Effects of Sprint Interval Training on Brain Fatigue Resistance in Competitive Skateboarders: Evidence from EEG, HRV, and VAS Measures
Abstract
1. Introduction
2. Materials and Methods
2.1. Research Design
2.2. Participants
2.3. Experimental Procedures
2.4. Testing Procedures
2.4.1. Electroencephalography (EEG)
2.4.2. Heart Rate Variability (HRV)
2.4.3. Subjective Measurement
2.5. Statistical Analyses
3. Results
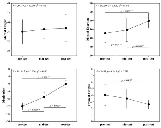
3.1. EEG
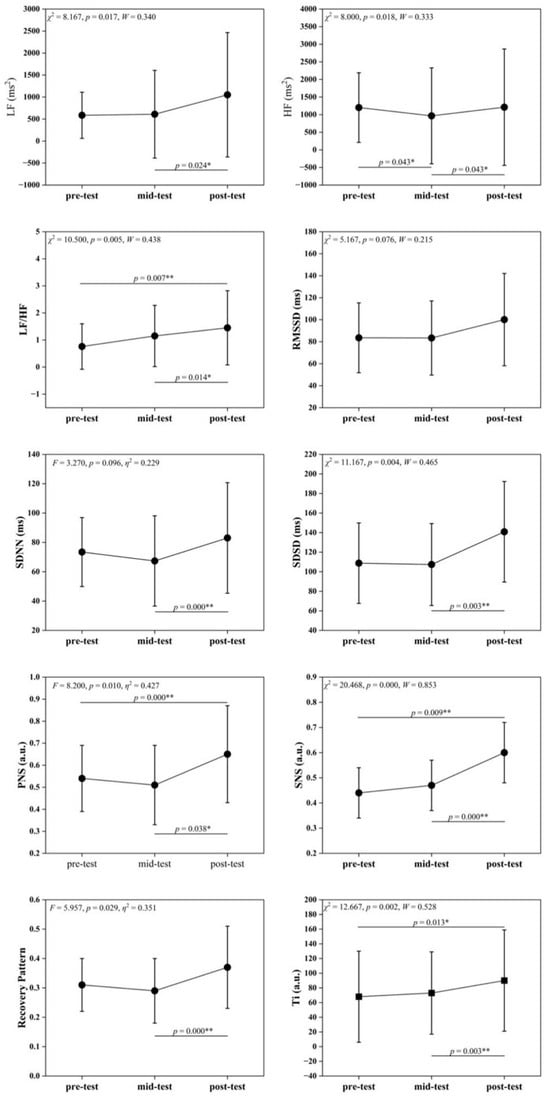
3.2. HRV
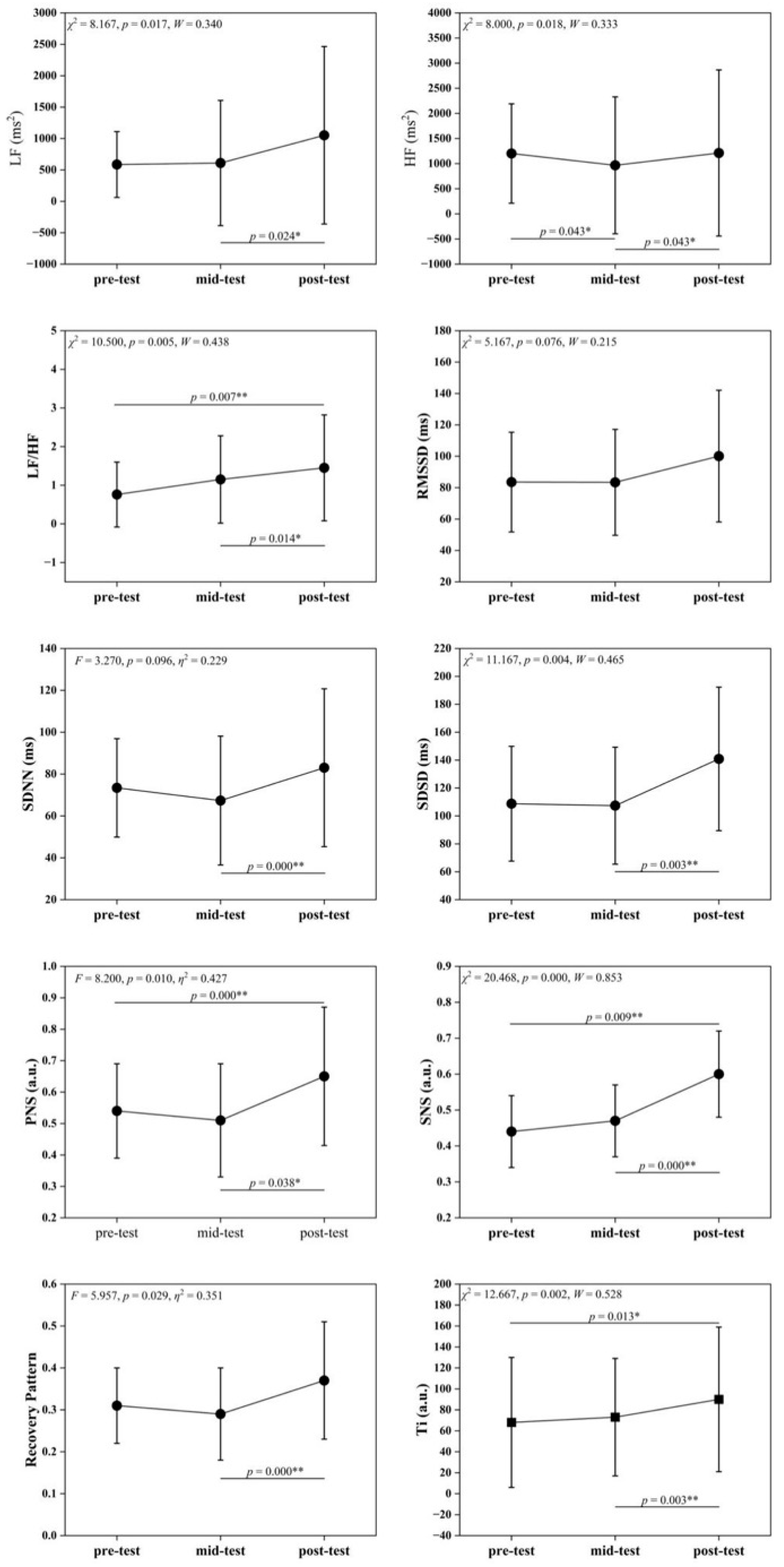
3.3. VAS
4. Discussion
4.1. Effects of Sprint Interval Training on EEG Results
4.2. Effects of Sprint Interval Training on HRV Results
4.3. Effects of Sprint Interval Training on VAS Results
4.4. Limitations and Future Research
5. Conclusions
Supplementary Materials
Author Contributions
Funding
Institutional Review Board Statement
Informed Consent Statement
Data Availability Statement
Acknowledgments
Conflicts of Interest
Abbreviations
| SIT | Sprint Interval Training |
| MF | Mental Fatigue |
| EEG | Electroencephalography |
| HRV | Heart Rate Variability |
| VAS | Visual Analogue Scale |
| CNS | Central Nervous System |
| HIIT | High-Intensity Interval Training |
| HRmax | Maximal Heart Rate |
| RPE | Rating of Perceived Exertion |
| SDNN | Standard Deviation of Normal-to-Normal Intervals |
| RMSSD | Root Mean Square of Successive Differences |
| ANS | Autonomic Nervous System |
| PNS | Parasympathetic Nervous System |
| SNS | Sympathetic Nervous System |
| Ti | Tension Index |
| ME | Mental Exertion |
| MO | Motivation |
| PF | Physical Fatigue |
| RP | Recovery Pattern |
References
- Fouillot, C.; Saulière, G.; Antero, J.; Sedeaud, A.; Toussaint, J.F. Skateboarding’s Olympic journey: Do the performance profiles of top athletes remain consistent? Front. Physiol. 2025, 16, 1548442. [Google Scholar] [CrossRef] [PubMed]
- Diewald, S.N.; Noth, N.; Mancini, N.; Neville, J.; Cronin, J.; Cross, M.R. Development and Reliability of a Street Skateboarding Notational Analysis Framework and Application. Appl. Sci. 2025, 15, 5011. [Google Scholar] [CrossRef]
- Baus, J.; Nguyen, E.; Harry, J.R.; Yang, J. Relevant Biomechanical Variables in Skateboarding: A Literature Review. Crit. Rev. Biomed. Eng. 2024, 52, 29–39. [Google Scholar] [CrossRef] [PubMed]
- McIntosh, A.S.; Patton, D.A.; McIntosh, A.G. Managing head injury risks in competitive skateboarding: What do we know? Br. J. Sports Med. 2021, 55, 836–842. [Google Scholar] [CrossRef]
- Rodríguez-Rivadulla, A.; Saavedra-García, M.; Arriaza-Loureda, R. Skateboarding Injuries in Spain: A Web-Based Survey Approach. Orthop. J. Sports Med. 2020, 8, 2325967119884907. [Google Scholar] [CrossRef]
