Optical Coherence Tomography Biomarkers Predict the Long-Term Restorative Effect of Early Anti-VEGF Treatment on Diabetic Macular Edema
Abstract
1. Introduction
2. Materials and Methods
2.1. Study Design and Patients
2.2. OCT Measurements
2.3. Statistical Analysis
3. Results
4. Discussion
5. Conclusions
Author Contributions
Funding
Institutional Review Board Statement
Informed Consent Statement
Data Availability Statement
Conflicts of Interest
References
- Arroba, A.I.; Valverde, A.M. Modulation of microglia in the retina: New insights into diabetic retinopathy. Acta Diabetol. 2017, 54, 527–533. [Google Scholar] [CrossRef] [PubMed]
- Miller, K.; Fortun, J.A. Diabetic Macular Edema: Current Understanding, Pharmacologic Treatment Options, and Developing Therapies. Asia Pac. J. Ophthalmol. 2018, 7, 28–35. [Google Scholar] [CrossRef]
- Romero-Aroca, P.; Baget-Bernaldiz, M.; Pareja-Rios, A.; Lopez-Galvez, M.; Navarro-Gil, R.; Verges, R. Diabetic macular edema pathophysiology: Vasogenic versus inflammatory. J. Diabetes Res. 2016, 2156273. [Google Scholar] [CrossRef]
- Elman, M.J.; Aiello, L.P.; Beck, R.W.; Bressler, N.M.; Bressler, S.B.; Edwards, A.R.; Ferris, F.L.; Friedman, S.M.; Glassman, A.R.; Miller, K.M.; et al. Randomized trial evaluating ranibizumab plus prompt or deferred laser or triamcinolone plus prompt laser for diabetic macular edema. Ophthalmology 2010, 117, 1064–1077. [Google Scholar] [CrossRef]
- Hirano, T.; Toriyama, Y.; Takamura, Y.; Sugimoto, M.; Nagaoka, T.; Sugiura, Y.; Okamoto, F.; Saito, M.; Noda, K.; Yoshida, S.; et al. Outcomes of a 2-year treat-and-extend regimen with aflibercept for diabetic macular edema. Sci. Rep. 2021, 11, 4488. [Google Scholar] [CrossRef]
- Schmidt-Erfurth, U.; Garcia-Arumi, J.; Bandello, F.; Berg, K.; Chakravarthy, U.; Gerendas, B.S.; Jonas, J.; Larsen, M.; Tadayoni, R.; Loewenstein, A. Guidelines for the management of diabetic macular edema by the European Society of Retina Specialists (EURETINA). Ophthalmologica 2017, 237, 185–222. [Google Scholar] [CrossRef] [PubMed]
- Chang, Y.C.; Huang, Y.T.; Hsu, A.Y.; Meng, P.P.; Lin, C.H.; Lai, C.T.; Hsia, N.Y.; Chen, H.S.; Tien, P.T.; Lin, J.M.; et al. Optical Coherence Tomography Biomarkers in Predicting Treatment Outcomes of Diabetic Macular Edema after Ranibizumab Injections. Medicina 2023, 59, 629. [Google Scholar] [CrossRef] [PubMed]
- Visioli, G.; Alisi, L.; Mastrogiuseppe, E.; Albanese, G.M.; Romano, E.; Iannetti, L.; Armentano, M.; Giovannetti, F.; Gharbiya, M. OCT biomarkers as predictors of visual improvement in diabetic macular edema eyes receiving dexamethasone implants. Int. J. Retin. Vitr. 2023, 9, 35. [Google Scholar] [CrossRef] [PubMed]
- Sun, J.; Jampol, L. The Diabetic Retinopathy Clinical Research Network (DRCR.net) and Its Contributions to the Treatment of Diabetic Retinopathy. Ophthalmic Res. 2019, 62, 225–230. [Google Scholar] [CrossRef]
- Elman, M.J.; Ayala, A.; Bressler, N.M.; Browning, D.; Flaxel, C.J.; Glassman, A.R.; Jampol, L.M.; Stone, T.W. Intravitreal Ranibizumab for diabetic macular edema with prompt versus deferred laser treatment: 5-year randomized trial results. Ophthalmology 2015, 122, 375–381. [Google Scholar] [CrossRef]
