Scholar] [CrossRef]
- Amin, D.H.; Sayed, H.A.E.; Elissawy, A.M.; EL-Ghwas, D.E.; Singab, A.N.B. Antimicrobial profile of actinomycin D analogs secreted by Egyptian Desert Streptomyces sp. DH7. Antibiotics 2021, 10, 1264. [Google Scholar] [CrossRef]
- Wan, X.; Liu, R.; Jiang, P.; Li, L.; Chen, J.; Wei, H.; Liu, M. Screening, Identification, and pigment characteristics of actinomycin D-producing actinomycetes from purple soil in the Sichuan Basin. Jundishapur J. Nat. Pharm. Prod. 2024, 19, 142936. [Google Scholar] [CrossRef]







| Cluster | Size (bp) | BGC Type | Most Similar Known Cluster | Similarity Confidence | MIBiG Accession |
|---|---|---|---|---|---|
| 1 | 51,854 | T1PKS, hglE-KS | – | – | – |
| 2 | 21,056 | Terpene | Aborycin | Low | BGC0002285 |
| 3 | 41,065 | T3PKS | – | – | – |
| 4 | 10,399 | Ectoine | Ectoine | High | BGC0000853 |
| 5 | 22,601 | Indole | Azodyrecin A/B/C | Low | BGC0002805 |
| 6 | 176,542 | NRPS-like, butyrolactone, T1PKS, NRPS | Tripartilactam/ niizalactam C | Medium | BGC0002517 |
| 7 | 29,773 | NI-siderophore | Desferrioxamin B/E | High | BGC0000940 |
| 8 | 26,458 | Lanthipeptide-class-i | – | – | – |
| 9 | 72,504 | T2PKS | Spore pigment | Medium | BGC0000271 |
| 10 | 41,761 | NRPS-like | Echinomycin | Low | BGC0000339 |
| 11 | 12,829 | Hydrogen-cyanide | – | ||
| 12 | 21,056 | Terpene | Albaflavenone | High | BGC0000660 |
| 13 | 21,125 | Terpene-precursor | – | – | – |
| 14 | 29,959 | NI-siderophore | – | – | – |
| 15 | 25,271 | Terpene | Carotenoid | Medium | BGC0000633 |
| 16 | 11,341 | RiPP-like | 14-hydroxyisochainin | Low | BGC0002788 |
| 17 | 22,172 | Terpene | Geosmin | High | BGC0001181 |
| 18 | 84,785 | transAT-PKS, NRPS, T1PKS, PKS-like | Largimycin A1/A2/A3 | Low | BGC0001853 |
| 19 | 78,990 | NI-siderophore, T2PKS, butyrolactone | Grincamycin | Low | BGC0000229 |
| 20 | 60,537 | NRPS | Actinomycin D | High | BGC0000296 |
| 21 | 26,763 | Terpene | Hopene | High | BGC0000663 |
| 22 | 43,072 | T1PKS, butyrolactone | Galtamycin C/D | Low | BGC0002140 |
| 23 | 22,787 | Redox-cofactor | – | – | – |
| 24 | 10,216 | RiPP-like | Informatipeptin | Low | BGC0000518 |
Disclaimer/Publisher’s Note: The statements, opinions and data contained in all publications are solely those of the individual author(s) and contributor(s) and not of MDPI and/or the editor(s). MDPI and/or the editor(s) disclaim responsibility for any injury to people or property resulting from any ideas, methods, instructions or products referred to in the content. |
© 2025 by the authors. Licensee MDPI, Basel, Switzerland. This article is an open access article distributed under the terms and conditions of the Creative Commons Attribution (CC BY) license.
Share and Cite
Klaysubun, C.; Singkhamanan, K.; Wonglapsuwan, M.; Chusri, S.; Pomwised, R.; Surachat, K. Actinomycin Analogs from Soil-Derived Streptomyces sp. PSU-S4-23 with Activity Against MRSA. Life 2026, 16, 32. https://doi.org/10.3390/life16010032
Klaysubun C, Singkhamanan K, Wonglapsuwan M, Chusri S, Pomwised R, Surachat K. Actinomycin Analogs from Soil-Derived Streptomyces sp. PSU-S4-23 with Activity Against MRSA. Life. 2026; 16(1):32. https://doi.org/10.3390/life16010032
Chicago/Turabian StyleKlaysubun, Chollachai, Kamonnut Singkhamanan, Monwadee Wonglapsuwan, Sarunyou Chusri, Rattanaruji Pomwised, and Komwit Surachat. 2026. "Actinomycin Analogs from Soil-Derived Streptomyces sp. PSU-S4-23 with Activity Against MRSA" Life 16, no. 1: 32. https://doi.org/10.3390/life16010032
APA StyleKlaysubun, C., Singkhamanan, K., Wonglapsuwan, M., Chusri, S., Pomwised, R., & Surachat, K. (2026). Actinomycin Analogs from Soil-Derived Streptomyces sp. PSU-S4-23 with Activity Against MRSA. Life, 16(1), 32. https://doi.org/10.3390/life16010032

