Mineral Metabolism Assays, Central DXA, and Fracture Risk Probabilities in Menopausal Patients with Non-Functional Adrenal Tumors with/Without Mild Autonomous Cortisol Secretion: Does the Presence of Unilateral Versus Bilateral Tumors Matter?
Abstract
1. Introduction
Objective
2. Materials and Methods
2.1. Study Design
2.2. Study Population
2.3. Study Protocol
2.4. Statistical Analysis
3. Results
4. Discussion
5. Conclusions
Author Contributions
Funding
Institutional Review Board Statement
Informed Consent Statement
Data Availability Statement
Acknowledgments
Conflicts of Interest
Abbreviations
| ACTH | Adrenocorticotropic hormone |
| BMI | Body mass index |
| BMD | Bone mineral density |
| BTMs | Bone turnover markers |
| BT | Bilateral tumors |
| cs-1mg-DST | Second-day plasma cortisol after 1 mg dexamethasone testing |
| DXA | Dual-Energy X-ray Absorptiometry |
| DST | Dexamethasone suppression test |
| FRAX | Fracture risk estimator tool |
| HF | 10-year fracture risk for hip fracture |
| HR-pQCT | High-resolution peripheral quantitative CT |
| IQR | Interquartile interval |
| MOF | 10-year fracture risk for major osteoporotic |
| MMAs | Mineral metabolism assays |
| N | Number of patients |
| PTH | Parathyroid hormone |
| P1NP | Procollagen-N-terminal-peptide |
| Q | Quartile |
| SD | Standard deviation |
| TBS | Trabecular bone score |
| UT | Unilateral tumor |
Appendix A


References
- Ngo, B.; Liu, T.; Lau, E. Imaging of Adrenal Incidentalomas: What Actually Happens in Everyday Clinical Practice? J. Med. Imaging Radiat. Oncol. 2025, 69, 328–334. [Google Scholar] [CrossRef]
- Savoie, P.H.; Murez, T.; Rocher, L.; Neuville, P.; Escoffier, A.; Fléchon, A.; Branger, N.; Camparo, P.; Rouprêt, M. French AFU Cancer Committee Guidelines—Update 2024–2026: Assessment of an adrenal incidentaloma and oncological management. Fr. J. Urol. 2024, 34, 102748. [Google Scholar] [CrossRef] [PubMed]
- Yoshida, Y.; Horiuchi, K.; Otsuki, M.; Okamoto, T. Diagnosis and management of adrenal incidentaloma: Use of clinical judgment and evidence in dialog with the patient. Surg. Today 2024, 54, 1417–1427. [Google Scholar] [CrossRef] [PubMed]
- Park, S.S.; Kim, J.H. Recent Updates on the Management of Adrenal Incidentalomas. Endocrinol. Metab. 2023, 38, 373–380. [Google Scholar] [CrossRef] [PubMed]
- Rowe, N.E.; Kumar, R.; Schieda, N.; Siddiqi, F.; McGregor, T.; McAlpine, K.; Violette, P.; Bathini, V.; Eng, M.; Izard, J. Diagnosis, Management, and Follow-Up of the Incidentally Discovered Adrenal Mass: CUA Guideline Endorsed by the AUA. J. Urol. 2023, 210, 590–599. [Google Scholar] [CrossRef]
- Carsote, M.; Valea, A.; Dumitru, N.; Terzea, D.; Petrova, E.; Albu, S.; Buruiana, A.; Ghemigian, A. Metastases in daily endocrine practice. Arch. Balk. Med. Union 2016, 51, 476–480. [Google Scholar]
- Savoie, P.H.; Murez, T.; Neuville, P.; Van Hove, A.; Rocher, L.; Fléchon, A.; Camparo, P.; Ferretti, L.; Branger, N.; Rouprêt, M. French AFU Cancer Committee Guidelines Update 2022–2024: Adrenal tumor—Assessment of an adrenal incidetaloma and oncological management. Prog. Urol. 2022, 32, 1040–1065. [Google Scholar] [CrossRef]
- Braun, L.T.; Vogel, F.; Zopp, S.; Marchant Seiter, T.; Rubinstein, G.; Berr, C.M.; Künzel, H.; Beuschlein, F.; Reincke, M. Whom Should We Screen for Cushing Syndrome? The Endocrine Society Practice Guideline Recommendations 2008 Revisited. J. Clin. Endocrinol. Metab. 2022, 107, e3723–e3730. [Google Scholar] [CrossRef]
- Riester, A.; Beuschlein, F. Autonomous cortisol secretion: Laboratory artifact or disease? Internist 2022, 63, 18–24. [Google Scholar] [CrossRef]
- Makris, K.I.; Clark, D.L.; Buffie, A.W.; Steen, E.H.; Ramsey, D.J.; Singh, H. Missed Opportunities to Promptly Diagnose and Treat Adrenal Tumors. J. Surg. Res. 2022, 276, 174–181. [Google Scholar] [CrossRef]
- Kebebew, E. Adrenal Incidentaloma. N. Engl. J. Med. 2021, 384, 1542–1551. [Google Scholar] [CrossRef]
- Reimondo, G.; Muller, A.; Ingargiola, E.; Puglisi, S.; Terzolo, M. Is Follow-up of Adrenal Incidentalomas Always Mandatory? Endocrinol. Metab. 2020, 35, 26–35. [Google Scholar] [CrossRef]
- Łebek-Szatańska, A.; Januszewicz, A.; Kołodziejczyk-Kruk, S.; Kabat, M.; Śpiewak, M.; Januszewicz, M. How to manage adrenal incidentaloma in a hypertensive patient? Pol. Arch. Intern. Med. 2025, 135, 16949. [Google Scholar] [CrossRef]