- Bressler, S.B.; Odia, I.; Glassman, A.R.; Danis, R.P.; Grover, S.; Hampton, G.R.; Jampol, L.M.; Maureen, M.G.; Melia, M. Changes in Diabetic Retinopathy Severity when Treating Diabetic Macular Edema with Ranibizumab: DRCR.net Protocol I 5-Year Report. Retina 2018, 38, 1896–1904. [Google Scholar] [CrossRef]
- Panozzo, G.; Cicinelli, M.V.; Augustin, A.J.; Parodi, M.B.; Cunha-Vaz, J.; Guarnaccia, G.; Kodjikian, L.; Jampol, L.M.; Jünemann, A. An optical coherence tomography-based grading of diabetic maculopathy proposed by an international expert panel: The European School for Advanced Studies in Ophthalmology classification. Eur. J. Ophthalmol. 2020, 30, 8–18. [Google Scholar] [CrossRef]
- Busch, C.; Zur, D.; Fraser-Bell, S.; Lains, I.; Santos, A.R.; Lupidi, M.; Cagini, C.; Gabrielle, P.H.; Couturier, A.; Mane-Tauty, V.; et al. Shall we stay, or shall we switch? Continued anti-VEGF therapy versus early switch to dexamethasone implant in refractory diabetic macular edema. Acta Diabetol. 2018, 55, 789–796. [Google Scholar] [CrossRef]
- Rajendram, R.; Fraser-Bell, S.; Kaines, A.; Michaelides, M.; Hamilton, R.D.; Esposti, S.D.; Peto, T.; Egan, C.; Bunce, C.; Leslie, R.D.; et al. A 2-year prospective randomized controlled trial of intravitreal bevacizumab or laser therapy (BOLT) in the management of diabetic macular edema: 24-month data: Report 3. Arch. Ophthalmol. 2012, 130, 972–979. [Google Scholar] [CrossRef] [PubMed]
- Nguyen, Q.D.; Brown, D.M.; Marcus, D.M.; Boyer, D.S.; Patel, S.; Feiner, L.; Gibson, A.; Sy, J.; Rundle, A.C.; Hopkins, J.J.; et al. Ranibizumab for diabetic macular edema: Results from 2 phase III randomized trials: RISE and RIDE. Ophthalmology 2012, 119, 789–801. [Google Scholar] [CrossRef]
- Kriechbaum, K.; Prager, S.; Mylonas, G.; Scholda, C.; Rainer, G.; Funk, M.; Kundi, M.; Schmidt-Erfurth, U. Intravitreal bevacizumab (Avastin) versus triamcinolone (Volon A) for treatment of diabetic macular edema: One-year results. Eye 2014, 28, 9–16. [Google Scholar] [CrossRef] [PubMed]
- Coscas, G.; De Benedetto, U.; Coscas, F.; Calzi, C.I.L.; Vismara, S.; Roudot-Thoraval, F.; Bandello, F.; Souied, E. Hyperreflective dots: A new spectral-domain optical coherence tomography entity for follow-up and prognosis in exudative age-related macular degeneration. Ophthalmologica 2012, 229, 32–37. [Google Scholar] [CrossRef]
- Vujosevic, S.; Bini, S.; Midena, G.; Berton, M.; Pilotto, E.; Miden, E. Hyperreflective intraretinal spots in diabetics without and with nonproliferative diabetic retinopathy: An in vivo study using spectral domain OCT. J. Diabetes Res. 2013, 1, 491835. [Google Scholar] [CrossRef] [PubMed]
- Framme, C.; Schweizer, P.; Imesch, M.; Wolf, S.; Wolf-Schnurrbusch, U. Behavior of SD-OCT–detected hyperreflective foci in the retina of anti-VEGF–treated patients with diabetic macular edema. Investig. Ophthalmol. Vis. Sci. 2012, 53, 5814–5818. [Google Scholar] [CrossRef]