- Abdullah, M.A.; Ibrahim, M.A.R.; Shapiee, M.N.A.; Zakaria, M.A.; Razman, M.A.M.; Musa, R.M.; Osman, N.A.A.; Majeed, A.P.P.A. The classification of skateboarding tricks via transfer learning pipelines. PeerJ Comput. Sci. 2021, 7, e680. [Google Scholar] [CrossRef]
- Rubio-Morales, A.; Díaz-García, J.; Russell, S.; López-Gajardo, M.Á.; Ponce-Bordón, J.C.; García-Calvo, T. Does latest match outcome influence subsequent mental training demands and mental fatigue? A longitudinal study in youth-elite soccer. Int. J. Sport Exerc. Psychol. 2025, 1–14. [Google Scholar] [CrossRef]
- Imai, D.; Takeda, R.; Kawai, E.; Saho, K.; Ota, A.; Morita, E.; Suzuki, Y.; Yokoyama, H.; Okazaki, K. Mental fatigue accompanied with whole body cold exposure before exercise impairs endurance exercise performance. FASEB J. 2021, 35. [Google Scholar] [CrossRef]
- Shuman, K.M.; Meyers, M.C. Skateboarding injuries: An updated review. Phys. Sportsmed. 2015, 43, 317–323. [Google Scholar] [CrossRef]
- Hetzler, R.K.; Hunt, I.; Stickley, C.D.; Kimura, I.F. Selected metabolic responses to skateboarding. Res. Q. Exerc. Sport 2011, 82, 788–793. [Google Scholar] [CrossRef]
- Diewald, S.N.; Neville, J.; Cronin, J.B.; Read, D.; Cross, M.R. Skating into the Unknown: Scoping the Physical, Technical, and Tactical Demands of Competitive Skateboarding. Sports Med. 2024, 54, 1399–1418. [Google Scholar] [CrossRef] [PubMed]
- Boullosa, D.; Dragutinovic, B.; Feuerbacher, J.F.; Benítez-Flores, S.; Coyle, E.F.; Schumann, M. Effects of short sprint interval training on aerobic and anaerobic indices: A systematic review and meta-analysis. Scand. J. Med. Sci. Sports 2022, 32, 810–820. [Google Scholar] [CrossRef] [PubMed]
- Hall, A.J.; Aspe, R.R.; Craig, T.P.; Kavaliauskas, M.; Babraj, J.; Swinton, P.A. The Effects of Sprint Interval Training on Physical Performance: A Systematic Review and Meta-Analysis. J. Strength Cond. Res. 2023, 37, 457–481. [Google Scholar] [CrossRef] [PubMed]
- Jordan, A.R.; Claxton, D.; Purvis, A.; Barnes, A.; Fysh, M. Sprint interval training on the vertical treadmill improves aerobic and anaerobic running performance. J. Exerc. Rehabil. 2018, 14, 106–112. [Google Scholar] [CrossRef]
- Yuan, R.; Sun, H.; Soh, K.G.; Mohammadi, A.; Toumi, Z.; Zhang, Z. The effects of mental fatigue on sport-specific motor performance among team sport athletes: A systematic scoping review. Front. Psychol. 2023, 14, 1143618. [Google Scholar] [CrossRef]
- Jacquet, T.; Poulin-Charronnat, B.; Bard, P.; Perra, J.; Lepers, R. Physical Activity and Music to Counteract Mental Fatigue. Neuroscience 2021, 478, 75–88. [Google Scholar] [CrossRef]
