Overview of the Ruspolia Plant Genus: Insights into Its Chemical Diversity and Biological Potential
Abstract
1. Introduction
2. Flavone Glycosides from Ruspolia
3. Pyrrolidine Alkaloids from Ruspolia
3.1. Isolation of the Natural Products
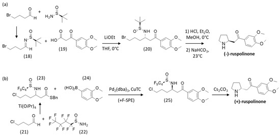
3.2. Total Synthesis of Ruspolinone and Analogues
3.3. Other Ruspolia Alkaloids
4. Discussion
5. Conclusions
Author Contributions
Funding
Data Availability Statement
Conflicts of Interest
References
- Carneiro, M.R.B.; Sallum, L.O.; Martins, J.L.R.; Peixoto, J.C.; Napolitano, H.B.; Rosseto, L.P. Overview of the Justicia Genus: Insights into Its Chemical Diversity and Biological Potential. Molecules 2023, 28, 1190. [Google Scholar] [CrossRef] [PubMed]
- Agbor, G.A.; Longo, F.; Makong, E.A.; Tarkang, P.A. Evaluation of the antidiarrheal and antioxidant properties of Justicia hypocrateriformis. Pharm. Biol. 2014, 52, 1128–1133. [Google Scholar] [CrossRef]
- Noumi, E. Ethno-medico-botany, theory and philosophy: Case of traditional medicinal plant uses in hemiplegia and neuralgia, in Bui division, North West of Cameroon. World J. Pharm. Res. 2015, 4, 377–392. [Google Scholar]
- Makemteu, J.; Nana Piapleu, W.G.; Nkenmegne, S.; Yossa Nzeuwa, I.B.; Ngouana, V.; Tajeukem, V.C.; Noumi, E. Traditional use of medicinal plants in the town of Mbanga (Littoral- Cameroon). Int. J. Sci. Res. Updates 2022, 4, 173–190. [Google Scholar] [CrossRef]
- Mukim, M.; Kabra, A.; Hano, C.; Drouet, S.; Tungmunnithum, D.; Chaturvedi, M.; Patel, R.; Ayaz, M.; Shadrack, D.M. Rivea hypocrateriformis (Desr.) Choisy: An Overview of Its Ethnomedicinal Uses, Phytochemistry, and Biological Activities and Prospective Research Directions. J. Chem. 2022, 1, 9099672. [Google Scholar] [CrossRef]
- Orji, O.U.; Ibiam, U.A.; Uraku, A.J.; Obasi, O.D.; Aloke, C.E.; Awoke, J.N. Investigations of Phytochemical and Nutritional Composition of Ruspolia hypocrateriformis Leaf. IDOSR J. Appl. Sci. 2017, 2, 70–81. [Google Scholar]
- van Huis, A. Cultural significance of locusts, grasshoppers, and crickets in sub-Saharan Africa. J. Ethnobiol. Ethnomed. 2022, 18, 24. [Google Scholar] [CrossRef] [PubMed]
- Ronoh, A.K.; Serrem, C.A.; Tumwebaze, S.B.; Were, G.M. Effect of fortifying sorghum and wheat with Longhorn grasshopper (Ruspolia differens) powder on nutritional composition and consumer acceptability of biscuits. Food Sci. Nutr. 2024, 12, 3492–3507. [Google Scholar] [CrossRef] [PubMed]
- Bbosa, T.; Tamale Ndagire, C.; Muzira Mukisa, I.; Fiaboe, K.K.M.; Nakimbugwe, D. Nutritional Characteristics of Selected Insects in Uganda for Use as Alternative Protein Sources in Food and Feed. J. Insect Sci. 2019, 19, 23. [Google Scholar] [CrossRef]
- Ssepuuya, G.; Mukisa, I.M.; Nakimbugwe, D. Nutritional composition, quality, and shelf stability of processed Ruspolia nitidula (edible grasshoppers). Food Sci. Nutr. 2016, 5, 103–112. [Google Scholar] [CrossRef]
