Exogenous Melatonin Induces Salt Stress Tolerance in Cucumber by Promoting Plant Growth and Defense System
Simple Summary
Abstract
1. Introduction
2. Materials and Methods
2.1. Plant Materials
2.2. MT Concentration Screening
2.3. Morphological Index Determination
2.4. Determination of Fresh and Dry Matter Masses
2.5. Determination of Physiological and Biochemical Indicators
2.6. Chlorophyll Contents
2.7. Quantitative Real-Time RT-qPCR
2.8. Data Processing and Analysis
3. Results
3.1. The Effect of Exogenous MT on Cucumber Seed Germination Under Salt Stress
3.2. The Effects of Different Concentrations of MT on the Growth Indices of Cucumber Seedlings Under Salt Stress
3.3. The Effects of MT Treatments at Different Concentrations on SOD, POD, CAT, and MDA in Cucumber Seedling Leaves and Roots Under Salt Stress
3.4. The Effect of Different Concentrations of MT on Soluble Protein in Cucumber Seedling Leaves and Roots Under Salt Stress
3.5. The Impact of Different Concentrations of MT on Chlorophyll Content in Cucumber Seedling Leaves and Roots Under Salt Stress
3.6. Correlation Analysis, Principal Component Analysis, and Comprehensive Evaluation Using the Membership Function of Exogenous Melatonin Treatment on Cucumber Seedlings Under Salt Stress
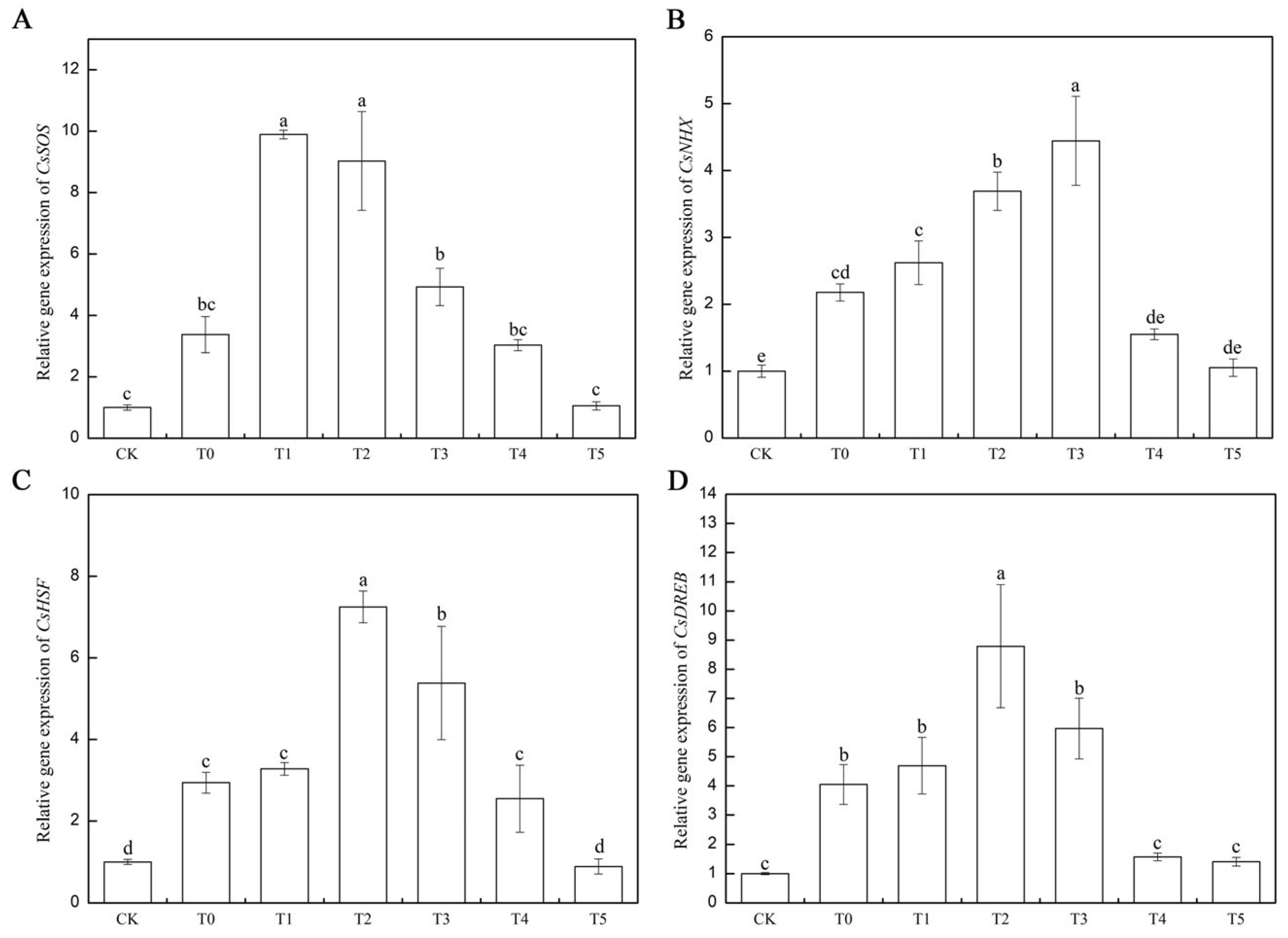
3.7. Melatonin Regulates the Salt Stress-Responsive Genes
4. Discussion
5. Conclusions
Supplementary Materials
Author Contributions
Funding
Institutional Review Board Statement
Informed Consent Statement
Data Availability Statement
Acknowledgments
Conflicts of Interest
References
- Zhou, H.; Shi, H.; Yang, Y.; Feng, X.F.; Chen, X.; Xiao, F.; Lin, H.; Guo, Y. Insights into plant salt stress signaling and tolerance. J. Genet. Genom. 2024, 51, 16–34. [Google Scholar] [CrossRef]
- Zhao, S.S.; Zhang, Q.K.; Liu, M.Y.; Zhou, H.; Ma, C.; Wang, P. Regulation of plant responses to salt stress. Int. J. Mol. Sci. 2021, 22, 4609. [Google Scholar] [CrossRef] [PubMed]
- Zhang, Q.; Liu, Y.Q.; Jiang, Y.L.; Li, A.; Cheng, B.; Wu, J. OsASR6 enhances salt stress tolerance in rice. Int. J. Mol. Sci. 2022, 23, 9340. [Google Scholar] [CrossRef]
- Duan, S.; Al-Huqail, A.A.; Alsudays, I.M.; Younas, M.; Aslam, A.; Shahzad, A.N.; Qayyum, M.F.; Rizwan, M.; Hamoud, Y.A.; Shaghaleh, H.; et al. PEffects of biochar types on seed germination, growth, chlorophyll contents, grain yield, sodium, and potassium uptake by wheat (Triticum aestivum L.) under salt stress. BMC Plant Biol. 2024, 24, 487. [Google Scholar] [CrossRef]
- Arif, Y.; Singh, P.; Siddiqui, H.; Bajguz, A.; Hayat, S. Salinity induced physiological and biochemical changes in plants: An omic approach towards salt stress tolerance. Plant Physiol. Biochem. 2020, 156, 64–77. [Google Scholar] [CrossRef]
- Hasanuzzaman, M.; Raihan, M.R.H.; Masud, A.A.C.; Rahman, K.; Nowroz, F.; Rahman, M.; Nahar, K.; Fujita, M. Regulation of reactive oxygen species and antioxidant defense in plants under salinity. Int. J. Mol. Sci. 2021, 22, 9326. [Google Scholar] [CrossRef] [PubMed]