- Suntornlohanakul, O.; Mandal, S.; Saha, P.; Saygili, E.S.; Asia, M.; Arlt, W.; Elhassan, Y.S.; Prete, A.; Ronchi, C.L. Presentation and management of patients with adrenal masses: A large tertiary centre experience. Eur. J. Endocrinol. 2024, 191, 481–490. [Google Scholar] [CrossRef] [PubMed]
- Dumitru, N.; Carsote MCocolos, A.; Petrova, E.; Olaru, M.; Dumitrache, C.; Ghemigian, A. The Link Between Bone Osteocalcin and Energy Metabolism in a Group of Postmenopausal Women. Curr. Health Sci. J. 2019, 45, 47–51. [Google Scholar] [CrossRef] [PubMed]
- Manea, M.M.; Dragos, D.; Ghenu, M.I.; Enache, I.I.; Stoican, I.C.; Ciulavu, C.; Vasiliu, O.; Sirbu, C.A.; Tuta, S. The Neurocardiogenic Impact of Ischemic Stroke: Intricacies of Cardiac Enzymes and the Vegetative System. Rom. J. Mil. Med. 2025, 128, 36–42. [Google Scholar] [CrossRef]
- Popa, F.L.; Boicean, L.C.; Iliescu, M.G.; Stanciu, M. The importance of association between sex steroids deficiency, reduction of bone mineral density and falling risk in men with implications in medical rehabilitation. Balneo PRM Res. J. 2021, 12, 318–322. [Google Scholar] [CrossRef]
- Nistor, C.E.; Bugala, N.M.; Daguci, C.; Daguci, L.; Diaconu, O.A.; Rica, A.M. Multiple endocrine neoplasia type 2 syndrome and osteoporosis. Aging Clin. Exp. Res. 2023, 35 (Suppl. 1), S387. [Google Scholar]
- Glazer, D.I.; Mayo-Smith, W.W. Management of incidental adrenal masses: An update. Abdom. Radiol. 2020, 45, 892–900. [Google Scholar] [CrossRef]
- Araujo-Castro, M.; Iturregui Guevara, M.; Calatayud Gutiérrez, M.; Parra Ramírez, P.; Gracia Gimeno, P.; Hanzu, F.A.; Lamas Oliveira, C. Practical guide on the initial evaluation, follow-up, and treatment of adrenal incidentalomas Adrenal Diseases Group of the Spanish Society of Endocrinology and Nutrition. Endocrinol. Diabetes Nutr. (Engl. Ed.) 2020, 67, 408–419. [Google Scholar] [CrossRef]
- Vassiliadi, D.A.; Partsalaki, E.; Tsagarakis, S. Approach to patients with bilateral adrenal incidentalomas. Curr. Opin. Endocrinol. Diabetes Obes. 2020, 27, 125–131. [Google Scholar] [CrossRef]
- Maas, M.; Nassiri, N.; Bhanvadia, S.; Carmichael, J.D.; Duddalwar, V.; Daneshmand, S. Discrepancies in the Recommended Management of Adrenal Incidentalomas by Various Guidelines. J. Urol. 2021, 205, 52–59. [Google Scholar] [CrossRef]
- Savoie, P.H.; Murez, T.; Fléchon, A.; Rocher, L.; Ferretti, L.; Morel-Journel, N.; Camparo, P.; Méjean, A. French ccAFU guidelines—Update 2020–2022: Malignancy assessment of an adrenal incidentaloma. Prog. Urol. 2020, 30 (Suppl. 12), S331–S352. [Google Scholar] [CrossRef]
- Almeida, R.R.; Bizzo, B.C.; Singh, R.; Andriole, K.P.; Alkasab, T.K. Computer-assisted Reporting and Decision Support Increases Compliance with Follow-up Imaging and Hormonal Screening of Adrenal Incidentalomas. Acad. Radiol. 2022, 29, 236–244. [Google Scholar] [CrossRef] [PubMed]
- Expert Panel on Urological Imaging; Mody, R.N.; Remer, E.M.; Nikolaidis, P.; Khatri, G.; Dogra, V.S.; Ganeshan, D.; Gore, J.L.; Gupta, R.T.; Heilbrun, M.E.; et al. ACR Appropriateness Criteria® Adrenal Mass Evaluation: 2021 Update. J. Am. Coll. Radiol. 2021, 18 (Suppl. 11), S251–S267. [Google Scholar] [CrossRef]
- Janiak, K.; Józwik-Plebanek, K.; Kamiński, G. Recent guidelines for diagnostic and therapeutic management of accidentally detected adrenal tumours (incidentaloma) in adults. Endokrynol. Pol. 2024, 75, 385–394. [Google Scholar] [CrossRef]
- Fassnacht, M.; Tsagarakis, S.; Terzolo, M.; Tabarin, A.; Sahdev, A.; Newell-Price, J.; Pelsma, I.; Marina, L.; Lorenz, K.; Bancos, I.; et al. European Society of Endocrinology clinical practice guidelines on the management of adrenal incidentalomas, in collaboration with the European Network for the Study of Adrenal Tumors. Eur. J. Endocrinol. 2023, 189, G1–G42. [Google Scholar] [CrossRef]
- Corwin, M.T.; Schieda, N.; Remer, E.M.; Caoili, E.M. Management of incidental adrenal nodules: A survey of abdominal radiologists conducted by the Society of Abdominal Radiology Disease-Focused Panel on Adrenal Neoplasms. Abdom. Radiol. 2022, 47, 1360–1368. [Google Scholar] [CrossRef]
- Available online: https://www.osteoporosis.foundation/ (accessed on 8 June 2025).