- Vujosevic, S.; Berton, M.; Bini, S.; Casciano, M.; Cavarzeran, F.; Midena, E. Hyperreflective retinal spots and visual function after anti-vascular endothelial growth factor treatment in center-involving diabetic macular edema. Retina 2016, 36, 1298–1308. [Google Scholar] [CrossRef] [PubMed]
- Vujosevic, S.; Torresin, T.; Bini, S.; Convento, E.; Pilotto, E.; Parrozzani, R.; Midena, E. Imaging retinal inflammatory biomarkers after intravitreal steroid and anti-VEGF treatment in diabetic macular oedema. Acta Ophthalmol. 2017, 95, 464–471. [Google Scholar] [CrossRef]
- Schreur, V.; Altay, L.; van Asten, F.; Groenewoud, J.M.M.; Fauser, S.; Klevering, B.J.; Hoyng, C.B.; de Jong, E.K. Hyperreflective foci on optical coherence tomography associate with treatment outcome for anti-VEGF in patients with diabetic macular edema. PLoS ONE 2018, 13, e0206482. [Google Scholar] [CrossRef] [PubMed]
- Yoshitake, T.; Murakami, T.; Suzuma, K.; Dodo, Y.; Fujimoto, M.; Tsujikawa, A. Hyperreflective Foci in the Outer Retinal Layers as a Predictor of the Functional Efficacy of Ranibizumab for Diabetic Macular Edema. Sci. Rep. 2020, 10, 873. [Google Scholar] [CrossRef] [PubMed]
- Santo, A.R.; Gomes, S.C.; Figueira, J.; Nunes, S.; Lobo, C.L.; Cunha-Vaz, J.G. Degree of decrease in central retinal thickness predicts visual acuity response to intravitreal ranibizumab in diabetic macular edema. Ophthalmologica 2014, 231, 16–22. [Google Scholar] [CrossRef] [PubMed]
- Vujosevic, S.; Torresin, T.; Berton, M.; Bini, S.; Convento, E.; Midena, E. Diabetic Macular Edema with and Without Subfoveal Neuroretinal Detachment: Two Different Morphologic and Functional Entities. Am. J. Ophthalmol. 2017, 181, 149–155. [Google Scholar] [CrossRef]
- Reznicek, L.; Cserhati, S.; Seidensticker, F.; Liegl, R.; Kampik, A.; Ulbig, M.; Neubauer, A.S.; Kernt, M. Functional and morphological changes in diabetic macular edema over the course of anti-vascular endothelial growth factor treatment. Acta Ophthalmol. 2013, 91, 529–536. [Google Scholar] [CrossRef]
- Seo, K.H.; Yu, S.Y.; Kim, M.; Kwak, H.W. Visual and Morphologic Outcomes of Intravitreal Ranibizumab for Diabetic Macular Edema Based on Optical Coherence Tomography Patterns. Retina 2016, 36, 588–595. [Google Scholar] [CrossRef] [PubMed]
- Bonfiglio, V.; Reibaldi, M.; Pizzo, A.; Russo, A.; Macchi, I.; Faro, G.; Avitabile, T.; Longo, A. Dexamethasone for unresponsive diabetic macular oedema: Optical coherence tomography biomarkers. Acta Ophthalmol. 2019, 97, 540–544. [Google Scholar] [CrossRef]
- Chung, Y.R.; Kim, Y.H.; Lee, S.Y.; Byeon, H.E.; Lee, K. Insights into the pathogenesis of cystoid macular edema: Leukostasis and related cytokines. Int. J. Ophthalmol. 2019, 12, 1202–1208. [Google Scholar] [CrossRef] [PubMed]
- Wu, P.C.; Lai, C.H.; Chen, C.L.; Kuo, C.N. Optical coherence tomographic patterns in diabetic macula edema can predict the effects of intravitreal bevacizumab injection as primary treatment. J. Ocul. Pharmacol. Ther. 2012, 28, 59–64. [Google Scholar] [CrossRef]
- Sun, J.K.; Radwan, S.H.; Soliman, A.Z.; Lammer, J.; Lin, M.M.; Prager, S.G.; Silva, P.S.; Aiello, L.B.; Aiello, L.P. Neural retinal disorganization as a robust marker of visual acuity in current and resolved diabetic macular edema. Diabetes 2015, 64, 2560–2570. [Google Scholar] [CrossRef] [PubMed]