- Yuan, H.; Cheng, M.; Wang, R.; Wang, Z.; Fan, F.; Wang, W.; Si, F.; Gao, F.; Li, S. miR396b/GRF6 module contributes to salt tolerance in rice. Plant Biotechnol. J. 2024, 22, 2079–2092. [Google Scholar] [CrossRef] [PubMed]
- Birhanie, Z.M.; Yang, D.; Luan, M.; Xiao, A.; Liu, L.; Zhang, C.; Biswas, A.; Dey, S.; Deng, Y.; Li, D. Salt stress induces changes in physiological characteristics, bioactive constituents, and antioxidants in kenaf. Antioxidants 2022, 11, 2005. [Google Scholar] [CrossRef]
- Batra, N.; Kumari, N.; Sharma, V. Salt stress in plants and amelioration strategies: Alleviation of agriculture and livelihood risks after the Covid-19 pandemic. Vegetos 2022, 36, 268–274. [Google Scholar] [CrossRef]
- Yan, F.Y.; Wei, H.M.; Ding, Y.F.; Li, W.; Liu, Z.; Chen, L.; Tang, S.; Ding, C.; Jiang, Y.; Li, G. Melatonin regulates antioxidant strategy in response to continuous salt stress in rice seedlings. Plant Physiol. Biochem. 2021, 165, 239–250. [Google Scholar] [CrossRef]
- Khalid, M.F.; Jawaid, M.Z.; Nawaz, M.; Shakoor, A.; Ahmed, T. Employing Titanium Dioxide Nanoparticles as Biostimulant against Salinity: Improving Antioxidative Defense and Reactive Oxygen Species Balancing in Eggplant Seedlings. Antioxidants 2024, 13, 1209. [Google Scholar] [CrossRef]
- Wang, Y.X.; Zhao, L.M.; Feng, N.J.; Zheng, D.; Shen, X.F.; Zhou, H.; Jiang, W.; Du, Y.; Zhao, H.; Lu, X.; et al. Plant growth regulators mitigate oxidative damage to rice seedling roots by NaCl stress. PeerJ. 2024, 12, e17068. [Google Scholar] [CrossRef]
- Ahmad, I.; Zhu, G.; Zhou, G.; Liu, J.; Younas, M.U.; Zhu, Y. Melatonin Role in Plant Growth and Physiology under Abiotic Stress. Int. J. Mol. Sci. 2023, 24, 8759. [Google Scholar] [CrossRef] [PubMed]
- Sami, A.; Shah, F.A.; Abdullah, M.; Zhou, X.; Yan, Y.; Zhu, Z.; Zhou, K. Melatonin mitigates cadmium and aluminum toxicity through modulation of antioxidant potential in Brassica napus L. Plant Biol. 2022, 22, 679–690. [Google Scholar] [CrossRef]
- Chen, Y.E.; Mao, J.J.; Sun, L.Q.; Huang, B.; Ding, C.B.; Gu, Y.; Liao, J.Q.; Hu, C.; Zhang, Z.W.; Yuan, S.; et al. Exogenous melatonin enhances salt stress tolerance in maize seedlings by improving antioxidant and photosynthetic capacity. Physiologia Plantaru. 2018, 164, 349–363. [Google Scholar] [CrossRef]
- Duan, W.J.; Lu, B.; Liu, L.T.; Meng, Y.; Ma, X.; Li, J.; Zhang, K.; Sun, H.; Zhang, Y.; Dong, H.; et al. Effects of exogenous melatonin on root physiology, transcriptome and metabolome of cotton seedlings under salt stress. Int. J. Mol. Sci. 2022, 23, 9456. [Google Scholar] [CrossRef] [PubMed]
- Muhammad, I.; Yang, L.; Ahmad, S.; Farooq, S.; Khan, A.; Muhammad, N.; Ullah, S.; Adnan, M.; Ali, S.; Liang, Q.P.; et al. Melatonin-priming enhances maize seedling drought tolerance by regulating the antioxidant defense system. Plant Physiol. 2023, 191, 2301–2315. [Google Scholar] [CrossRef]