- Reycraft, J.T.; Islam, H.; Townsend, L.K.; Hayward, G.C.; Hazell, T.J.; Macpherson, R.E.K. Exercise Intensity and Recovery on Circulating Brain-derived Neurotrophic Factor. Med. Sci. Sports Exerc. 2020, 52, 1210–1217. [Google Scholar] [CrossRef]
- Cunningham, P.; Geary, M.; Harper, R.; Pendleton, A.; Stover, S. High intensity sprint training reduces lipid peroxidation in fast-twitch skeletal muscle. J. Exerc. Physiol. Online 2005, 8, 18–25. [Google Scholar]
- Hadjispyrou, S.; Dinas, P.C.; Delitheos, S.M.; Koumprentziotis, I.A.; Chryssanthopoulos, C.; Philippou, A. The Effect of High-Intensity Interval Training on Mitochondrial-Associated Indices in Overweight and Obese Adults: A Systematic Review and Meta-Analysis. Front. Biosci. (Landmark Ed.) 2023, 28, 281. [Google Scholar] [CrossRef]
- El Hayek, L.; Khalifeh, M.; Zibara, V.; Assaad, R.A.; Emmanuel, N.; Karnib, N.; EIGhandour, R.; Nasrallah, P.; Bilen, M.; Ibrahim, P.; et al. Lactate Mediates the Effects of Exercise on Learning and Memory through SIRT1-Dependent Activation of Hippocampal Brain-Derived Neurotrophic Factor (BDNF). J. Neurosci. 2019, 39, 2369–2382. [Google Scholar] [CrossRef]
- Xue, X.; Liu, B.; Hu, J.; Bian, X.; Lou, S. The potential mechanisms of lactate in mediating exercise-enhanced cognitive function: A dual role as an energy supply substrate and a signaling molecule. Nutr. Metab. 2022, 19, 52. [Google Scholar] [CrossRef] [PubMed]
- Gökçe, E.; Adıgüzel, E.; Koçak, Ö.K.; Kılınç, H.; Langeard, A.; Boran, E.; Cengiz, B. Impact of Acute High-intensity Interval Training on Cortical Excitability, M1-related Cognitive Functions, and Myokines: A Randomized Crossover Study. Neuroscience 2024, 551, 290–298. [Google Scholar] [CrossRef]
- Li, Q.; Zhang, L.; Zhang, Z.; Wang, Y.; Zuo, C.; Bo, S. A Shorter-Bout of HIIT Is More Effective to Promote Serum BDNF and VEGF-A Levels and Improve Cognitive Function in Healthy Young Men. Front. Physiol. 2022, 13, 898603. [Google Scholar] [CrossRef] [PubMed]
- Liu, K.; Zhao, W.; Li, C.; Tian, Y.; Wang, L.; Zhong, J.; Yan, X.; Wang, Y.; Wang, L.; Wang, H. The effects of high-intensity interval training on cognitive performance: A systematic review and meta-analysis. Sci. Rep. 2024, 14, 32082. [Google Scholar] [CrossRef]
- Hatfield, B.D.; Landers, D.M. Psychophysiology and motor performance: An elite-athlete approach. Med. Sci. Sports Exerc. 1987, 19, S74–S79. [Google Scholar]
- Eysenck, M.W.; Calvo, M.G. Anxiety and performance: The processing efficiency theory. Personal. Individ. Differ. 1992, 13, 825–837. [Google Scholar]
