Reliability and Validity of Key Performance Metrics of Modified 505 Test
Abstract
1. Introduction
2. Materials and Methods
2.1. Participants
2.2. Study Design
- Day 1: Participants completed measurements of morphological characteristics (body mass, height, and body fat percentage) followed by the 10 m sprint test and the classic 505 CoD test. For the 505 CoD test, participants turned around both the dominant and non-dominant legs. The dominant leg’s superior motor control, force production, and coordination align with the demands of kicking mechanics. Therefore, the dominant leg was defined as the one used to kick a ball [19], with 21 participants reporting their right leg as dominant and six reporting their left. Participants were divided into two groups: one performed tests turning around the dominant leg first, and the other started with the non-dominant leg.
- Day 2: Participants performed the modified 505 CoD test, which integrated the 10 m sprint as an additional performance measure.
- Day 3: Participants performed the modified 505 CoD test with a visual signal to initiate movement, adding a cognitive component to the assessment.
2.3. Procedures
2.3.1. 10-m Sprint (S10m)
2.3.2. Classic 505 CoD Test (C505)
2.3.3. Modified 505 CoD Test (M505)
2.3.4. Modified 505 CoD Test with Visual Signal (RT505)
2.4. Statistical Analysis
3. Results
3.1. Reliability
3.1.1. 10 m Sprint Times
3.1.2. 505 CoD Times
3.1.3. Reaction Times
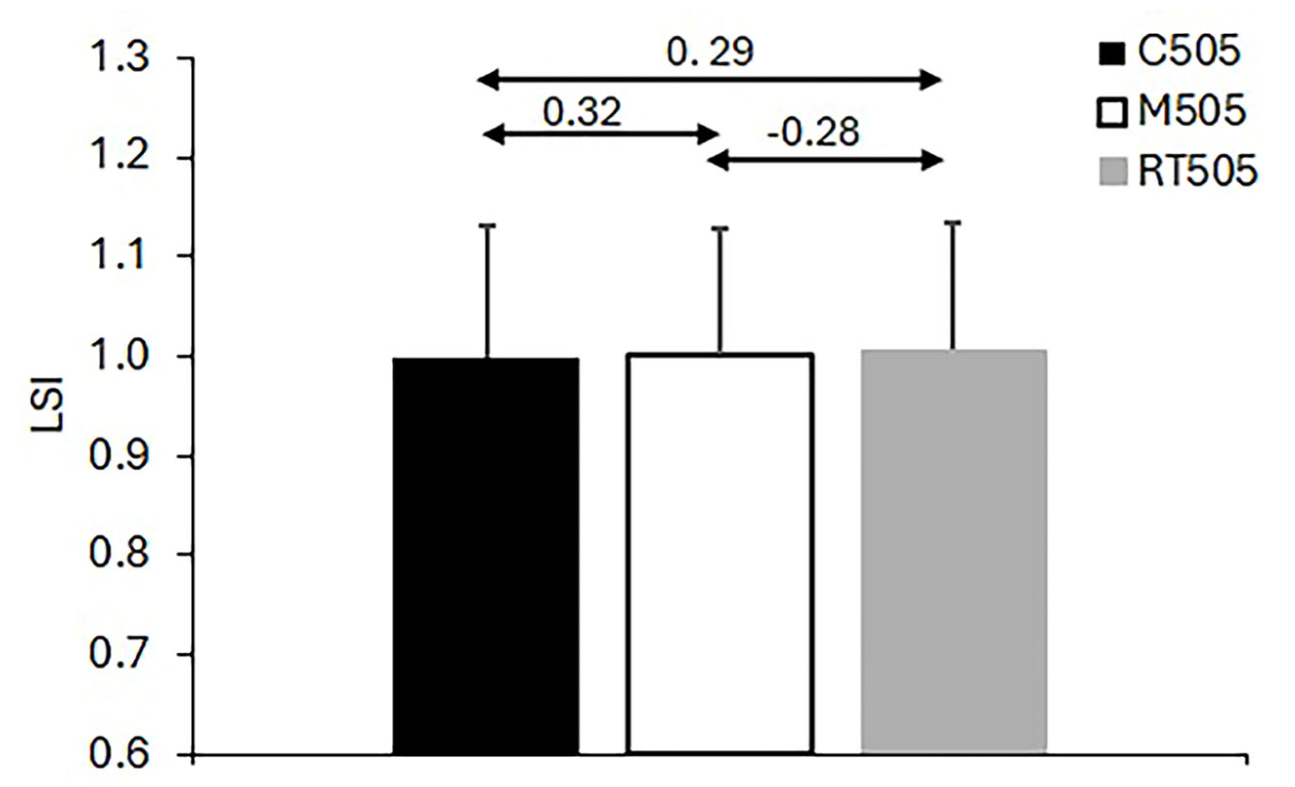
3.1.4. Limb Symmetry Index (LSI)
3.1.5. Total Time (TT)
3.2. Validity
3.2.1. 10 m Sprint Times
3.2.2. 505 CoD Times
3.2.3. LSI
4. Discussion
5. Conclusions
Author Contributions
Funding
Institutional Review Board Statement
Informed Consent Statement
Data Availability Statement
Conflicts of Interest
References
- Harper, D.J.; Carling, C.; Kiely, J. High-Intensity Acceleration and Deceleration Demands in Elite Team Sports Competitive Match Play: A Systematic Review and Meta-Analysis of Observational Studies. Sports Med. 2019, 49, 1923–1947. [Google Scholar] [CrossRef] [PubMed]
- Popowczak, M.; Rokita, A.; Struzik, A.; Cichy, I.; Dudkowski, A.; Chmura, P. Multi-Directional Sprinting and Acceleration Phase in Basketball and Handball Players Aged 14 and 15 Years. Percept. Mot. Skills 2016, 123, 543–563. [Google Scholar] [CrossRef]
- Delaney, J.A.; Cummins, C.J.; Thornton, H.R.; Duthie, G.M. Importance, Reliability, and Usefulness of Acceleration Measures in Team Sports. J. Strength Cond. Res. 2018, 32, 3485–3493. [Google Scholar] [CrossRef]
- Little, T.; Williams, A.G. Specificity of Acceleration, Maximum Speed, and Agility in Professional Soccer Players. J. Strength Cond. Res. 2005, 19, 76–78. [Google Scholar] [CrossRef]