- Li, S.; Wang, Y.; Gao, X.; Lan, J.; Fu, B. Comparative Physiological and Transcriptome Analysis Reveal the Molecular Mechanism of Melatonin in Regulating Salt Tolerance in Alfalfa (Medicago sativa L.). Front. Plant Sci. 2022, 13, 919177. [Google Scholar] [CrossRef] [PubMed]
- Anwar, K.; Joshi, R.; Dhankher, O.P.; Singla-Pareek, S.L.; Ashwani Pareek, A. Elucidating the response of crop plants towards individual, combined and sequentially occurring abiotic stresses. Int. J. Mol. Sci. 2021, 22, 6119. [Google Scholar] [CrossRef]
- Kumar, G.; Basu, S.; Singla-Pareek, S.L.; Pareek, A. Unraveling the contribution of OsSOS2 in conferring salinity and drought tolerance in a high-yielding rice. Physiol. Plant 2022, 174, e13638. [Google Scholar] [CrossRef]
- Theerawitaya, C.; Tisarum, R.; Samphumphuang, T.; Takabe, T.; Cha-Um, S. Expression levels of the Na+/K+ transporter OsHKT2;1 and vacuolar Na+/H+ exchanger OsNHX1, Na enrichment, maintaining the photosynthetic abilities and growth performances of indica rice seedlings under salt stress. Physiol. Mol. Biol. Plants 2020, 26, 513–523. [Google Scholar] [CrossRef]
- Khan, Z.; Jan, R.; Asif, S.; Farooq, M.; Jang, Y.H.; Kim, E.G.; Kim, N.; Kim, K.M. Exogenous melatonin induces salt and drought stress tolerance in rice by promoting plant growth and defense system. Sci. Rep. 2024, 14, 1214. [Google Scholar] [CrossRef]
- Samtani, H.; Sharma, A.; Khurana, J.P.; Khurana, P. The heat stress transcription factor family in Aegilops tauschii: Genome-wide identification and expression analysis under various abiotic stresses and light conditions. Mol. Genet. Genom. 2022, 297, 1689–1709. [Google Scholar] [CrossRef]
- Roosta, H.R.; Azad, H.S.; Mirdehghan, S.H. Comparison of the growth, fruit quality and physiological characteristics of cucumber fertigated by three different nutrient solutions in soil culture and soilless culture systems. North. Hortic. Sci. Rep. 2025, 15, 203. [Google Scholar] [CrossRef] [PubMed]
- Wu, P.; Lyu, J.; Yu, J.H.; Liu, N.; Li, J.W.; Jin, L.; Jin, N.; Wang, S.Y. Effects of melatonin on photosynthetic properties and osmoregulatory substance contents of cucumber seedlings under salt-alkali stress. Ying Yong Sheng Tai Xue Bao 2022, 33, 1901–1910. [Google Scholar] [PubMed]
- Pei, X.; Li, S.; Zhang, F.; Cai, R. Study on leaf area calculation and its correlation with plant height of cucmber in greenhouse. Chin. Agric. Sci. Bull. 2025, 121, 80–82. [Google Scholar]
- Wei, M.; Wu, Y.; Chen, D.; Gu, Y. Changes of free radicals and digestive enzymes in saliva in cases with deficiency in spleen-yin syndrome. J. Biomed. Res. 2010, 24, 250–255. [Google Scholar] [CrossRef]
- Li, H.X.; Xiao, Y.; Cao, L.L.; Yan, X.; Li, C.; Shi, H.Y.; Wang, J.W.; Ye, Y.H. Cerebroside C Increases Tolerance to Chilling Injury and Alters Lipid Composition in Wheat Roots. PLoS ONE 2013, 8, e73380. [Google Scholar] [CrossRef]