- Kaláb, O.; Pyszko, P.; Kočárek, P. Estimation of the Recent Expansion Rate of Ruspolia nitidula (Orthoptera) on a Regional and Landscape Scale. Insects 2021, 12, 639. [Google Scholar] [CrossRef] [PubMed]
- Shah, M.S.; Usmani, M.K.; Ali, M.; Dar, A.A. Description of a new species of the genus Ruspolia (Schulthess, 1898) (Conocephalinae: Copiphorini) from Kashmir, India. Zootaxa 2021, 4966, 483486. [Google Scholar] [CrossRef] [PubMed]
- Aiello, D.; Barbera, M.; Bongiorno, D.; Cammarata, M.; Censi, V.; Indelicato, S.; Mazzotti, F.; Napoli, A.; Piazzese, D.; Saiano, F. Edible Insects an Alternative Nutritional Source of Bioactive Compounds: A Review. Molecules 2023, 28, 699. [Google Scholar] [CrossRef] [PubMed]
- Rakesh, M.; Aris-Brosou, S.; Xia, X. Testing alternative hypotheses on the origin and speciation of Hawaiian katydids. BMC Ecol. Evol. 2022, 22, 83. [Google Scholar] [CrossRef] [PubMed]
- Liu, J.; Lu, X.; Bian, X. The complete mitochondrial genome of Ruspolia yunnana (Orthoptera: Tettigoniidae: Conocephalinae). Mitochondrial DNA B Resour. 2022, 7, 1682–1684. [Google Scholar] [CrossRef] [PubMed]
- Adjanohoun, J.; Aboubakar, N.; Dramane, K.; Ebot, M.; Ekpere, J.; Enow-Orock, E.; Focho, D.; Gbile, Z.; Kamanyi, A.; Kamsu-Kom, J. Traditional Medicine and Pharmacopoeia: Contribution to Ethnobotanical and Floristic Studies in Cameroon. In Proceedings of the OUA/STRC Symposium on African Traditional Medicine and Medicinal Plants, Lagos, Nigeria, 1996; Volume 301. [Google Scholar]
- Awoke, J.N.; Orji, O.U.; Aja, P.M.; Ezeani, N.N.; Aloke, C.; Obasi, O.D. Ethanol leaf extract of Ruspolia hypocrateriformis abrogated hepatic redox imbalance and oxidative damage induced by heavy metal toxicity in rats. Arab J. Chem. 2020, 13, 8133–8145. [Google Scholar] [CrossRef]
- Guetchueng, S.T.; Nahar, L.; Ritchie, K.J.; Ismail, F.M.D.; Dempster, N.M.; Sarker, S.D. Ruspolia hypocrateriformis (Vahl) Milne-Redh. (Acanthaceae). Phytochem. Lett. 2019, 31, 101–103. [Google Scholar] [CrossRef]
- Orji, O.U.; Ibiam, U.A.; Aja, P.M.; Obasi, O.D.; Ezeani, N.; Aloke, C.; Anayo, S.; Inya-Agha, O.R. Effect of Ethanol Extract of Ruspolia hypocrateriformis Leaf on Haematological Parameters in Lead Poisoned Albino Rats. World J. Med. Sci. 2016, 13, 225–235. [Google Scholar]
- Aboulaghras, S.; Sahib, N.; Bakrim, S.; Benali, T.; Charfi, S.; Guaouguaou, F.E.; Omari, N.E.; Gallo, M.; Montesano, D.; Zengin, G.; et al. Health Benefits and Pharmacological Aspects of Chrysoeriol. Pharmaceuticals 2022, 15, 973. [Google Scholar] [CrossRef]
- Mishra, B.; Priyadarsini, K.I.; Kumar, M.S.; Unnikrishnan, M.K.; Mohan, H. Effect of O-glycosilation on the antioxidant activity and free radical reactions of a plant flavonoid, chrysoeriol. Bioorg. Med. Chem. 2003, 11, 2677–2685. [Google Scholar] [CrossRef]
- Guetchueng, S.T.; Nahar, L.; Ritchie, K.J.; Ismail, F.M.D.; Evans, A.R.; Tchinda, A.T.; Tarkang, A.P.; Nnanga, E.N.; Sarker, S.D. Haem Polymerization Inhibitory Activity and Cytotoxicity of Six Medicinal Plants Used in Cameroon for the Management of Malaria. Acta Pharm. Sci. 2022, 60, 235–245. [Google Scholar] [CrossRef]