- Available online: https://www.fraxplus.org/calculation-tool (accessed on 8 June 2025).
- Available online: https://www.fraxplus.org/ro/frax-plus (accessed on 5 May 2025).
- Athimulam, S.; Bancos, I. Evaluation of bone health in patients with adrenal tumors. Curr. Opin. Endocrinol. Diabetes Obes. 2019, 26, 125–132. [Google Scholar] [CrossRef]
- Ivović, M.; Marina, L.V.; Šojat, A.S.; Tančić-Gajić, M.; Arizanović, Z.; Kendereški, A.; Vujović, S. Approach to the Patient with Subclinical Cushing’s Syndrome. Curr. Pharm. Des. 2020, 26, 5584–5590. [Google Scholar] [CrossRef]
- Jiménez Cassinello, J.M.; Vega-Beyhart, A.; Bernarda Iriarte, M.; Donato, S.; Herrera-Martínez, A.D.; Marazuela, M.; Araujo-Castro, M. Mild autonomous cortisol secretion: Impact on bone health and quality of life. A review. Endocrine 2025, 88, 693–700. [Google Scholar] [CrossRef]
- Zavatta, G.; Di Dalmazi, G. Mild Autonomous Cortisol Secretion (MACS)—Related Osteoporosis. Exp. Clin. Endocrinol. Diabetes 2024, 132, 712–722. [Google Scholar] [CrossRef]
- Valea, A.; Carsote, M.; Moldovan, C.; Georgescu, C. Chronic autoimmune thyroiditis and obesity. Arch. Balk. Med. Union 2018, 53, 64–69. [Google Scholar]
- Pipernea, R.; Popa, F.L.; Ciortea, V.M.; Irsay, L.; Ungur, R.A.; Pintea, A.L.; Iliescu, M.G.; Cipăian, R.C.; Stanciu, M. The role of rehabilitation and anabolic treatment in severe osteoporosis associated with significant vitamin D deficiency—Case report. Balneo PRM Res. J. 2023, 14, 539. [Google Scholar] [CrossRef]
- Valea, A.; Ghervan, C.; Morar, A.; Pop, D.D.; Carsote, M.; Albu, S.E.; Georgescu, C.E.; Chiorean, A. Hashimoto’s thyroiditis and breast cancer: Coincidence or correlation? Arch. Balk. Med. Union 2016, 51, 129–132. [Google Scholar]
- Favero, V.; Cairoli, E.; Eller-Vainicher, C.; Morelli, V.; Salcuni, A.S.; Della Casa, S.; Muscogiuri, G.; Columbu, C.; Pugliese, F.; Corbetta, S.; et al. Fragility Fractures and Cortisol Secretion in Patients with Nonfunctioning Adrenal Incidentalomas. J. Endocr. Soc. 2024, 8, bvae144. [Google Scholar] [CrossRef]
- Puglisi, S.; Barač Nekić, A.; Morelli, V.; Alessi, Y.; Fosci, M.; Pani, A.; Zibar Tomsic, K.; Palmieri, S.; Ferraù, F.; Pia, A.; et al. Are comorbidities of patients with adrenal incidentaloma tied to sex? Front. Endocrinol. 2024, 15, 1385808. [Google Scholar] [CrossRef]
- Pal, R.; Banerjee, M.; Prasad, T.N.; Walia, R.; Bhadada, T.; Singh, J.; Bhadada, S.K. Fracture risk and bone health in adrenal adenomas with mild autonomous cortisol secretion/subclinical hypercortisolism: A systematic review, meta-analysis and meta-regression. J. Bone Miner. Res. 2024, 39, 885–897. [Google Scholar] [CrossRef]
- Zavatta, G.; Vicennati, V.; Altieri, P.; Tucci, L.; Colombin, G.; Coscia, K.; Mosconi, C.; Balacchi, C.; Fanelli, F.; Malagrinò, M.; et al. Mild autonomous cortisol secretion in adrenal incidentalomas and risk of fragility fractures: A large cross-sectional study. Eur. J. Endocrinol. 2023, 188, 343–352. [Google Scholar] [CrossRef]