- Bortoli, L.; Bertollo, M.; Hanin, Y.; Robazza, C. Striving for excellence: A multi-action plan (MAP) intervention model for shooters. Psychol. Sport Exerc. 2012, 13, 693–701. [Google Scholar] [CrossRef]
- Robazza, C.; Pellizzari, M.; Hanin, Y. Emotion self-regulation and athletic performance: An application of the IZOF model. Psychology of Sport and Exercise 2004, 5, 379–404. [Google Scholar] [CrossRef]
- Bertollo, M.; Bortoli, L.; Gramaccioni, G.; Robazza, S.; Comani, N.; Di Fronso, G.; Riva, F.; Han, A. Do psychophysiological states matter? MAP-based evidence in elite sport. Int. J. Sport Psychol. 2020, 51, 481–505. [Google Scholar]
- Arakawa, H.; Kumagawa, D.; Fujisaki, I.; Ozawa, Y.; Ishige, Y. Development of the Rope-Climbing Ergometer for Physical Training and Testing. Sports Med. Int. Open 2017, 1, E128–E134. [Google Scholar] [CrossRef][Green Version]
- Martin, K.; Staiano, W.; Menaspà, P.; Hennessey, T.; Marcora, S.; Keegan, R.; Thompson, K.G.; Martin, D.; Halson, S.; Rattray, B. Superior Inhibitory Control and Resistance to Mental Fatigue in Professional Road Cyclists. PLoS ONE 2016, 11, e0159907. [Google Scholar] [CrossRef] [PubMed]
- Astorino, T.A.; Bogdanis, G.C.; Costa, E.C. Heart rate and oxygen uptake during recovery from high-intensity interval training: A retrospective analysis. Int. J. Environ. Res. Public Health 2025, 22, 999. [Google Scholar] [CrossRef] [PubMed]
- Faro, H.; Cavalcante Silva, D.; Barbosa, B.T.; Costa, Y.P.; Freitas, C.G.; Lima, D.; Faubert, J.; Fortes, L.S. Young Basketball Players’ Multiple Object Tracking Skills Were Unaffected by Stroop-Induced Mental Fatigue. Percept. Mot. Ski. 2023, 130, 2161–2176. [Google Scholar] [CrossRef] [PubMed]
- Gan, J.; Dong, G.; Xu, Y.; Chen, Y.; Zhang, Y.; Gao, Q.; Bao, D. Establishing the minimal important difference of the visual analog scale for assessing exercise-induced fatigue. BMC Sports Sci. Med. Rehabil. 2025, 17, 69. [Google Scholar] [CrossRef]
- Martin, K.; Thompson, K.G.; Keegan, R.; Ball, N.; Rattray, B. Mental fatigue does not affect maximal anaerobic exercise performance. Eur. J. Appl. Physiol. 2015, 115, 715–725. [Google Scholar] [CrossRef]
- Dunn, O.J. Multiple comparisons among means. J. Am. Stat. Assoc. 1961, 56, 52–64. [Google Scholar] [CrossRef]
- Cohen, J. Statistical Power Analysis for the Behavioral Sciences, 2nd ed.; Lawrence Erlbaum Associates: Mahwah, NJ, USA, 1988. [Google Scholar]
- Fritz, C.O.; Morris, P.E.; Richler, J.J. Effect size estimates: Current use, calculations, and interpretation. J. Exp. Psychol. Gen. 2012, 141, 2–18. [Google Scholar] [CrossRef]