- Zhang, Y.; Tang, H.R.; Luo, Y. Variation in Antioxidant Enzyme Activities of Two Strawberry Cultivars with Short-term Low Temperature Stress. World J. Agric. Sci. 2008, 4, 458–462. [Google Scholar]
- Loh, K.P.; Qi, J.; Tan, B.K.H.; Liu, X.H.; Wei, B.G.; Zhu, Y.Z. Leonurine Protects Middle Cerebral Artery Occluded Rats Through Antioxidant Effect and Regulation of Mitochondrial Function. Stroke 2010, 41, 2661–2668. [Google Scholar] [CrossRef]
- Cui, Q.; Li, X.; Zhai, S. Spectrophotometric method for determining chlorophyll content in wheat leaves. J. Anhui Agric. Sci. 2006, 34, 2063. [Google Scholar]
- Yu, G.C.; Jia, L.; Yu, N.; Feng, M.; Qu, Y. Cloning and Functional Analysis of CsROP5 and CsROP10 Genes Involved in Cucumber Resistance to Corynespora cassiicola. Biology 2024, 13, 308. [Google Scholar] [CrossRef]
- Li, Q.; Zhang, Y.; Liu, Y.; Li, T.; Xu, H.; Wei, Q.; Zeng, H.; Ni, H.; Li, S. Multiple functions of exogenous melatonin in cucumber seed germination, seedling establishment, and alkali stress resistance. BMC Plant Biol. 2025, 25, 359. [Google Scholar] [CrossRef]
- Xu, Y.; Xu, R.; Li, S.; Ran, S.; Wang, J.; Zhou, Y.; Gao, H.; Zhong, F. The mechanism of melatonin promotion on cucumber seedling growth at different nitrogen levels. Plant Physiol. Biochem. 2023, 206, 108263. [Google Scholar] [CrossRef]
- Bouzroud, S.; Henkrar, F.; Fahr, M.; Smouni, A. Salt stress responses and alleviation strategies in legumes: A review of the current knowledge. Biotechnology 2023, 13, 287. [Google Scholar] [CrossRef] [PubMed]
- Shah, F.A.; Ni, J.; Tang, C.G.; Chen, X.; Kan, W.; Wu, L. Karrikinolide alleviates salt stress in wheat by regulating the redox and K+/Na+ homeostasis. Plant Physiol. Biochem. 2021, 167, 921–933. [Google Scholar] [CrossRef]
- Li, S.; Wang, A.; Jiao, Z.; Chi, Q.; Sun, H.; Jiao, T. Physiological and chemical characteristics and transcriptome analysis of different type of wheat seedlings under salt stress. J. Agric. Sci. Technol. 2024, 26, 20–32. [Google Scholar]
- Fu, Y.Y.; Li, P.H.; Si, Z.Y.; Ma, S.; Gao, Y. Seeds priming with melatonin improves root hydraulic conductivity of wheat varieties under drought, salinity, and combined stress. Int. J. Mol. Sci. 2024, 25, 5055. [Google Scholar] [CrossRef]
- Jiang, D.; Lu, B.; Liu, L.T.; Duan, W.; Chen, L.; Li, J.; Zhang, K.; Sun, H.; Zhang, Y.; Dong, H.; et al. Exogenous melatonin improves salt stress adaptation of cotton seedlings by regulating active oxygen metabolism. PeerJ 2020, 8, e10486. [Google Scholar] [CrossRef] [PubMed]
- Guo, A.H. The effect of exogenous melatonin on the growth of Lepidium apetalum seedlings under salt stress. Jiangsu Agric. Sci. 2022, 50, 153–157. [Google Scholar]
- Xiang, J.; Huang, Q.; Jiu, C.Y.; Huang, L.X.; Zhao, Z.W. Effect of exogenous melatonin on seed germination and seedling growth of rice under salt stress. Plant Physiol. J. 2021, 57, 393–401. [Google Scholar]