- Frara, S.; Allora, A.; di Filippo, L.; Formenti, A.M.; Loli, P.; Polizzi, E.; Tradati, D.; Ulivieri, F.M.; Giustina, A. Osteopathy in mild adrenal Cushing’s syndrome and Cushing disease. Best Pract. Res. Clin. Endocrinol. Metab. 2021, 35, 101515. [Google Scholar] [CrossRef]
- Prete, A.; Bancos, I. Mild autonomous cortisol secretion: Pathophysiology, comorbidities and management approaches. Nat. Rev. Endocrinol. 2024, 20, 460–473. [Google Scholar] [CrossRef]
- Pelsma, I.C.M.; Fassnacht, M.; Tsagarakis, S.; Terzolo, M.; Tabarin, A.; Sahdev, A.; Newell-Price, J.; Marina, L.; Lorenz, K.; Bancos, I.; et al. Comorbidities in mild autonomous cortisol secretion and the effect of treatment: Systematic review and meta-analysis. Eur. J. Endocrinol. 2023, 189, S88–S101. [Google Scholar] [CrossRef] [PubMed]
- Araujo-Castro, M.; Pascual-Corrales, E.; García Cano, A.M.; Marchan, M.; Casals, G.; Hanzu, F.A.; Gomez-Bermejo, M.Á.; Escobar Morreale, H.F.; Valderrabano, P. Evaluation of Body Composition in Patients With and Without Adrenal Tumors and Without Overt Hypersecretory Syndromes. Endocr. Pract. 2023, 29, 110–118. [Google Scholar] [CrossRef] [PubMed]
- Han, M.M.; Cao, X.M.; Liu, Z.A.; Zhang, Y.; Liu, Y.F. Continuum of glucose and bone metabolism impairment across autonomous cortisol secretion: A cross-sectional study. World J. Diabetes 2025, 16, 100580. [Google Scholar] [CrossRef] [PubMed]
- Moraes, A.B.; de Paula, M.P.; de Paula Paranhos-Neto, F.; Cavalari, E.M.R.; de Morais, F.F.C.; Curi, D.S.C.; Lima, L.F.C.; de Mendonça, L.M.C.; Farias, M.L.F.; Madeira, M.; et al. Bone Evaluation by High-Resolution Peripheral Quantitative Computed Tomography in Patients with Adrenal Incidentaloma. J. Clin. Endocrinol. Metab. 2020, 105, dgaa263. [Google Scholar] [CrossRef]
- Ahn, S.H.; Kim, J.H.; Cho, Y.Y.; Suh, S.; Kim, B.J.; Hong, S.; Lee, S.H.; Koh, J.M.; Song, K.H. The effects of cortisol and adrenal androgen on bone mass in Asians with and without subclinical hypercortisolism. Osteoporos. Int. 2019, 30, 1059–1069. [Google Scholar] [CrossRef]
- Kanis, J.A.; Cooper, C.; Rizzoli, R.; Reginster, J.Y. Scientific Advisory Board of the European Society for Clinical and Economic Aspects of Osteoporosis and Osteoarthritis (ESCEO) and the Committees of Scientific Advisors and National Societies of the International Osteoporosis Foundation (IOF). Executive summary of the European guidance for the diagnosis and management of osteoporosis in postmenopausal women. Calcif. Tissue Int. 2019, 104, 235–238. [Google Scholar] [CrossRef]
- Vassilatou, E.; Vryonidou, A.; Ioannidis, D.; Paschou, S.A.; Panagou, M.; Tzavara, I. Bilateral adrenal incidentalomas differ from unilateral adrenal incidentalomas in subclinical cortisol hypersecretion but not in potential clinical implications. Eur. J. Endocrinol. 2014, 171, 37–45. [Google Scholar] [CrossRef]
- Morelli, V.; Palmieri, S.; Salcuni, A.S.; Eller-Vainicher, C.; Cairoli, E.; Zhukouskaya, V.; Scillitani, A.; Beck-Peccoz, P.; Chiodini, I. Bilateral and unilateral adrenal incidentalomas: Biochemical and clinical characteristics. Eur. J. Endocrinol. 2013, 168, 235–241. [Google Scholar] [CrossRef]