- Koedijker, J.M.; Poolton, J.M.; Maxwell, J.P.; Oudejans, R.R.; Beek, P.J.; Masters, R.S. Attention and time constraints in perceptual-motor learning and performance: Instruction, analogy, and skill level. Conscious. Cogn. 2011, 20, 245–256. [Google Scholar] [CrossRef]
- Miranda, M.; Morici, J.F.; Zanoni, M.B.; Bekinschtein, P. Brain-Derived Neurotrophic Factor: A Key Molecule for Memory in the Healthy and the Pathological Brain. Front. Cell. Neurosci. 2019, 13, 363. [Google Scholar] [CrossRef]
- Swerdloff, M.M.; Hargrove, L.J. Dry EEG measurement of P3 to evaluate cognitive load during sitting, standing, and walking. PLoS ONE 2023, 18, e0287885. [Google Scholar] [CrossRef]
- Zheng, S.; Man, X. An Improved Logistic Regression Method for Assessing the Performance of Track and Field Sports. Comput. Intell. Neurosci. 2022, 2022, 6341495. [Google Scholar] [CrossRef] [PubMed]
- Bricout, V.A.; Dechenaud, S.; Favre-Juvin, A. Analyses of heart rate variability in young soccer players: The effects of sport activity. Auton. Neurosci. 2010, 154, 112–116. [Google Scholar] [CrossRef] [PubMed]
- Stanley, J.; Peake, J.M.; Buchheit, M. Cardiac parasympathetic reactivation following exercise: Implications for training prescription. Sports Med. 2013, 43, 1259–1277. [Google Scholar] [CrossRef] [PubMed]
- Lucini, D.; Marchetti, I.; Spataro, A.; Malacarne, M.; Benzi, M.; Tamorri, S.; Sala, R.; Pagani, M. Heart rate variability to monitor performance in elite athletes: Criticalities and avoidable pitfalls. Int. J. Cardiol. 2017, 240, 307–312. [Google Scholar] [CrossRef]
- Ye, Y.; Tong, T.K.; Kong, Z.; Tao, E.D.; Ying, X.; Nie, J. Cardiac autonomic disturbance following sprint-interval exercise in untrained young males: Does exercise volume matter? J. Exerc. Sci. Fit. 2022, 20, 32–39. [Google Scholar] [CrossRef]
- Wang, W.; Shao, M.; Du, W.; Xu, Y. Impact of exhaustive exercise on autonomic nervous system activity: Insights from HRV analysis. Front. Physiol. 2024, 15, 1462082. [Google Scholar] [CrossRef]
- Olmos-Peñarroja, M.; Ortís, L.; Pons, A. Heart Rate Variability in Elite Team Sports: A Systematic Review. Open Access J. Dis. Glob. Health 2024, 2, 1–12. [Google Scholar] [CrossRef]
- Tyler, J.; Podaras, M.; Richardson, B.; Roeder, N.; Hammond, N.; Hamilton, J.; Blum, K.; Gold, M.; Baron, D.A.; Thanos, P.K. High intensity interval training exercise increases dopamine D2 levels and modulates brain dopamine signaling. Front. Public Health 2023, 11, 1257629. [Google Scholar] [CrossRef]
- Tekin, R.T.; Kudas, S.; Buran, M.M.; Cabuk, S.; Akbasli, O.; Uludag, V.; Yosmaoglu, H.B. The relationship between resting heart rate variability and sportive performance, sleep and body awareness in soccer players. BMC Sports Sci. Med. Rehabil. 2025, 17, 58. [Google Scholar] [CrossRef]