- Jiang, Y.; Zhang, H.H.; Wei, C.; Xu, Z.Y.; Zhao, Y.; Liu, F.; Li, G.Z.; Zhang, X.H.; Liu, H.T. Effects of exogenous melatonin on root development and physiological and biochemical characteristics of maize seedlings under drought stress. Acta Pratacult. Sin. 2023, 32, 143–159. [Google Scholar]
- He, M.; Geng, G.; Mei, S.; Wang, G.; Yu, L.; Xu, Y.; Wang, Y. Melatonin modulates the tolerance of plants to water stress: Morphological response of the molecular mechanism. Funct. Plant Biol. 2024, 51, FP23199. [Google Scholar] [CrossRef]
- Zhang, F.E.; Zhang, L.J.; Gao, D.J. Osmotic regulation and chlorophyll fluorescence characteristics in leaves of two clematis species under salinealkali stress. J. Northeast For. Univ. 2022, 50, 52–56. [Google Scholar]
- Hareem, M.; Mahmood, S.; Danish, S.; Iqbal, R.K.; Alarfaj, A.A.; Alharbi, S.A. Influence of indole acetic acid, arginine and mango fruit waste biochar on nutrients, chlorophyll contents and antioxidants of Fenugreek in salt affected soil. Sci. Rep. 2025, 15, 67. [Google Scholar] [CrossRef] [PubMed]
- Liu, Y.; Sui, X.; Wang, X.; Lang, M.; Sun, L.; Jier, E. Mitigating effects of exogenous melatonin on alfalfa under salt stress. Acta Pratacult. Sin. 2025, 34, 206–214. [Google Scholar]
- Shreya, S.; Supriya, L.; Padmaja, G. Melatonin induces drought tolerance by modulating lipoxygenase expression, redox homeostasis and photosynthetic efficiency in Arachis hypogaea L. Front. Plant Sci. 2022, 13, 1069143. [Google Scholar]
- Lu, S.S.; Bai, L.X.; Yao, Y.Y.; Zhang, X. Molecular Mechanisms of Stress Tolerance of Superoxide Dismutase Gene Family in Populus euphratica. J. Southwest For. Univ. 2023, 43, 42–55. [Google Scholar]
- Cen, H.F.; Wang, T.T.; Liu, H.Y.; Tian, D.; Zhang, Y. Melatonin application improves salt tolerance of alfalfa (Medicago sativa L.) by enhancing antioxidant capacity. Plants 2020, 9, 220. [Google Scholar] [CrossRef]
- Hasanuzzaman, M.; Parvin, K.; Bardhan, K.; Nahar, K.; Anee, T.I.; Masud, A.A.C.; Fotopoulos, V. Biostimulants for the regulation of reactive oxygen species metabolism in plants under abiotic stress. Cells 2021, 10, 2537. [Google Scholar] [CrossRef]
- Zhao, C.Y.; Liu, Y.T.; Jia, X.P.; Liu, S.; Lei, Z.; Wang, P.; Zhu, Z.; Dong, H.; Lyu, Z.; Duang, W.; et al. Research Progress in the Effect of Melatonin on Crop Physiological Mechanism under Saline-alkali Stress. Biotechnol. Bul. 2025, 41, 18–29. [Google Scholar]
- Li, Y.; Chen, J.; Liu, S.D.; Sheng, Q.; Zhang, S.; Ge, C.; Liu, R.; Ma, H.; Wan, S.; Pang, C. Effects of Exogenous Melatonin on Growth and Photosynthetic Characteristics of Cotton Seedlings under Salt Stress. Xinjiang Agric. Sci. 2021, 58, 1418–1426. [Google Scholar]
- Xiao, S.; Liu, L.T.; Wang, H.; Li, D.; Bai, Z.; Zhang, Y.; Sun, H.; Zhang, K.; Li, C. Exongenous melatonin accelerates seed germination in cotton (Gossypium hirsutm L.). PLoS ONE 2019, 14, e0216575. [Google Scholar] [CrossRef] [PubMed]
- Liang, W.; Ma, X.; Wan, P.; Liu, L. Plant salt-tolerance mechanism: A review. Biochem. Biophys. Res. Commun. 2018, 495, 286–291. [Google Scholar] [CrossRef]