- Ognjanović, S.; Macut, D.; Petakov, M.; Elezović Kovačević, V.; Isailović, T.; Bozić Antić, I.; Ilić, D.; Popović, B.; Bogavac, T.; Pekmezović, T.; et al. The Occurrence of Subclinical Hypercortisolism and Osteoporosis in Patients with Incidentally Discovered Unilateral and Bilateral Adrenal Tumors. J. Med. Biochem. 2016, 35, 401–409. [Google Scholar] [CrossRef]
- O’Connor, J.P.; Poloju, A.; Pabich, S.K.; Allen, B.; Sippel, R.; Kind, A.; Chiu, A. Unveiling the Silent Threat: Disparities in Adrenal Incidentaloma Management. J. Surg. Res. 2025, 311, 143–150. [Google Scholar] [CrossRef]
- Allahwasaya, A.; Akhund, R.; Balachandra, S.; McLeod, C.; Lindeman, B.; Fazendin, J.; Gillis, A.; Zmijewski, P.; Chen, H. Adrenal Referral Pattern: Management of Patients with an Adrenal Incidentaloma. J. Surg. Res. 2024, 302, 144–149. [Google Scholar] [CrossRef]
- Morelli, V.; Frigerio, S.; Aresta, C.; Passeri, E.; Pugliese, F.; Copetti, M.; Barbieri, A.M.; Fustinoni, S.; Polledri, E.; Corbetta, S.; et al. Adrenalectomy Improves Blood Pressure and Metabolic Control in Patients with Possible Autonomous Cortisol Secretion: Results of a RCT. Front. Endocrinol. 2022, 13, 898084. [Google Scholar] [CrossRef]
- Di Dalmazi, G. Adrenal Incidentaloma: Picking out the High-Risk Patients. Exp. Clin. Endocrinol. Diabetes 2019, 127, 178–184. [Google Scholar] [CrossRef]





| Parameter | Entire Cohort (N = 129, 100%) | UT Group (N = 88, 68.22%) | BT Group (N = 41, 31.78%) | p-Value | Normal Range |
|---|---|---|---|---|---|
| Age (years), mean ± SD | 62.39 ± 7.90 | 62.72 ± 7.88 | 61.68 ± 8.00 | 0.492 | |
| Years since menopause, mean ± SD | 13.70 ± 8.00 | 13.62 ± 8.47 | 13.91 ± 7.15 | 0.887 | |
| Type 2 diabetes mellitus, N (%) | 46 (35.66) | 31 (35.23) | 15 (36.59) | 0.881 | |
| Arterial hypertension, N (%) | 95 (73.60) | 64 (72.70) | 31 (75.60) | 0.729 | |
| Dyslipidemia, N (%) | 71 (77.20) | 49 (79.00) | 22 (73.30) | 0.542 | |
| BMI (kg/sqm), mean ± SD | 29.94 ± 5.68 | 29.80 ± 5.00 | 30.24 ± 7.05 | 0.706 | |
| Fasting glycaemia (mg/dL), mean ± SD | 106.68 ± 27.85 | 107.59 ± 31.69 | 105.14 ± 20.30 | 0.741 | 74–106 |
| Glycated hemoglobin A1c (%), mean ± SD | 6.12 ± 1.16 | 6.17 ± 1.39 | 6.03 ± 0.58 | 0.656 | 4.8–5.9 |
| Serum creatinine (mg/dL), mean ± SD | 0.77 ± 0.18 | 0.75 ± 0.18 | 0.80 ± 0.18 | 0.366 | 0.7–1.2 |
| Parameter | Entire Cohort (N = 129, 100%) | UT Group (N = 88, 68.22%) | BT Group (N = 41, 31.78%) | p-Value | Normal Range |
|---|---|---|---|---|---|
| Baseline ACTH (pg/mL), median (Q1, Q3) | 11.78 (7.89, 15.87) | 12.23 (7.78, 16.6) | 10.81 (8.57,15.32) | 0.532 | 3–66 |
| Morning plasma (baseline) cortisol (µg/dL), median (Q1, Q3) | 12.97 (9.70, 14.87) | 13.9 (11.16, 15.00) | 10.10 (8.88, 12.95) | 0.050 | 6.2–19.4 |
| Second-day plasma cortisol after 1 mg DST (µg/dL), median (Q1, Q3) | 1.33 (0.96, 2.21) | 1.27 (1.01, 1.95) | 1.52 (0.92, 2.78) | 0.357 | <1.8 |
| MACS, N (%) | 33 (25.58) | 18 (25.45) | 15 (36.59) | 0.051 | |
| Largest tumor diameter (cm), mean ± SD | 2.34 ± 0.94 | 2.26 ± 0.97 | 2.51 ± 0.87 | 0.175 |
| Parameter | Entire Cohort (N = 129, 100%) | UT Group (N = 88, 68.22%) | BT Group (N = 41, 31.78%) | p-Value | Normal Range |
|---|---|---|---|---|---|