| Indicators | Definition and Interpretation |
|---|---|
| CNS Activation Level | Measures central nervous system arousal based on DC potential. Reflects the brain’s readiness and wakefulness. Optimal range indicates healthy CNS function; values below zero suggest central fatigue relative to the athlete’s individual baseline. Values are interpreted relative to manufacturer-provided normative guidelines and each athlete’s individual baseline, rather than against a fixed universal cut-off. |
| DC Curve Grade | Qualitative rating of the trend in physiological/psychological response (scale-based ordinal rating provided by the manufacturer). Higher grades indicate increasing activation or stress response trend. |
| DC Stabilization Level | Categorical assessment of how steady the DC potential signal is, indicating the stability of CNS regulation. DC Curve Grade and DC Stabilization Level are ordinal categories provided by the manufacturer; higher grades/levels indicate a more pronounced response trend and greater signal stability, respectively. |
| DC Stabilization (mV) | Quantitative DC potential measure (in millivolts), indicating absolute stability of the DC waveform. |
| DC Stabilization Time (sec) | Time required for the DC potential to reach a stable steady-state, reflecting how quickly the CNS returns to equilibrium. |
| DC Tension Exhaustion Level | Indicates degree of CNS depletion after prolonged activity or stress, representing both physiological and psychological resource exhaustion. |
| Indicators | Definition and Interpretation |
|---|---|
| LF (ms2) | Power in the low-frequency band (0.04–0.15 Hz); reflects mixed sympathetic and parasympathetic activity, often associated with baroreflex function |
| HF (ms2) | Power in the high-frequency band (0.15–0.40 Hz); primarily indicative of parasympathetic (vagal) activity, associated with respiratory sinus arrhythmia |
| LF/HF | Ratio of LF to HF; commonly used to estimate sympathovagal balance, albeit with interpretation controversies |
| RMSSD (ms) | Root Mean Square of Successive Differences between adjacent RR intervals; sensitive to vagal modulation and widely used in short-term HRV analysis |
| SDNN (ms) | Standard Deviation of NN intervals; reflects overall HRV, encompassing both sympathetic and parasympathetic influences over the recording period |
| SDSD (ms) | Standard Deviation of Successive Differences in RR intervals; similar to RMSSD, capturing beat-to-beat variance |