- Zur, D.; Iglicki, M.; Sala-Puigdollers, A.; Chhablani, J.; Lupidi, M.; Fraser-Bell, S.; Mendes, T.S.; Chaikitmongkol, V.; Cebeci, Z.; Dollberg, D.; et al. Disorganization of retinal inner layers as a biomarker in patients with diabetic macular oedema treated with dexamethasone implant. Acta Ophthalmol. 2019, 98, 217–223. [Google Scholar] [CrossRef] [PubMed]
- Vujosevic, S.; Toma, C.; Villani, E.; Muraca, A.; Torti, E.; Florimbi, G.; Leporati, F.; Brambilla, M.; Nucci, P.; de Cilla, S. Diabetic macular edema with neuroretinal detachment: OCT and OCT-angiography biomarkers of treatment response to anti-VEGF and steroids. Acta Diabetol. 2020, 57, 287–296. [Google Scholar] [CrossRef] [PubMed]
- Wirth, M.A.; Wons, J.; Freiberg, F.J.; Becker, M.D.; Michels, S. Impact of long-term intravitreal anti–vascular endothelial growth factor on preexisting microstructural alterations in diabetic macular edema. Retina 2018, 38, 1824–1829. [Google Scholar] [CrossRef] [PubMed]
- Vitiello, L.; Salerno, G.; Coppola, A.; De Pascale, I.; Abbinante, G.; Gagliardi, V.; Lixi, F.; Pellegrino, A.; Giannaccare, G. Switching to an Intravitreal Dexamethasone Implant after Intravitreal Anti-VEGF Therapy for Diabetic Macular Edema: A Review. Life 2024, 14, 725. [Google Scholar] [CrossRef] [PubMed]





| Years | |
|---|---|
| Mean age | 63.80 ± 7.96 |
| Mean duration of diabetes | 14.12 ± 6.44 |
| Gender | n (%) |
| Male | 36 (50.7) |
| Female | 35 (49.3) |
| Baseline (n = 71) Median (1st–3rd Quartiles) | After 3 Doses of Anti-VEGF (n = 71) Median (1st–3rd Quartiles) | p Value | 6th Month (n = 71) Median (1st–3rd Quartiles) | p Value | 12th Month (n = 71) Median (1st–3rd Quartiles) | p Value | |
|---|---|---|---|---|---|---|---|
| BCVA (logMAR) | 0.52 (0.22–0.82) | 0.40 (0.15–0.80) | 0.001 | 0.30 (0.15–0.70) | <0.001 | 0.40 (0.22–0.82) | 0.001 |
| CST (µ) | 406.00 (324.00–478.00) | 317.00 (275.00–398.00) | <0.001 | 308.00 (259.00–372.00) | <0.001 | 307.00 (269.00–384.00) | <0.001 |
| Baseline (n = 71) n (%) | After 3 Doses of Anti-VEGF (n = 71) n (%) | p Value | 6th Month (n = 71) n (%) | p Value | 12th Month (n = 71) n (%) | p Value | |
|---|---|---|---|---|---|---|---|
|
Intraretinal cysts Absent Mild Moderate Severe | 1 (1.4) 12 (16.9) * 19 (26.8) 39 (54.9) * | 5 (7.0) 24 (33.8) 22 (31.0) 20 (28.2) | <0.001 | 7 (9.9) 24 (33.8) 23 (32.4) 17 (23.9) | <0.001 | 8 (11.3) 28 (39.4) 16 (22.5) 19 (26.8) | <0.001 |
|
SRF Absent Present | 50 (70.4) 21 (29.6) | 59 (83.1) 12 (16.9) * | 0.022 | 61 (85.9) 10 (14.1) * | 0.007 | 61 (85.9) 10 (14.1) * | 0.007 |
|
Hyperreflective foci Less than 30 in number More than 30 in number | 46 (64.8) 25 (35.2) | 51 (71.8) 20 (28.2) | 0.227 | 59 (83.1) 12 (16.9) * | 0.002 | 60 (84.5) 11 (15.5) * | <0.001 |
|
DRIL Absent Present | 23 (32.4) 48 (67.6) | 26 (36.6) 45 (63.4) | 0.375 | 25 (35.2) 46 (64.8) | 0.625 | 22 (31.0) 49 (69.0) | 0.999 |
|
EZ/ELM status Intact Disrupted Absent | 36 (50.7) 25 (35.2) 10 (14.1) | 36 (50.7) 27 (38.0) 8 (11.3) | 0.506 | 35 (49.3) 25 (35.2) 11 (15.5) | 0.842 | 31 (43.7) 29 (40.8) 11 (15.5) | 0.076 |