- Spencer, M.; Bishop, D.; Dawson, B.; Goodman, C. Physiological and Metabolic Responses of Repeated-Sprint Activities. Sports Med. 2005, 35, 1025–1044. [Google Scholar] [CrossRef] [PubMed]
- Nimphius, S.; Callaghan, S.J.; Spiteri, T.; Lockie, R.G. Change of Direction Deficit: A More Isolated Measure of Change of Direction Performance Than Total 505 Time. J. Strength Cond. Res. 2016, 30, 3024–3032. [Google Scholar] [CrossRef] [PubMed]
- Spiteri, T.; Newton, R.U.; Binetti, M.; Hart, N.H.; Sheppard, J.M.; Nimphius, S. Mechanical Determinants of Faster Change of Direction and Agility Performance in Female Basketball Athletes. J. Strength Cond. Res. 2015, 29, 2205–2214. [Google Scholar] [CrossRef]
- Clemente, F.M.; González-Fernández, F.T.; García-Delgado, G.; Silva, R.; Silva, A.F.; Nobari, H.; Falces-Prieto, M. Leg Dominance and Performance in Change of Directions Tests in Young Soccer Players. Sci. Rep. 2022, 12, 12900. [Google Scholar] [CrossRef] [PubMed]
- Schneider, C.; Rothschild, J.; Uthoff, A. Change-of-Direction Speed Assessments and Testing Procedures in Tennis: A Systematic Review. J. Strength Cond. Res. 2023, 37, 1888–1895. [Google Scholar] [CrossRef]
- Negra, Y.; Sammoud, S.; Nevill, A.M.; Chaabene, H. Change of Direction Speed in Youth Male Soccer Players: The Predictive Value of Anthropometrics and Biological Maturity. Pediatr. Exerc. Sci. 2023, 35, 1–7. [Google Scholar] [CrossRef]
- Sammoud, S.; Bouguezzi, R.; Negra, Y.; Chaabene, H. The Reliability and Sensitivity of Change of Direction Deficit and Its Association with Linear Sprint Speed in Prepubertal Male Soccer Players. J. Funct. Morphol. Kinesiol. 2021, 6, 41. [Google Scholar] [CrossRef] [PubMed]
- Lockie, R.G.; Farzad, J.; Orjalo, A.J.; Giuliano, D.V.; Moreno, M.R.; Wright, G.A. A Methodological Report: Adapting the 505 Change-of-Direction Speed Test Specific to American Football. J. Strength Cond. Res. 2017, 31, 539–547. [Google Scholar] [CrossRef]
- Cuthbert, M.; Thomas, C.; Dos’Santos, T.; Jones, P.A. Application of Change of Direction Deficit to Evaluate Cutting Ability. J. Strength Cond. Res. 2019, 33, 2138–2144. [Google Scholar] [CrossRef] [PubMed]
- Wen, N.; Dalbo, V.J.; Burgos, B.; Pyne, D.B.; Scanlan, A.T. Power Testing in Basketball: Current Practice and Future Recommendations. J. Strength Cond. Res. 2018, 32, 2677–2691. [Google Scholar] [CrossRef] [PubMed]
- Dos’Santos, T.; Thomas, C.; Jones, P.A.; Comfort, P. Assessing Asymmetries in Change of Direction Speed Performance: Application of Change of Direction Deficit. J. Strength Cond. Res. 2019, 33, 2953–2961. [Google Scholar] [CrossRef]
- Lockie, R.G.; Jeffriess, M.D.; McGann, T.S.; Callaghan, S.J.; Schultz, A.B. Planned and Reactive Agility Performance in Semiprofessional and Amateur Basketball Players. Int. J. Sports Physiol. Perform. 2014, 9, 766–771. [Google Scholar] [CrossRef] [PubMed]