| PNS (a.u.) | Parasympathetic Nervous System index: OmegaWave-derived score based on HRV modeling to quantify vagal tone and recovery state |
| SNS (a.u.) | Sympathetic Nervous System index: OmegaWave-derived score representing sympathetic activation magnitude based on HRV features |
| RP | Reflects daily vagal tone and recovery pattern; indicates whether cardiac autonomic state is shifting toward sympathetic or parasympathetic dominance |
| Ti (a.u.) | Quantifies cardiac tension or sympathetic stress based on HRV-derived features; higher values indicate elevated physiological strain |
| Variable | Pre-Intervention Mean ± SD (Min–Max) | Mid-Intervention Mean ± SD (Min–Max) | Post-Intervention Mean ± SD (Min–Max) | F/χ2 | p | η2/W |
|---|---|---|---|---|---|---|
| CNS Activation Level | 0.63 ± 5.89 bc (−8.37–9.32) | 7.34 ± 9.39 a (−8.64–24.19) | 8.66 ± 10.31 a (−6.75–29.54) | 6.839 | 0.018 * | 0.383 |
| DC Curve Grade | 3.68 ± 1.04 (2.60–6.65) | 3.61 ± 1.52 c (1.20–6.86) | 4.78 ± 1.95 b (1.47–8.73) | 10.667 | 0.005 ** | 0.444 |
| DC Stabilization Level | 3.50 ± 1.07 bc (1.99–5.41) | 4.51 ± 1.47 ac (1.96–6.01) | 5.44 ± 1.86 ab (2.40–8.57) | 12.211 | 0.003 ** | 0.526 |
| DC Stabilization (mV) | 0.19 ± 6.09 c (−8.14–10.01) | 7.01 ± 9.29 (−8.54–24.18) | 8.63 ± 10.50 a (−6.71–29.53) | 12.167 | 0.002 ** | 0.507 |
| DC Stabilization Time (sec) | 107.85 ± 1.02 c (104.62–108.15) | 110.58 ± 5.82 c (104.28–121.11) | 134.86 ± 7.86 ab (126.73–150.14) | 19.478 | 0.000 ** | 0.812 |
| DC Tension Exhaustion Level | −2.65 ± 1.10 (−4.09–−0.93) | −1.90 ± 1.20 (−4.14–0.03) | −2.43 ± 1.53 (−5.05–0.04) | 5.167 | 0.076 | 0.215 |
| Variable | Pre-Intervention Mean ± SD (Min–Max) | Mid-Intervention Mean ± SD (Min–Max) | Post-Intervention Mean ± SD (Min–Max) | F/χ2 | p | η2/W |
|---|---|---|---|---|---|---|
| LF (ms2) | 585.35 ± 524.12 (34.33–1987.64) | 609.36 ± 997.34 c (55.25–3397.04) | 1051.17 ± 1413.01 b (67.61–4114.50) | 8.167 | 0.017 * | 0.340 |
| HF (ms2) | 1201.09 ± 988.92 b (93.47–3561.06) | 966.57 ± 1361.82 ac (32.46–4787.21) | 1211.65 ± 1653.00 b (40.00–5852.43) | 8.000 | 0.018 * | 0.333 |
| LF/HF | 0.76 ± 0.84 c (0.18–2.69) | 1.15 ± 1.13 c (0.08–3.31) | 1.45 ± 1.37 ab (0.10–4.04) | 10.500 | 0.005 ** | 0.438 |
| RMSSD (ms) | 83.55 ± 31.75 (46.86–163.66) | 83.39 ± 33.72 (43.69–169.97) | 100.11 ± 41.94 (53.30–208.36) | 5.167 | 0.076 | 0.215 |
| SDNN (ms) | 73.41 ± 23.51 (31.20–117.61) | 67.35 ± 30.79 c (29.26–136.01) | 83.03 ± 37.71 a (35.69–166.90) | 3.270 | 0.096 | 0.229 |
| SDSD (ms) | 108.76 ± 41.09 (60.39–215.24) | 107.36 ± 41.90 c (58.36–216.44) | 140.87 ± 51.42 b (71.27–264.31) | 11.167 | 0.004 ** | 0.465 |