- Farhangi-Abriz, S.; Torabian, S. Antioxidant enzyme and osmotic adjustment changes in bean seedlings as affected by biochar under salt stress. Ecotoxicol. Environ. Saf. 2017, 137, 64–70. [Google Scholar] [CrossRef]
- Zhang, P.F.; Liu, L.; Wang, X.; Wang, Z.; Zhang, H.; Chen, J.; Liu, X.; Wang, Y.; Li, C. Beneficial effects of exogenous melatonin on overcoming salt stress in sugar beets (Beta vulgaris L.). Plants 2021, 10, 886. [Google Scholar] [CrossRef]
- Gao, W.Y.; Feng, Z.; Bai, Q.Q.; He, J.; Wang, Y. Melatonin-mediated regulation of growth and antioxidant capacity in salt-tolerant nakedoat under salt stress. Int. J. Mol. Sci. 2019, 20, 1176. [Google Scholar] [CrossRef]
- Zhan, H.; Nie, X.; Zhang, T.; Li, S.; Wang, X.; Du, X.; Tong, W.; Song, W. Melatonin: A Small Molecule but Important for Salt Stress Tolerance in Plants. Int. J. Mol. Sci. 2019, 20, 709. [Google Scholar] [CrossRef]
- Zhou, D.; Li, H.Y.; Wang, X.J.; Li, Q.W. Effects of exogenous melatonin on the osmotic regulation and antioxidant capacity of Ginkgo biloba seedlings under salt stress. Ying Yong Sheng Tai Xue Bao 2024, 35, 431–438. [Google Scholar]
- Niu, J.; Chen, Z.; Guo, Z.; Xu, N.; Sui, X.; Roy, M.; Kareem, H.A.; Hassan, M.U.; Cui, J.; Wang, Q. Exogenous melatonin promotes the growth of alfalfa (Medicago sativa L.) under NaCl stress through multiple pathways. Ecotoxicol. Environ. Saf. 2022, 242, 113938. [Google Scholar] [CrossRef]
- Zhang, Z.H.; Hou, X.M.; Gao, R.; Li, Y.; Ding, Z.; Huang, Y.; Yao, K.; Yao, Y.; Liang, C.; Liao, W. CsSHMT3 gene enhances the growth and development in cucumber seedlings under salt stres. Plant Mol. Biol. 2024, 114, 52. [Google Scholar] [CrossRef]
- Shivani, S.; Ghosh, R.; Mitra, A.; Das, A.; Banerjee, J. Typical tetra-mediated signaling and plant architectural changes regulate salt-stress tolerance in indica rice genotypes. Protoplasma 2025, 262, 837–855. [Google Scholar] [CrossRef] [PubMed]
- Farooq, M.; Park, J.R.; Jang, Y.H.; Kim, E.G.; Kim, K.M. Rice Cultivars Under Salt Stress Show Differential Expression of Genes Related to the Regulation of Na+/K+ Balance. Front. Plant Sci. 2021, 12, 680131. [Google Scholar] [CrossRef] [PubMed]
- Khan, S.; Alvi, A.F.; Fatma, M.; Al-Hashimi, A.; Sofo, A.; Khan, N. Relative effects of melatonin and hydrogen sulfide treatments in mitigating salt damage in wheat. Front. Plant Sci. 2024, 15, 1406092. [Google Scholar] [CrossRef]
- Ghorbani, A.; Pishkar, L.; Saravi, K.V.; Chen, M. Melatonin-mediated endogenous nitric oxide coordinately boosts stability through proline and nitrogen metabolism, antioxidant capacity, and Na+/K+ transporters in tomato under NaCl stress. Front. Plant Sci. 2023, 14, 1135943. [Google Scholar] [CrossRef] [PubMed]
- Chakraborty, K.; Jena, P.; Mondalet, S.; Dash, G.K.; Ray, S.; Baig, M.J.; Swain, P. Relative contribution of different members of OsDREB gene family to osmotic stress tolerance in indica and japonica ecotypes of rice. Plant Biol. 2022, 24, 356–366. [Google Scholar] [CrossRef]