- Guetchueng, S.T.; Nahar, L.; Ritchie, K.J.; Daud Ismail, F.M.; Dempster, N.M.; Nnanga, E.N.; Sarker, S.D. Phenolic compounds from the leaves and stem bark of Pseudospondias microcarpa (A. Rich.) Engl. (Anacardiaceae). Biochem. System Ecol. 2020, 91, 104078. [Google Scholar] [CrossRef]
- Asthana, J.; Yadav, D.; Pant, A.; Yadav, A.K.; Gupta, M.M.; Pandey, R. Acacetin 7-O-α-l-rhamnopyranosyl (1-2) β-D-xylopyranoside Elicits Life-Span Extension and Stress Resistance in Caenorhabditis elegans. J. Gerontol. A Biol. Sci. Med. Sci. 2016, 71, 1160–1168. [Google Scholar] [CrossRef]
- Roessler, F.; Ganzinger, D.; Johne, S.; Schöpp, E.; Hesse, M. Ruspolia hypercrateriformis M.R.: Isolierung und Strukturaufklärung von neuen Pyrrolidin-Alkaloiden. Helvet Chim. Acta 1978, 61, 1200–1206. [Google Scholar] [CrossRef]
- Ghirlando, R.; Howard, A.S.; Katz, R.B.; Michael, J.P. The application of the sulfide contraction to the synthesis of some simple pyrrolidine alkaloids. Tetrahedron 1984, 40, 2879–2884. [Google Scholar] [CrossRef]
- Langenskiold, T.; Lounasmaa, H. Novel applications of the modified Polonovski reaction. IV Preparation of (+)-hygrine and (+)-N-methylruspolinone. Heterocycles 1983, 20, 671. [Google Scholar]
- Bhat, C.; Bhat, S.I.; Budanur, B.M. Hygroline and pseudohygroline: Isolation, biological perspectives and synthesis. Synthetic Commun Rev. 2022, 53, 85–102. [Google Scholar] [CrossRef]
- Cretton, S.; Genta-Jouve, G.; Kaiser, M.; Mäser, P.; Muñoz, O.; Bürgi, T.; Cuendet, M.; Christen, P. Hygroline derivatives from Schizanthus tricolor and their anti-trypanosomatid and antiplasmodial activities. Phytochemistry. 2021, 192, 112957. [Google Scholar] [CrossRef] [PubMed]
- Bhoite, S.P.; Kamble, R.B.; Suryavanshi, G.M. An enantioselective synthesis of (+)-hygroline and (+)-pseudohygroline via Keck allylation and CBS reduction. Tetrahedron. Lett. 2015, 56, 4704–4705. [Google Scholar] [CrossRef]
- Liniger, M.; Estermann, K.; Altmann, K.H. Total synthesis of hygrolines and pseudohygrolines. J. Org. Chem. 2013, 78, 11066–11070. [Google Scholar] [CrossRef]
- Shih, Y.C.; Tsai, P.H.; Hsu, C.C.; Chang, C.W.; Jhong, Y.; Chen, Y.C.; Chien, T.C. Biomimetic Approach Toward the Total Synthesis of rac-2-(Acylmethylene)pyrrolidine Alkaloids. J. Org. Chem. 2015, 80, 6669–6678. [Google Scholar] [CrossRef] [PubMed]
- Tufariello, J.J.; Puglis, J.M. The stereochemistry of nitrone-diene cycloadditions. Synthesis of the alkaloids of Darlingia darlingiana. Tetrahedron. Lett. 1986, 27, 1265–1268. [Google Scholar] [CrossRef]
- Cave, A.; Leboeuf, M.; Moskowitz, H.; Ranaivo, A.; Bick, I.R.C.; Sinchai, W.; Nieto, M.; Sevenet, T.; Cabalion, P. Alkaloids of Cryptocarya phyllostemon. Austral. J. Chem. 1989, 42, 2243–2263. [Google Scholar] [CrossRef]