| PNS (a.u.) | 0.54 ± 0.15 c (0.25–0.75) | 0.51 ± 0.18 c (0.27–0.86) | 0.65 ± 0.22 ab (0.33–1.05) | 8.200 | 0.010 * | 0.427 |
| SNS (a.u.) | 0.44 ± 0.10 c (0.32–0.67) | 0.47 ± 0.10 c (0.30–0.65) | 0.60 ± 0.12 ab (0.30–0.79) | 20.468 | 0.000 ** | 0.853 |
| RP | 0.31 ± 0.09 (0.13–0.44) | 0.29 ± 0.11 c (0.14–0.51) | 0.37 ± 0.14 b (0.17–0.63) | 5.957 | 0.029 * | 0.351 |
| Ti (a.u.) | 68 ± 62 c (19–250) | 73 ± 56 c (12–223) | 90 ± 69 ab (15–273) | 12.667 | 0.002 ** | 0.528 |
| Variable | Pre-Intervention Mean ± SD (Min–Max) | Mid-Intervention Mean ± SD (Min–Max) | Post-Intervention Mean ± SD (Min–Max) | F | p | η2 |
|---|---|---|---|---|---|---|
| MF | 36.06 ± 5.04 (30.08–44.31) | 37.08 ± 3.96 (31.75–45.47) | 37.51 ± 5.71 (28.46–47.70) | 1.156 | 0.333 | 0.095 |
| ME | 45.56 ± 10.69 bc (27.85–60.17) | 49.48 ± 13.46 ac (28.35–68.81) | 59.73 ± 8.24 ac (45.63–71.25) | 39.759 | 0.000 ** | 0.783 |
| MO | −11.95 ± 1.89 bc (−14.56–−8.42) | −6.94 ± 2.24 ac (−11.43–−3.05) | −0.04 ± 1.72 ac (−2.79–2.24) | 145.617 | 0.000 ** | 0.930 |
| PF | 4.02 ± 1.63 c (1.35–6.62) | 3.48 ± 1.46 (1.47–6.14) | 2.58 ± 0.68 a (1.81–3.87) | 3.494 | 0.048 * | 0.241 |
Disclaimer/Publisher’s Note: The statements, opinions and data contained in all publications are solely those of the individual author(s) and contributor(s) and not of MDPI and/or the editor(s). MDPI and/or the editor(s) disclaim responsibility for any injury to people or property resulting from any ideas, methods, instructions or products referred to in the content. |
© 2025 by the authors. Licensee MDPI, Basel, Switzerland. This article is an open access article distributed under the terms and conditions of the Creative Commons Attribution (CC BY) license.
Share and Cite
Yang, M.; Guo, Y.; Zhao, K. Effects of Sprint Interval Training on Brain Fatigue Resistance in Competitive Skateboarders: Evidence from EEG, HRV, and VAS Measures. Life 2026, 16, 25. https://doi.org/10.3390/life16010025
Yang M, Guo Y, Zhao K. Effects of Sprint Interval Training on Brain Fatigue Resistance in Competitive Skateboarders: Evidence from EEG, HRV, and VAS Measures. Life. 2026; 16(1):25. https://doi.org/10.3390/life16010025
Chicago/Turabian StyleYang, Mulin, Yuqiang Guo, and Kewei Zhao. 2026. "Effects of Sprint Interval Training on Brain Fatigue Resistance in Competitive Skateboarders: Evidence from EEG, HRV, and VAS Measures" Life 16, no. 1: 25. https://doi.org/10.3390/life16010025
APA StyleYang, M., Guo, Y., & Zhao, K. (2026). Effects of Sprint Interval Training on Brain Fatigue Resistance in Competitive Skateboarders: Evidence from EEG, HRV, and VAS Measures. Life, 16(1), 25. https://doi.org/10.3390/life16010025