- Li, J.; Cao, Y.; Zhang, J.; Zhu, C.; Tang, G.; Yan, J. The miR165/166-PHABULOSA module promotes thermotolerance by transcriptionally and posttranslationally regulating HSFA1. Plant Cell 2023, 35, 2952–2971. [Google Scholar] [CrossRef]
- Ling, C.; Liu, Y.; Yang, Z.; Xu, J.; Ouyang, Z.; Yang, J.; Wang, S. Genome-Wide Identification of HSF Gene Family in Kiwifruit and the Function of AeHSFA2b in Salt Tolerance. Int. J. Mol. Sci. 2023, 24, 15638. [Google Scholar] [CrossRef]
- Wang, Y.; Reiter, R.J.; Chan, Z. Phytomelatonin: A universal abiotic stress regulator. Front. Plant Sci. J. Exp. Bot. 2018, 69, 963–974. [Google Scholar] [CrossRef]









| Treament | Hypocotyl Length/mm | Root Length/mm | Thick Hypocotyl/mm | Diameter of Root/mm | Fresh Weight/g | Dry Weight/g |
|---|---|---|---|---|---|---|
| CK | 83.83 ± 1.59 a | 102.10 ± 0.11 a | 2.13 ± 0.02 a | 1.70 ± 0.01 a | 1.68 ± 0.25 a | 0.08 ± 0.01 a |
| T0 | 16.1 ± 4.2 d | 25.43 ± 0.09 e | 1.33 ± 0.01 c | 1.33 ± 0.01 b | 0.42 ± 0.1 c | 0.06 ± 0 c |
| T1 | 53.77 ± 4.05 c | 48.70 ± 0.34 d | 1.63 ± 0.01 b | 1.47 ± 0.01 b | 0.95 ± 0.12 b | 0.06 ± 0 c |
| T2 | 65.6 ± 2.9 b | 54.77 ± 0.33 c | 1.70 ± 0.01 b | 1.30 ± 0.02 b | 1.06 ± 0.09 b | 0.07 ± 0.01 bc |
| T3 | 65.1 ± 3.04 b | 68.20 ± 0.34 b | 2.00 ± 0.02 a | 1.90 ± 0.01 a | 1.81 ± 0.15 a | 0.08 ± 0.01 ab |
| T4 | 77.5 ± 2.72 a | 49.10 ± 0.39 cd | 1.70 ± 0.01 b | 1.03 ± 0.01 c | 1.05 ± 0.04 b | 0.07 ± 0 c |
| T5 | 55.37 ± 3.52 c | 45.67 ± 0.33 d | 1.50 ± 0.01 bc | 1.30 ± 0.01 b | 0.82 ± 0.14 b | 0.06 ± 0 c |
| Treament | Plant Height/mm | Root Length/mm | Stem Diameter/mm | Leaf Area/mm2 | Fresh Weight/g | Dry Weight/g |
|---|---|---|---|---|---|---|
| CK | 88.67 ± 3.16 a | 106.57 ± 4.37 b | 3.00 ± 0.26 a | 2673.71 ± 393.97 b | 3.60 ± 0.19 a | 0.98 ± 0.01 a |
| T0 | 61.30 ± 2.38 c | 94.20 ± 1.57 c | 1.70 ± 0.1 d | 1410.28 ± 90.17 de | 1.56 ± 0.1 de | 0.36 ± 0.02 ef |
| T1 | 73.30 ± 2 b | 105.87 ± 3.91 b | 2.43 ± 0.15 bc | 1856.65 ± 104.71 c | 1.86 ± 0.06 cd | 0.52 ± 0.05 d |
| T2 | 84.33 ± 3.5 a | 120.13 ± 6.64 a | 2.80 ± 0.3 ab | 3035.82 ± 197.08 a | 2.77 ± 0.1 b | 0.81 ± 0.06 b |
| T3 | 82.27 ± 3.25 a | 65.80 ± 1.85 d | 2.33 ± 0.15 c | 1733.00 ± 55.48 cd | 2.12 ± 0.24 c | 0.68 ± 0.06 c |
| T4 | 72.43 ± 9.36 b | 58.57 ± 1.95 d | 2.33 ± 0.12 c | 1392.82 ± 70.24 de | 1.52 ± 0.19 e | 0.46 ± 0.1 de |
| T5 | 65.53 ± 2.76 bc | 47.50 ± 3.36 e | 1.83 ± 0.15 d | 1183 ± 58.57 e | 1.18 ± 0.17 f | 0.27 ± 0.03 f |
| Principle Component | |||
|---|---|---|---|
| Index | PC1 | PC2 | PC3 |
| GR | 0.29813 | −0.2076 | 0.2715 |
| GP | 0.29206 | −0.20796 | 0.27652 |
| GI | 0.29428 | −0.19856 | 0.32628 |
| PH | 0.3226 | 0.00539 | −0.19108 |
| RL | 0.22956 | 0.15988 | −0.58192 |
| LAI | 0.23295 | 0.16228 | 0.43457 |
| FW | 0.31352 | −0.12723 | −0.21046 |
| DW | 0.32954 | −0.07845 | −0.04268 |
| SP | 0.30261 | 0.16818 | −0.07313 |