| Total serum calcium (mg/dL), mean ± SD | 9.55 ± 0.47 | 9.6 ± 0.50 | 9.47 ± 0.40 | 0.236 | 8.4–10.2 |
| Serum ionized calcium (mg/dL), mean ± SD | 4.12 ± 0.27 | 4.11 ± 0.30 | 4.14 ± 0.21 | 0.664 | 3.9–4.9 |
| Serum phosphorus (mg/dL), mean ± SD | 3.70 ± 0.54 | 3.69 ± 0.55 | 3.73 ± 0.54 | 0.738 | 2.5–4.5 |
| Serum magnesium (mg/dL), mean ± SD | 1.95 ± 0.22 | 1.94 ± 0.23 | 1.96 ± 0.18 | 0.678 | 1.6–2.6 |
| 25-hydroxyvitamin D (ng/mL), mean ± SD | 23.76 ± 11.08 | 22.6 ± 10.71 | 26.05 ± 11.66 | 0.207 | 30–100 |
| PTH (pg/mL), mean ± SD | 45.17 ± 16.14 | 43.6 ± 16.29 | 48.06 ± 15.84 | 0.324 | 15–65 |
| Osteocalcin (ng/mL), mean ± SD | 22.98 ± 9.04 | 23.05 ± 11.25 | 24.76 ± 13.53 | 0.601 | 14–46 |
| Alkaline phosphatase (U/L), mean ± SD | 78.92 ± 28.14 | 79.41 ± 27.95 | 78.43 ± 36.47 | 0.893 | 35–129 |
| P1NP (ng/mL), mean ± SD | 56.41 ± 21.19 | 56.12 ± 27.03 | 53.41 ± 14.74 | 0.670 | 20.25–76.31 |
| CrossLaps (ng/mL), mean ± SD | 0.46 ± 0.21 | 0.47 ± 0.24 | 0.50 ± 0.28 | 0.596 | 0.33–0.782 |
| Parameter | Entire Cohort (N = 129, 100%) | UT Group (N = 88, 68.22%) | BT Group (N = 41, 31.78%) | p-Value | Normal Range |
|---|---|---|---|---|---|
| Osteoporosis, N (%) | 21 (23.33) | 13 (21.31) | 8 (27.59) | 0.511 | |
| Osteopenia, N (%) | 40 (44.44) | 31 (50.82) | 9 (31.03) | 0.078 | |
| Normal DXA, N (%) | 29 (32.22) | 17 (27.88) | 12 (41.38) | 0.200 | |
| Prevalent fragility fractures, N (%) | 5 (3.88) | 3 (3.41) | 2 (4.88) | 0.717 | |
| Lumbar BMD (g/sqcm), mean ± SD | 1.069 ± 0.16 | 1.047 ± 0.15 | 1.090 ± 0.18 | 0.317 | |
| Lumbar T-score (SD), mean ± SD | −1.08 ± 1.42 | −1.20 ± 1.36 | −0.82 ± 1.53 | 0.251 | >−1 |
| Lumbar Z-score (SD), mean ± SD | −0.15 ± 0.80 | −0.13 ± 0.78 | −0.21 ± 0.89 | 0.097 | |
| Femoral neck BMD (g/sqcm), mean ± SD | 0.865 ± 0.14 | 0.857 ± 0.13 | 0.890 ± 0.17 | 0.421 | |
| Femoral neck T-score (SD), mean ± SD | −1.07 ± 0.98 | −1.14 ± 0.87 | −0.88 ± 1.25 | 0.373 | >−1 |
| Femoral neck Z-score (SD), mean ± SD | 0.24 ± 1.02 | 0.20 ± 1.03 | 0.33 ± 1.04 | 0.710 | |
| Total hip BMD (g/sqcm), mean ± SD | 0.946 ± 0.16 | 0.947 ± 0.14 | 0.945 ± 0.20 | 0.974 | |
| Total hip T-score (SD), mean ± SD | −0.62 ± 1.2 | −0.57 ± 1.21 | −0.7 ± 1.21 | 0.670 | >−1 |
| Total hip Z-score (SD), mean ± SD | 0.24 ± 1.02 | 0.2 ± 1.03 | 0.33 ± 1.04 | 0.623 | |
| MOF without femoral neck BMD (%), median (Q1, Q3) | 5.10 (3.25, 7.25) | 4.50 (3.20, 6.67) | 5.20 (3.60, 7.55) | 0.344 | |
| HF without femoral neck BMD (%), median (Q1, Q3) | 0.90 (0.40, 1.67) | 0.90 (0.40, 1.70) | 1.10 (0.45, 1.70) | 0.951 | |
| MOF with femoral neck BMD (%), median (Q1, Q3) | 4.70 (3.52, 7.62) | 4.80 (3.50, 7.85) | 4.30 (3.60, 5.87) | 0.606 | |
| HF with femoral neck BMD (%), median (Q1, Q3) | 0.70 (0.30, 1.47) | 0.85 (0.30, 1.85) | 0.60 (0.10, 1.05) | 0.176 | |
| MOF adjusted for lumbar BMD (%), median (Q1, Q3) | 2.90 (2.17, 3.97) | 3.05 (2.22, 4.12) | 2.35 (2.07, 3.85) | 0.381 | |
| HF adjusted for lumbar BMD (%), median (Q1, Q3) | 0.40 (0.20, 1.02) | 0.45 (0.20, 1.07) | 0.37 (0.10, 0.85) | 0.416 |
| Age Group (years) | UT Group (N = 88, 68.22%)) | BT Group (N = 41, 31.78%) | p-Value |
|---|---|---|---|