- Sheppard, J.M.; Young, W.B. Agility Literature Review: Classifications, Training and Testing. J. Sports Sci. 2006, 24, 919–932. [Google Scholar] [CrossRef]
- Badau, D.; Badau, A.; Joksimović, M.; Manescu, C.O.; Manescu, D.C.; Dinciu, C.C.; Margarit, I.R.; Tudor, V.; Mujea, A.M.; Neofit, A.; et al. Identifying the Level of Symmetrization of Reaction Time According to Manual Lateralization between Team Sports Athletes, Individual Sports Athletes, and Non-Athletes. Symmetry 2023, 16, 28. [Google Scholar] [CrossRef]
- Van Melick, N.; Meddeler, B.M.; Hoogeboom, T.J.; Nijhuis-van Der Sanden, M.W.G.; Van Cingel, R.E.H. How to Determine Leg Dominance: The Agreement between Self-Reported and Observed Performance in Healthy Adults. PLoS ONE 2017, 12, e0189876. [Google Scholar] [CrossRef]
- Iaia, F.M.; Fiorenza, M.; Larghi, L.; Alberti, G.; Millet, G.P.; Girard, O. Short- or Long-Rest Intervals during Repeated-Sprint Training in Soccer? PLoS ONE 2017, 12, e0171462. [Google Scholar] [CrossRef]
- McArdle, W.D.; Katch, F.I.; Katch, V.L. Exercise Physiology: Nutrition, Energy, and Human Performance, 8th ed.; Wolters Kluwer Health: New York, NY, USA, 2015; ISBN 978-1-4511-9155-4. [Google Scholar]
- Draper, J.A.; Lancaster, M.G. The 505 Test: A Test for Agility in the Horizontal Plane. Aust. J. Sci. Med. Sport 1985, 17, 15–18. [Google Scholar]
- Koo, T.K.; Li, M.Y. A Guideline of Selecting and Reporting Intraclass Correlation Coefficients for Reliability Research. J. Chiropr. Med. 2016, 15, 155–163. [Google Scholar] [CrossRef] [PubMed]
- Cohen, J. Statistical Power Analysis for the Behavioral Sciences, 2nd ed.Taylor and Francis: Hoboken, NJ, USA, 2013; ISBN 978-0-8058-0283-2. [Google Scholar]
- Inglis, P.; Bird, S.P. Reactive Agility Tests: Review and Practical Applications. J. Aust. Strength Cond. 2016, 24, 57–64. [Google Scholar]
- Sayers, M.G.L. Influence of Test Distance on Change of Direction Speed Test Results. J. Strength Cond. Res. 2015, 29, 2412–2416. [Google Scholar] [CrossRef]
- Young, W.B.; Willey, B. Analysis of a Reactive Agility Field Test. J. Sci. Med. Sport 2010, 13, 376–378. [Google Scholar] [CrossRef]
- Maloney, S.J. The Relationship Between Asymmetry and Athletic Performance: A Critical Review. J. Strength Cond. Res. 2019, 33, 2579–2593. [Google Scholar] [CrossRef] [PubMed]
- Versic, S.; Pehar, M.; Modric, T.; Pavlinovic, V.; Spasic, M.; Uljevic, O.; Corluka, M.; Sattler, T.; Sekulic, D. Bilateral Symmetry of Jumping and Agility in Professional Basketball Players: Differentiating Performance Levels and Playing Positions. Symmetry 2021, 13, 1316. [Google Scholar] [CrossRef]