| SPAD | 0.3153 | 0.05838 | −0.17146 |
| MDA | −0.32883 | 0.05494 | 0.12315 |
| POD | 0.12534 | 0.49994 | 0.13346 |
| CAT | 0.0674 | 0.51487 | 0.25515 |
| SOD | 0.0439 | 0.50023 | −0.02094 |
| Eigenvalue | 8.66292 | 3.26506 | 0.94423 |
| Contribution rate | 61.88 | 23.32 | 6.74 |
| Cumulative contribution rate | 61.88 | 85.2 | 91.94 |
| Treatment | PC1 | PC2 | PC3 | X1(PC1) | X2(PC2) | X2(PC3) | Dvalue | Comprehensive Sorting | Key Physiological Manifestations |
|---|---|---|---|---|---|---|---|---|---|
| CK | 0.336 | 0.859 | 1.766 | 0.580 | 0.854 | 1.000 | 0.650 | 3 | The uncoerced natural state |
| T0 | −1.408 | 0.388 | −1.050 | 0.000 | 0.693 | 0.000 | 0.076 | 7 | Baseline damage state under salt stress |
| T1 | 0.837 | −0.437 | −0.745 | 0.747 | 0.409 | 0.108 | 0.666 | 2 | Excellent germination index, moderate injury mitigation |
| T2 | 1.596 | 0.280 | −0.764 | 1.000 | 0.655 | 0.102 | 0.900 | 1 | The biomass is the largest, and the enzyme activity is the highest |
| T3 | −0.290 | −1.627 | 0.798 | 0.372 | 0.000 | 0.656 | 0.358 | 5 | Abnormal root length inhibition (RLI35%) |
| T4 | −0.533 | −0.744 | −0.041 | 0.291 | 0.304 | 0.358 | 0.300 | 6 | The overall effect is the weakest |
| T5 | −0.539 | 1.282 | 0.036 | 0.289 | 1.000 | 0.386 | 0.378 | 4 | Recovery of certain indicators in high-concentration areas |
Disclaimer/Publisher’s Note: The statements, opinions and data contained in all publications are solely those of the individual author(s) and contributor(s) and not of MDPI and/or the editor(s). MDPI and/or the editor(s) disclaim responsibility for any injury to people or property resulting from any ideas, methods, instructions or products referred to in the content. |
© 2025 by the authors. Licensee MDPI, Basel, Switzerland. This article is an open access article distributed under the terms and conditions of the Creative Commons Attribution (CC BY) license (https://creativecommons.org/licenses/by/4.0/).
Share and Cite
Yu, G.; Wang, Z.; Wei, M.; Jia, L.; Qu, Y.; Jiang, Y.; Xiang, S. Exogenous Melatonin Induces Salt Stress Tolerance in Cucumber by Promoting Plant Growth and Defense System. Life 2025, 15, 1294. https://doi.org/10.3390/life15081294
Yu G, Wang Z, Wei M, Jia L, Qu Y, Jiang Y, Xiang S. Exogenous Melatonin Induces Salt Stress Tolerance in Cucumber by Promoting Plant Growth and Defense System. Life. 2025; 15(8):1294. https://doi.org/10.3390/life15081294
Chicago/Turabian StyleYu, Guangchao, Zhipeng Wang, Ming Wei, Lian Jia, Yue Qu, Yingyi Jiang, and Shihan Xiang. 2025. "Exogenous Melatonin Induces Salt Stress Tolerance in Cucumber by Promoting Plant Growth and Defense System" Life 15, no. 8: 1294. https://doi.org/10.3390/life15081294
APA StyleYu, G., Wang, Z., Wei, M., Jia, L., Qu, Y., Jiang, Y., & Xiang, S. (2025). Exogenous Melatonin Induces Salt Stress Tolerance in Cucumber by Promoting Plant Growth and Defense System. Life, 15(8), 1294. https://doi.org/10.3390/life15081294