| 45–49 | 4 (4.55) | 2 (4.88) | 0.969 |
| 50–54 | 9 (10.23) | 3 (7.32) | |
| 55–59 | 17 (19.32) | 10 (24.39) | |
| 60–64 | 24 (27.27) | 10 (24.39) | |
| 65–69 | 19 (21.59) | 11 (26.83) | |
| 70–74 | 6 (6.82) | 2 (4.88) | |
| 70–79 | 9 (10.23) | 3 (7.32) |
| MACS (N = 33) | Non-MACS (N = 96) | |||||
|---|---|---|---|---|---|---|
| Parameter | UT Group (N = 18, 54.55%) | BT Group (N = 15, 45.45%) | p-Value | UT Group (N = 70, 72.92%) | BT Group (N = 26, 27.08%) | p-Value |
| Age (years), mean ± SD | 61.17 ± 9.11 | 61.73 ± 4.46 | 0.818 | 63.11 ± 7.56 | 61.65 ± 9.56 | 0.437 |
| Years since menopause, mean ± SD | 12.90 ± 9.56 | 12.38 ± 4.77 | 0.882 | 13.79 ± 8.31 | 14.79 ± 8.24 | 0.698 |
| Type 2 diabetes mellitus, N (%) | 7 (38.89) | 7 (46.67) | 0.653 | 24 (34.29) | 8 (30.77) | 0.745 |
| Arterial hypertension, N (%) | 13 (72.2) | 12 (80) | 0.604 | 51 (72.9) | 19 (73.1) | 0.983 |
| Dyslipidemia, N (%) | 13 (86.7) | 10 (83.3) | 0.809 | 36 (76.6) | 12 (66.7) | 0.415 |
| BMI (kg/sqm), mean ± SD | 29.70 ± 3.93 | 31.80 ± 6.18 | 0.319 | 29.82 ± 5.21 | 29.40 ± 7.48 | 0.773 |
| Fasting glycaemia (mg/dL), mean ± SD | 120 ± 39.98 | 105.11 ± 18.22 | 0.375 | 103.30 ± 27.83 | 105.15 ± 21.72 | 0.820 |
| Glycated hemoglobin A1c (%), mean ± SD | 6.28 ± 1.66 | 6.34 ± 0.33 | 0.931 | 6.10 ± 1.23 | 5.84 ± 0.63 | 0.482 |
| Serum creatinine (mg/dL), mean ± SD | 0.86 ± 0.24 | 0.78 ± 0.18 | 0.418 | 0.72 ± 0.14 | 0.81 ± 0.18 | 0.067 |
| MACS (N = 33) | Non-MACS (N = 96) | |||||
|---|---|---|---|---|---|---|
| Parameter | UT Group (N = 18, 54.55%) | BT Group (N = 15, 45.45%) | p-Value | UT Group (N = 70, 72.92%) | BT Group (N = 26, 27.08%) | p-Value |
| Baseline ACTH (pg/mL), median (Q1, Q3) | 10.47 (7.23, 16.28) | 9.46 (7.56, 11.88) | 0.643 | 12.30 (7.86, 17.48) | 11.27 (8.67, 15.97) | 0.937 |
| Morning plasma (baseline) cortisol (μg/dL), median (Q1, Q3) | 12.75 (10.96, 14, 49) | 10.54 (7.98, 12.73) | 0.057 | 13.03 (9.54, 14.48) | 10.00 (8.50, 11.96 | 0.214 |
| Second-day plasma cortisol after 1 mg DST (μg/dL), median (Q1, Q3) | 2.37 (1.92, 3.75) | 2.79 (2.30, 4.58) | 0.395 | 1.05 (0.76, 1.22) | 0.96 (0.88, 1.34 | 0.431 |
| Largest tumor diameter (cm), mean ± SD | 2.78 ± 0.94 | 3.10 ± 0.66 | 0.286 | 2.13 ± 0.94 | 2.14 ± 0.78 | 0.957 |
| MACS (N = 33) | Non-MACS (N = 96) | |||||
|---|---|---|---|---|---|---|
| Parameter | UT Group (N = 18, 54.55%) | BT Group (N = 15, 45.45%) | p-Value | UT Group (N = 70, 72.92%) | BT Group (N = 26, 27.08%) | p-Value |
| Total serum calcium (mg/dL), mean ± SD | 9.60 ± 0.44 | 9.43 ± 0.35 | 0.293 | 9.59 ± 0.53 | 9.49 ± 0.43 | 0.479 |
| Serum ionized calcium (mg/dL), mean ± SD | 4.10 ± 0.23 | 4.18 ± 0.20 | 0.391 | 4.11 ± 0.32 | 4.10 ± 0.22 | 0.913 |
| Serum phosphorus (mg/dL), mean ± SD | 3.63 ± 0.39 | 3.84 ± 0.67 | 0.331 | 3.71 ± 0.60 | 3.66 ± 0.46 | 0.789 |
| Serum magnesium (mg/dL), mean ± SD | 1.88 ± 0.29 | 1.91 ± 0.21 | 0.794 | 1.96 ± 0.21 | 2.00 ± 0.15 | 0.548 |
| 25-hydroxyvitamin D (ng/mL), mean ± SD | 24.21 ± 12.73 | 26.16 ± 9.89 | 0.694 | 22.01 ± 10.01 | 25.97 ± 13.05 | 0.246 |
| PTH (pg/mL), mean ± SD | 36.32 ± 9.21 | 51.65 ± 9.58 | 0.010 | 46.30 ± 17.61 | 46.86 ± 17.55 | 0.921 |