- Ueda, J.Y.; Takagi, M.; Shin-ya, K. Aminocaprophenone- and pyrrolidine-type alkaloids from the leaves of Ficus septica. J. Nat. Prod. 2009, 72, 2181–2183. [Google Scholar] [CrossRef]
- Zhu, H.; Zhao, H.Y.; Peng, C.; Shu, H.Z.; Liu, Z.H.; Zhou, Q.M.; Xiong, L. New indolizidine- and pyrrolidine-type alkaloids with anti-angiogenic activities from Anisodus tanguticus. Biomed. Pharmacother. 2023, 167, 115481. [Google Scholar] [CrossRef]
- Ai, D.T.T.; Van, T.T.T.; Huong, D.T.M.; Litaudon, M.; Tram, L.H.; Cuong, P.V. Chemical constituents of Boehmeria holosericea Blume (Urticaceae). Vietnam J. Chem. 2018, 56, 172–175. [Google Scholar] [CrossRef]
- Paikroa, K.; Dhabe, A.S. Phytochemical analysis of Tephrosia pentaphylla (Roxb.) G.Don. BioInfoLet 2022, 19, 435–439. [Google Scholar]
- Kempthorne, C.J.; St Pierre, M.; Le, A.; Livingstone, S.; McNulty, J.; Cadotte, M.W.; Liscombe, D.K. Mass spectrometry-based metabolomics for the elucidation of alkaloid biosynthesis and function in invasive Vincetoxicum rossicum populations. Phytochemistry 2024, 221, 114051. [Google Scholar] [CrossRef] [PubMed]
- Adione, N.M.; Onyeka, I.P.; Abba, C.C.; Okoye, N.N.; Okolo, C.C.; Eze, P.M.; Umeokoli, B.O.; Anyanwu, O.O.; Okoye, F.B.C. Detection, isolation and identification of more bioactive compounds from Fusarium equiseti, an endophytic isolated from Ocimum gratissimum. GSC Biol. Pharm. Sci. 2022, 20, 130–140. [Google Scholar] [CrossRef]
- Eze, P.M.; Nnanna, J.C.; Okezie, U.; Buzugbe, H.S.; Abba, C.C.; Chukwunwejim, C.R.; Okoye, F.B.C.; Esimone, C.O. Screening of metabolites from endophytic fungi of some Nigerian medicinal plants for antimicrobial activities. EuroBiotech J. 2019, 3, 10–18. [Google Scholar] [CrossRef]
- Smolobochkin, A.V.; Gazizov, A.S.; Burilov, A.R.; Pudovik, M.A. Norhygrine Alkaloid and Its Derivatives: Synthetic Approaches and Applications to the Natural Products Synthesis. Helv Chim. Acta 2022, 105, e202100158. [Google Scholar] [CrossRef]
- Bhat, C.; Tilve, S.G. Recent advances in the synthesis of naturally occurring pyrrolidines, pyrrolizidines and indolizidine alkaloids using proline as a unique chiral synthon. RSC Adv. 2014, 4, 5405. [Google Scholar] [CrossRef]
- Brown, D.S.; Hansson, T.; Ley, S.V. Direct Substitution of 2-Benzenesulphonylpiperidines and -pyrrolidines by Carbon Nucleophiles: Synthesis of the Pyrrolidine Alkaloid Ruspolinone. Synlett 1990, 1990, 48–49. [Google Scholar] [CrossRef]
- Brown, D.S.; Charreau, P.; Hansson, T.; Ley, S.V. Substitution reactions of 2-phenylsylfonyl-piperidines and -pyrrolodines with carbon nucleophiles: Synthesis of the pyrrolidine alklaoids noruspoline and ruspolinone. Tetrahedron 1991, 47, 1311–1328. [Google Scholar] [CrossRef]
- Jones, K.; Woo, K.C. A total synthesis of (-)-ruspolinone. Tetrahedron 1991, 47, 7179–7184. [Google Scholar] [CrossRef]
- Negri, G.; Kascheres, C.; Kascheres, A.J. Recent Development in Preparation Reactivity and Biological Activity of Enaminoketones and Enaminothiones and Their Utilization to Prepare Heterocyclic Compounds. J. Heterocyclic Chem. 2004, 41, 461. [Google Scholar] [CrossRef]