|
Vitreoretinal relationship Absent IVD PVD ERM | 26 (36.6) 27 (38.0) * 8 (11.3) 10 (14.1) | 18 (25.4) 24 (33.8) 14 (19.7) 15 (21.1) | 0.023 | 17 (23.9) 22 (31.0) 16 (22.5) 16 (22.5) | 0.007 | 16 (22.5) 18 (25.3) 14 (19.7) 23 (32.4) | 0.001 |
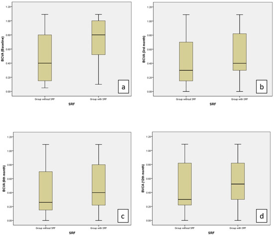
| Group Without SRF (n = 50) Median (1st–3rd Quartiles) | Group with SRF (n = 21) Median (1st–3rd Quartiles) | p Value | |
|---|---|---|---|
| BCVA (Baseline) | 0.40 (0.15–0.80) | 0.80 (0.46–1.00) | 0.012 |
| BCVA (3rd month) | 0.30 (0.13–0.70) | 0.40 (0.30–0.91) | 0.039 |
| BCVA (6th month) | 0.26 (0.13–0.70) | 0.40 (0.21–0.81) | 0.128 |
| BVCA (12th month) | 0.30 (0.21–0.82) | 0.52 (0.30–0.91) | 0.403 |
| Less than 30 HF (n = 46) Median (1st–3rd Quartiles) | More than 30 HF (n = 25) Median (1st–3rd Quartiles) | p Value | Without DRIL (n = 23) Mean ± SD | With DRIL (n = 48) Mean ± SD | p Value | |
|---|---|---|---|---|---|---|
| BCVA (Baseline) | 0.40 (0.20–0.82) | 0.70 (0.35–0.96) | 0.110 | 0.44 ± 0.36 | 0.61 ± 0.32 | 0.047 |
| BCVA (3rd month) | 0.30 (0.13–0.56) | 0.70 (0.18–0.87) | 0.058 | 0.27 ± 0.26 | 0.54 ± 0.34 | 0.002 |
| BCVA (6th month) | 0.22 (0.13–0.52) | 0.70 (0.17–0.87) | 0.015 | 0.21 ± 0.17 | 0.51 ± 0.34 | <0.001 |
| BCVA (12th month) | 0.35 (0.20–0.70) | 0.60 (0.30–1.00) | 0.114 | 0.42 ± 0.32 | 0.54 ± 0.35 | 0.186 |
Disclaimer/Publisher’s Note: The statements, opinions and data contained in all publications are solely those of the individual author(s) and contributor(s) and not of MDPI and/or the editor(s). MDPI and/or the editor(s) disclaim responsibility for any injury to people or property resulting from any ideas, methods, instructions or products referred to in the content. |
© 2025 by the authors. Licensee MDPI, Basel, Switzerland. This article is an open access article distributed under the terms and conditions of the Creative Commons Attribution (CC BY) license (https://creativecommons.org/licenses/by/4.0/).
Share and Cite
Okudan, S.; Acar Duyan, S.; Erdem, A.; Bozkurt Oflaz, A.; Turgut Ozturk, B. Optical Coherence Tomography Biomarkers Predict the Long-Term Restorative Effect of Early Anti-VEGF Treatment on Diabetic Macular Edema. Life 2025, 15, 269. https://doi.org/10.3390/life15020269
Okudan S, Acar Duyan S, Erdem A, Bozkurt Oflaz A, Turgut Ozturk B. Optical Coherence Tomography Biomarkers Predict the Long-Term Restorative Effect of Early Anti-VEGF Treatment on Diabetic Macular Edema. Life. 2025; 15(2):269. https://doi.org/10.3390/life15020269
Chicago/Turabian StyleOkudan, Süleyman, Sule Acar Duyan, Abdullah Erdem, Ayse Bozkurt Oflaz, and Banu Turgut Ozturk. 2025. "Optical Coherence Tomography Biomarkers Predict the Long-Term Restorative Effect of Early Anti-VEGF Treatment on Diabetic Macular Edema" Life 15, no. 2: 269. https://doi.org/10.3390/life15020269
APA StyleOkudan, S., Acar Duyan, S., Erdem, A., Bozkurt Oflaz, A., & Turgut Ozturk, B. (2025). Optical Coherence Tomography Biomarkers Predict the Long-Term Restorative Effect of Early Anti-VEGF Treatment on Diabetic Macular Edema. Life, 15(2), 269. https://doi.org/10.3390/life15020269