- Bishop, C.; Read, P.; Brazier, J.; Jarvis, P.; Chavda, S.; Bromley, T.; Turner, A. Effects of Interlimb Asymmetries on Acceleration and Change of Direction Speed: A Between-Sport Comparison of Professional Soccer and Cricket Athletes. J. Strength Cond. Res. 2021, 35, 2095–2101. [Google Scholar] [CrossRef] [PubMed]
- Scanlan, A.; Humphries, B.; Tucker, P.S.; Dalbo, V. The Influence of Physical and Cognitive Factors on Reactive Agility Performance in Men Basketball Players. J. Sports Sci. 2014, 32, 367–374. [Google Scholar] [CrossRef]
- Kutlu, M.; Yapıcı, H.; Yoncalık, O.; Çelik, S. Comparison of a New Test For Agility and Skill in Soccer With Other Agility Tests. J. Hum. Kinet. 2012, 33, 143–150. [Google Scholar] [CrossRef]
- Sheppard, J.M.; Young, W.B.; Doyle, T.L.A.; Sheppard, T.A.; Newton, R.U. An Evaluation of a New Test of Reactive Agility and Its Relationship to Sprint Speed and Change of Direction Speed. J. Sci. Med. Sport 2006, 9, 342–349. [Google Scholar] [CrossRef]
- Fiorilli, G.; Iuliano, E.; Mitrotasios, M.; Pistone, E.M.; Aquino, G.; Calcagno, G.; di Cagno, A. Are Change of Direction Speed and Reactive Agility Useful for Determining the Optimal Field Position for Young Soccer Players? J. Sports Sci. Med. 2017, 16, 247–253. [Google Scholar] [PubMed]
- Theofilou, G.; Ladakis, I.; Mavroidi, C.; Kilintzis, V.; Mirachtsis, T.; Chouvarda, I.; Kouidi, E. The Effects of a Visual Stimuli Training Program on Reaction Time, Cognitive Function, and Fitness in Young Soccer Players. Sensors 2022, 22, 6680. [Google Scholar] [CrossRef]




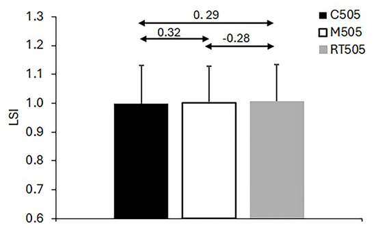
| Test | Variable | Trial 1 | Trial 2 | Trial 3 | 2-1% | 3-2% | CV% | SEM | ICC (95% CI) | Ttest/ANOVA |
|---|---|---|---|---|---|---|---|---|---|---|
| Standard 10 m sprint and 505 test | 10 m | 1.849 ± 0.117 | 1.822 ± 0.108 | - | −1.64 | - | 2.48 | 0.05 | 0.845 (0.719, 0.917) | 1.884 |
| 505N | 2.484 ± 0.143 | 2.513 ± 0.129 | - | 1.27 | - | 3.11 | 0.08 | 0.704 (0.482, 0.837) | −1.408 | |
| 505D | 2.516 ± 0.132 | 2.486 ± 0.132 | - | −1.19 | - | 2.84 | 0.07 | 0.744 (0.558, 0.858) | 1.598 | |
| LSI 505 | 0.989 ± 0.033 | 1.012 ± 0.040 | - | 2.32 | - | 3.29 | 0.03 | 0.212 (−0.161, 0.513) | −2.391 * | |
| 505 modified | 10mN | 1.835 ± 0.104 | 1.858 ± 0.085 | 1.857 ± 0.084 | 1.38 | −0.10 | 1.83 | 0.03 | 0.868 (0.774, 0.927) | 1.767 |
| 10mD | 1.828 ± 0.136 | 1.869 ± 0.099 | 1.857 ± 0.106 | 1.66 | −0.57 | 2.23 | 0.04 | 0.868 (0.773, 0.927) | 2.436 | |
| 505N | 2.475 ± 0.125 | 2.499 ± 0.123 | 2.481 ± 0.131 | 1.02 | −0.22 | 2.13 | 0.05 | 0.839 (0.731, 0.910) | 1.192 | |
| 505D | 2.468 ± 0.141 | 2.492 ± 0.116 | 2.478 ± 0.108 | 1.11 | −0.53 | 1.82 | 0.04 | 0.876 (0.789, 0.931) | 2.121 | |
| LSI 505 | 1.002 ± 0.035 | 1.005 ± 0.036 | 1.003 ± 0.04 | 0.25 | −0.05 | 2.52 | 0.02 | 0.566 (0.339, 0.740) | 0.237 | |