- Couture, A.; Deniau, E.; Grandclaudon, P.; Lebrun, S. Dramatically Different Photochemical Behaviour of 1-Aroyl-2-methylene Piperidine and Pyrrolidine Derivatives. An Expeditious Synthesis of Ruspolinone. Tetrahedron Lett. 1996, 37, 7749–7752. [Google Scholar] [CrossRef]
- Sirvent, A.; Hernandez-Ibanez, S.; Yus, M.; Foubelo, F. Pyrrolidine and Indolizidine Alkaloids from Chiral N-tert-Butanesulfinyl Imines Derived from 4-Halobutanal. Synthesis 2021, 53, 1749–1759. [Google Scholar]
- Namitharan, K.; Cellnik, T.; Mukanova, A.; Kim, S.; Healy, A.R. A Dual Role for the N-Perfluorobutanesulfinamide Auxiliary in an Asymmetric Decarboxylative Mannich Reaction. Org Lett. 2024, 26, 8810–8815, preprint: ChemRxiv. 2024. [Google Scholar] [CrossRef]
- Manokari, M.; Latha, R.; Priyadharshini, S.; Cokul, R.M.; Beniwal, P.; Manjunatha, R.Y.; Rajput, B.S.; Shekhawat, M.S. A comprehensive review on a less explored medicinally important plant Justicia betonica L. World Sci. News 2019, 131, 110–122. [Google Scholar]
- Subbaraju, G.V.; Kavitha, J.; Rajasekhar, D.; Jimenez, J.I. Jusbetonin, the first indolo [3,2-b]quinoline alkaloid glycoside, from Justicia betonica. J. Nat. Prod. 2004, 67, 461–462. [Google Scholar] [CrossRef]
- Tudu, C.K.; Bandyopadhyay, A.; Kumar, M.; Radha; Das, T.; Nandy, S.; Ghorai, M.; Gopalakrishnan, A.V.; Proćków, J.; Dey, A. Unravelling the pharmacological properties of cryptolepine and its derivatives: A mini-review insight. Naunyn Schmiedebergs Arch Pharmacol. 2023, 396, 229–238. [Google Scholar] [CrossRef] [PubMed]
- Bonjean, K.; De Pauw-Gillet, M.C.; Defresne, M.P.; Colson, P.; Houssier, C.; Dassonneville, L.; Bailly, C.; Greimers, R.; Wright, C.; Quetin-Leclercq, J.; et al. The DNA intercalating alkaloid cryptolepine interferes with topoisomerase II and inhibits primarily DNA synthesis in B16 melanoma cells. Biochemistry. 1998, 37, 5136–5146. [Google Scholar] [CrossRef] [PubMed]
- Dassonneville, L.; Bonjean, K.; De Pauw-Gillet, M.C.; Colson, P.; Houssier, C.; Quetin-Leclercq, J.; Angenot, L.; Bailly, C. Stimulation of topoisomerase II-mediated DNA cleavage by three DNA-intercalating plant alkaloids: Cryptolepine, matadine, and serpentine. Biochemistry 1999, 38, 7719–7726. [Google Scholar] [CrossRef] [PubMed]
- Dassonneville, L.; Lansiaux, A.; Wattelet, A.; Wattez, N.; Mahieu, C.; Van Miert, S.; Pieters, L.; Bailly, C. Cytotoxicity and cell cycle effects of the plant alkaloids cryptolepine and neocryptolepine: Relation to drug-induced apoptosis. Eur J. Pharmacol. 2000, 409, 9–18. [Google Scholar] [CrossRef]
- Chen, J.; Deady, L.W.; Desneves, J.; Kaye, A.J.; Finlay, G.J.; Baguley, B.C.; Denny, W.A. Synthesis of substituted indeno[1,2-b]quinoline-6-carboxamides, [1]benzothieno[3,2-b]quinoline-4-carboxamides and 10H-quindoline-4-carboxamides: Evaluation of structure-activity relationships for cytotoxicity. Bioorg. Med. Chem. 2000, 8, 2461–2466. [Google Scholar] [CrossRef]
- Zhou, J.L.; Lu, Y.J.; Ou, T.M.; Zhou, J.M.; Huang, Z.S.; Zhu, X.F.; Du, C.J.; Bu, X.Z.; Ma, L.; Gu, L.Q.; et al. Synthesis and evaluation of quindoline derivatives as G-quadruplex inducing and stabilizing ligands and potential inhibitors of telomerase. J. Med. Chem. 2005, 48, 7315–7321. [Google Scholar] [CrossRef] [PubMed]
- Zhou, J.M.; Zhu, X.F.; Lu, Y.J.; Deng, R.; Huang, Z.S.; Mei, Y.P.; Wang, Y.; Huang, W.L.; Liu, Z.C.; Gu, L.Q.; et al. Senescence and telomere shortening induced by novel potent G-quadruplex interactive agents, quindoline derivatives, in human cancer cell lines. Oncogene 2006, 25, 503–511. [Google Scholar] [CrossRef]
- Neukomm, G.; Roessler, F.; Johne, S.; Hesse, M. Contributions to the Structure of Hypercratine, another Alkaloid of Ruspolia hypercrateriformis. Planta Med. 1983, 48, 246–252. [Google Scholar] [CrossRef] [PubMed]
- Bafor, E.E.; Ukpebor, F.; Omoruyi, O.; Ochoyama, E.; Omogiade, G.; Ekufu, J.; Edrada-Ebel, R. Tocolytic activity assessment of the methanol leaf extract of Justicia flava Vahl (Acanthaceae) on mouse myometrial contractility and preliminary mass spectrometric determination of secondary metabolites. J. Ethnopharmacol. 2019, 243, 112087. [Google Scholar] [CrossRef] [PubMed]
- Bafor, E.E.; Prendergast, C.; Wray, S. Justicia flava leaf extract potently relaxes pregnant human myometrial contractility: A lead plant for drug discovery of new tocolytic drugs. Exp. Physiol. 2020, 105, 2033–2037. [Google Scholar] [CrossRef] [PubMed]
- Tian, R.; Yin, J.; Yao, Q.; Wang, T.; Chen, J.; Liang, Q.; Li, Q.; Zhao, X. Development of an Allostery Responsive Chromatographic Method for Screening Potential Allosteric Modulator of Beta2-adrenoceptor from a Natural Product-Derived DNA-Encoded Chemical Library. Anal. Chem. 2022, 94, 9048–9057. [Google Scholar] [CrossRef] [PubMed]
- Liang, Q.; Shi, B.; Yao, Q.; Wang, T.; Ji, X.; Zhang, Y.; Wang, J.; Zhao, X. Early potential evaluation of lead compounds from a DNA-encoded library by the determination of their thermodynamics through a chromatographic method based on immobilized β2-adrenoceptor. Bioorg. Med. Chem. 2022, 68, 116864. [Google Scholar] [CrossRef]
- Yang, F.; Ling, S.; Zhou, Y.; Zhang, Y.; Lv, P.; Liu, S.; Fang, W.; Sun, W.; Hu, L.A.; Zhang, L.; et al. Different conformational responses of the β2-adrenergic receptor-Gs complex upon binding of the partial agonist salbutamol or the full agonist isoprenaline. Natl. Sci. Rev. 2021, 8, nwaa284. [Google Scholar] [CrossRef] [PubMed]
- Clarke, R.W.; Harris, J. RX 821002 as a tool for physiological investigation of alpha(2)-adrenoceptors. CNS Drug Rev. 2002, 8, 177–192. [Google Scholar] [CrossRef] [PubMed]
- Claustre, Y.; Peretti, D.D.; Brun, P.; Gueudet, C.; Allouard, N.; Alonso, R.; Lourdelet, J.; Oblin, A.; Damoiseau, G.; Françon, D.; et al. SSR181507, a dopamine D(2) receptor antagonist and 5-HT(1A) receptor agonist. I: Neurochemical and electrophysiological profile. Neuropsychopharmacology 2003, 28, 2064–2076. [Google Scholar] [CrossRef] [PubMed]