| TTN | 4.274 ± 0.225 | 4.364 ± 0.193 | 4.326 ± 0.194 | 2.22 | −0.27 | 1.51 | 0.06 | 0.908 (0.841, 0.950) | 9.097 * | |
| TTD | 4.210 ± 0.194 | 4.354 ± 0.206 | 4.335 ± 0.199 | 2.04 | −0.40 | 1.55 | 0.07 | 0.901 (0.829, 0.946) | 9.055 * | |
| 505 modified RT | RTN | 0.613 ± 0.098 | 0.596 ± 0.110 | 0.604 ± 0.093 | −2.91 | 1.90 | 8.64 | 0.05 | 0.799 (0.669, 0.886) | 0.710 |
| RTD | 0.615 ± 0.068 | 0.619 ± 0.112 | 0.605 ± 0.106 | −0.28 | −3.88 | 7.48 | 0.04 | 0.805 (0.679, 0.890) | 1.790 | |
| 10mN | 1.879 ± 0.106 | 1.903 ± 0.097 | 1.883 ± 0.101 | 1.09 | −0.57 | 1.80 | 0.03 | 0.904 (0.834, 0.947) | 1.789 | |
| 10mD | 1.893 ± 0.117 | 1.878 ± 0.134 | 1.883 ± 0.113 | −0.84 | 0.95 | 1.82 | 0.03 | 0.933 (0.885, 0.964) | 1.605 | |
| 505N | 2.484 ± 0.151 | 2.489 ± 0.125 | 2.493 ± 0.126 | −0.04 | −0.19 | 1.91 | 0.05 | 0.886 (0.805, 0.937) | 0.054 | |
| 505D | 2.491 ± 0.106 | 2.472 ± 0.102 | 2.479 ± 0.128 | −0.29 | −0.11 | 1.88 | 0.05 | 0.841 (0.732, 0.911) | 0.268 | |
| LSI 505 | 1.003 ± 0.038 | 1.005 ± 0.031 | 1.003 ± 0.028 | −0.04 | −0.59 | 2.51 | 0.02 | 0.432 (0.163, 0.650) | 0.287 | |
| TTN | 4.355 ± 0.228 | 4.403 ± 0.205 | 4.404 ± 0.249 | 1.35 | −0.08 | 1.65 | 0.07 | 0.904 (0.834, 0.948) | 4.719 * | |
| TTD | 4.381 ± 0.206 | 4.348 ± 0.217 | 4.374 ± 0.222 | −0.78 | 0.60 | 1.60 | 0.07 | 0.905 (0.839, 0.947) | 1.325 |
Disclaimer/Publisher’s Note: The statements, opinions and data contained in all publications are solely those of the individual author(s) and contributor(s) and not of MDPI and/or the editor(s). MDPI and/or the editor(s) disclaim responsibility for any injury to people or property resulting from any ideas, methods, instructions or products referred to in the content. |
© 2025 by the authors. Licensee MDPI, Basel, Switzerland. This article is an open access article distributed under the terms and conditions of the Creative Commons Attribution (CC BY) license (https://creativecommons.org/licenses/by/4.0/).
Share and Cite
Živković, A.; Marković, S.; Cuk, I.; Knežević, O.M.; Mirkov, D.M. Reliability and Validity of Key Performance Metrics of Modified 505 Test. Life 2025, 15, 198. https://doi.org/10.3390/life15020198
Živković A, Marković S, Cuk I, Knežević OM, Mirkov DM. Reliability and Validity of Key Performance Metrics of Modified 505 Test. Life. 2025; 15(2):198. https://doi.org/10.3390/life15020198
Chicago/Turabian StyleŽivković, Aleksandar, Srdjan Marković, Ivan Cuk, Olivera M. Knežević, and Dragan M. Mirkov. 2025. "Reliability and Validity of Key Performance Metrics of Modified 505 Test" Life 15, no. 2: 198. https://doi.org/10.3390/life15020198
APA StyleŽivković, A., Marković, S., Cuk, I., Knežević, O. M., & Mirkov, D. M. (2025). Reliability and Validity of Key Performance Metrics of Modified 505 Test. Life, 15(2), 198. https://doi.org/10.3390/life15020198