- Vergoten, G.; Bailly, C. Insights into the Mechanism of Action of the Degraded Limonoid Prieurianin. Int. J. Mol. Sci. 2024, 25, 3597. [Google Scholar] [CrossRef]
- Bailly, C.; Vergoten, G. Binding of Vialinin A and p-Terphenyl Derivatives to Ubiquitin-Specific Protease 4 (USP4): A Molecular Docking Study. Molecules 2022, 27, 5909. [Google Scholar] [CrossRef]
- Gangaram, S.; Naidoo, Y.; Dewir, Y.H.; El-Hendawy, S. Phytochemicals and Biological Activities of Barleria (Acanthaceae). Plants 2021, 11, 82. [Google Scholar] [CrossRef]
- Dirar, A.I.; Adhikari-Devkota, A.; Kunwar, R.M.; Paudel, K.R.; Belwal, T.; Gupta, G.; Chellappan, D.K.; Hansbro, P.M.; Dua, K.; Devkota, H.P. Genus Blepharis (Acanthaceae): A review of ethnomedicinally used species, and their phytochemistry and pharmacological activities. J. Ethnopharmacol. 2021, 265, 113255. [Google Scholar] [CrossRef]
- Matos, P.; Batista, M.T.; Figueirinha, A. A review of the ethnomedicinal uses, chemistry, and pharmacological properties of the genus Acanthus (Acanthaceae). J. Ethnopharmacol. 2022, 293, 115271. [Google Scholar] [CrossRef]
- Yaradua, S.S.; Yessoufou, K. Chloroplast genome of Ecbolium viride (Forssk.) Alston: Plastome evolution and phylogenomics of Justiceae (Acanthaceae, Acanthoideae). Genome 2024, 67, 267–280. [Google Scholar] [CrossRef]
- Manzitto-Tripp, E.A.; Darbyshire, I.; Daniel, T.F.; Kiel, C.A.; McDade, L.A. Revised classification of Acanthaceae and worldwide dichotomous keys. Taxon 2022, 71, 103–153. [Google Scholar] [CrossRef]
- Ambrosini, L.M.; Cernak, T.A.; Lambert, T.H. Total synthesis of the tylophora alkaloids rusplinone, 13aα-secoantofine, and antofine using a multicatalytic oxidative aminochlorocarbonylation/Friedel–Crafts reaction. Tetrahedron 2010, 66, 4882–4887. [Google Scholar] [CrossRef]
- Scott, L.J. Eliglustat: A Review in Gaucher Disease Type 1. Drugs 2015, 75, 1669–1678. [Google Scholar] [CrossRef]
- Dong, L.; Cao, Z.; Chen, M.; Liu, Y.; Ma, X.; Lu, Y.; Zhang, Y.; Feng, K.; Zhang, Y.; Meng, Z.; et al. Inhibition of glycosphingolipid synthesis with eliglustat in combination with immune checkpoint inhibitors in advanced cancers: Preclinical evidence and phase I clinical trial. Nat Commun. 2024, 15, 6970. [Google Scholar] [CrossRef] [PubMed]
- Poyraz, S.; Döndaş, H.A.; Döndaş, N.Y.; Sansano, J.M. Recent insights about pyrrolidine core skeletons in pharmacology. Front. Pharmacol. 2023, 14, 1239658. [Google Scholar] [CrossRef] [PubMed]
- Bhat, A.A.; Singh, I.; Tandon, N.; Tandon, R. Structure activity relationship (SAR) and anticancer activity of pyrrolidine derivatives: Recent developments and future prospects (A review). Eur. J. Med. Chem. 2023, 246, 114954. [Google Scholar] [CrossRef]
- Li Petri, G.; Raimondi, M.V.; Spanò, V.; Holl, R.; Barraja, P.; Montalbano, A. Pyrrolidine in Drug Discovery: A Versatile Scaffold for Novel Biologically Active Compounds. Top Curr. Chem. 2021, 379, 34. [Google Scholar] [CrossRef] [PubMed]







| Accepted Names 1 | Synonyms |
|---|---|
| Ruspolia australis (Milne-Redh.) Vollesen | Ruspolia hypocrateriformis var. australis Milne-Redh. |
| Ruspolia decurrens (Hochst. ex Nees) Milne-Redh. | Eranthemum decurrens Nees Eranthemum senense Klotzsch Pseuderanthemum decurrens (Nees) Radlk. Pseuderanthemum senense (Klotzsch) Radlk. |
| Ruspolia hypocrateriformis (Vahl) Milne-Redh. | Ruspolia pseuderanthemoides Lindau Justicia hypocrateriformis Vahl. Eranthemum affine Spreng. Eranthemum hypocrateriforme (Vahl) Sol. ex Roem. & Schult. |
| Ruspolia paniculata Benoist | |
| Ruspolia seticalyx (C.B.Clarke) Milne-Redh. | Eranthemum seticalyx C.B.Clarke |
| Compounds | ΔE (kcal/mol) | ΔG (kcal/mol) |
|---|---|---|
| Hypercratine | −73.10 | −73.40 |
| Isoproterenol | −45.80 | −58.60 |
| Ritodrine | −51.45 | −63.90 |
| Salbutanol | −46.60 | −52.85 |
| Terbutaline | −46.80 | −67.25 |
| Natural Products | Chemical Type | Plant Parts | Bioactivities | Ref. |
|---|---|---|---|---|
| Justicialosides A,B | Flavone glycosides | Leaves | Antioxidant activity | [18] |
| Chrysoeriol glycoside | Flavone glycoside | Leaves | Free radicals scavenging | [21] |
| Ruspolinone Norruspolinone Norruspoline N-methylruspolinone | Alkaloids | Whole plant | Anticancer and antimicrobial effects | [25,26,27] |
| 10H-quindoline | Alkaloid | Leaves | Cytotoxic activity | [17] |
| Hypercratine | Alkaloid | Roots | Potential binding to β2-adrenergic receptors (β2AR) | [60] |
Disclaimer/Publisher’s Note: The statements, opinions and data contained in all publications are solely those of the individual author(s) and contributor(s) and not of MDPI and/or the editor(s). MDPI and/or the editor(s) disclaim responsibility for any injury to people or property resulting from any ideas, methods, instructions or products referred to in the content. |
© 2025 by the authors. Licensee MDPI, Basel, Switzerland. This article is an open access article distributed under the terms and conditions of the Creative Commons Attribution (CC BY) license (https://creativecommons.org/licenses/by/4.0/).
Share and Cite
Bailly, C.; Vergoten, G. Overview of the Ruspolia Plant Genus: Insights into Its Chemical Diversity and Biological Potential. Life 2025, 15, 221. https://doi.org/10.3390/life15020221
Bailly C, Vergoten G. Overview of the Ruspolia Plant Genus: Insights into Its Chemical Diversity and Biological Potential. Life. 2025; 15(2):221. https://doi.org/10.3390/life15020221
Chicago/Turabian StyleBailly, Christian, and Gérard Vergoten. 2025. "Overview of the Ruspolia Plant Genus: Insights into Its Chemical Diversity and Biological Potential" Life 15, no. 2: 221. https://doi.org/10.3390/life15020221
APA StyleBailly, C., & Vergoten, G. (2025). Overview of the Ruspolia Plant Genus: Insights into Its Chemical Diversity and Biological Potential. Life, 15(2), 221. https://doi.org/10.3390/life15020221