| Osteocalcin (ng/mL), mean ± SD | 22.67 ± 12.60 | 24.83 ± 11.57 | 0.719 | 23.18 ± 10.96 | 24.71 ± 14.94 | 0.704 |
| Alkaline phosphatase (U/L), mean ± SD | 71.29 ± 25.11 | 83.73 ± 23.57 | 0.219 | 82.25 ± 28.63 ± | 75.01 ± 43.20 | 0.459 |
| P1NP (ng/mL), mean ± SD | 47.61 ± 28.08 | 61.06 ± 22.37 | 0.379 | 60.37 ± 26.16 | 49.16 ± 6.80 | 0.087 |
| CrossLaps (ng/mL), mean ± SD | 0.46 ± 0.25 | 0.53 ± 0.32 | 0.638 | 0.47 ± 0.23 | 0.49 ± 0.27 | 0.784 |
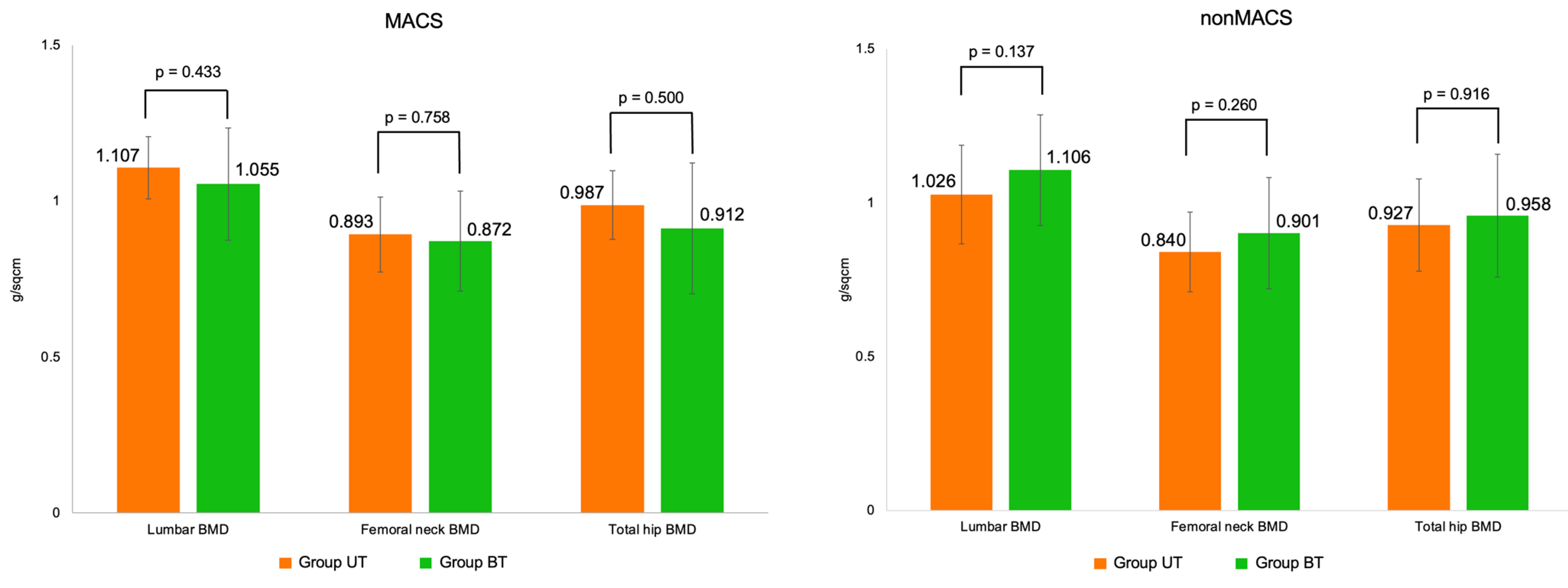
| Lumbar BMD (g/sqcm), mean ± SD | 1.107 ± 0.10 | 1.055 ± 0.18 | 0.433 | 1.026 ± 0.16 | 1.106 ± 0.18 | 0.137 |
| Lumbar T-score (SD), mean ± SD | −0.86 ± 1.31 | −0.86 ± 1.59 | 0.991 | −1.32 ± 1.36 | −0.80 ± 1.55 | 0.211 |
| Lumbar Z-score (SD), mean ± SD | −0.21 ± 1.04 | −0.02 ± 1.07 | 0.667 | −0.34 ± 1.26 | 0.30 ± 1.49 | 0.100 |
| Femoral neck BMD (g/sqcm), mean ± SD | 0.893 ± 0.12 | 0.872 ± 0.16 | 0.758 | 0.840 ± 0.13 | 0.901 ± 0.18 | 0.260 |
| Femoral neck T-score (SD), mean ± SD | −0.92 ± 0.84 | −0.76 ± 1.43 | 0.754 | −1.24 ± 0.88 | −0.96 ± 1.21 | 0.433 |
| Femoral neck Z-score (SD), mean ± SD | 0.00 ± 0.76 | −0.21 ± 0.80 | 0.574 | −0.18 ± 0.80 | −0.22 ± 0.97 | 0.916 |
| Total hip BMD (g/sqcm), mean ± SD | 0.987 ± 0.11 | 0.912 ± 0.21 | 0.500 | 0.927 ± 0.15 | 0.958 ± 0.20 | 0.604 |
| Total hip T-score (SD), mean ± SD | −0.15 ± 0.85 | 0.82 ± 1.25 | 0.165 | −0.75 ± 1.31 | −0.63 ± 1.22 | 0.787 |
| Total hip Z-score (SD), mean ± SD | 0.53 ± 0.63 | 0.26 ± 1.11 | 0.547 | 0.05 ± 1.14 | 0.37 ± 1.04 | 0.378 |
| Osteoporosis, N (%) | 2 (13.33) | 4 (33.33) | 0.357 | 11 (23.91) | 4 (23.53) | 0.975 |
| Osteopenia, N (%) | 7 (46.67) | 4 (33.33) | 0.484 | 24 (52.17) | 5 (29.41) | 0.108 |
| Normal DXA, N (%) | 6 (40.00) | 4 (33.33) | 0.722 | 11 (23.91) | 8 (47.06) | 0.076 |
| MOF without femoral neck BMD (%), median (Q1, Q3) | 3.6 (3.2, 4.5) | 3.30 (2.95, 4.62) | 0.496 | 4.60 (3.15, 7.77) | 5.30 (3.50, 7.75) | 0.289 |
| HF without femoral neck BMD (%), median (Q1, Q3) | 0.60 (0.30, 0.90) | 0.40 (0.22,0.50) | 0.970 | 1.10 (0.40, 2.00) | 1.35 (0.37, 1.35) | 0.523 |
| MOF with femoral neck BMD (%), median (Q1, Q3) | 4.10 (3.10, 4.80) | 4.30 (3.85, 4.67) | 0.758 | 5.05 (3.57, 8.62) | 4.50 (3.22, 8.55) | 0.723 |
| HF with femoral neck BMD (%), median (Q1, Q3) | 0.50 (0.20, 0.80) | 0.40 (0.12, 0.90) | 0.439 | 1.05 (0.45, 2.07) | 0.65 (0.10, 1.35) | 0.303 |
| MOF adjusted for lumbar BMD (%), median (Q1, Q3) | 2.40 (2.10, 3.10) | 2.40 (2.12, 3.27) | 0.642 | 3.45 (2.80, 4.42) | 2.35 (1.92, 5.02) | 0.338 |
| HF adjusted for lumbar BMD (%), median (Q1, Q3) | 0.35 (0.20, 0.80) | 0.40 (0.10, 0.70) | 0.876 | 0.60 (0.27, 1.45) | 0.37 (0.10, 1.32) | 0.346 |
| Parameter | Baseline ACTH (pg/mL) | Morning Plasma (Baseline) Cortisol (μg/dL) | Second-Day Plasma Cortisol After 1 mg DST (μg/dL) | Largest Tumor Diameter (cm) | Lumbar BMD (g/sqcm) | Femoral Neck BMD (g/sqcm) | Total Hip BMD (g/sqcm) | MOF Without Femoral Neck BMD | MOF with Femoral Neck BMD | MOF Adjusted for Lumbar BMD | HF Without Femoral Neck BMD | HF with Femoral Neck BMD | HF Adjusted for Lumbar BMD |
|---|---|---|---|---|---|---|---|---|---|---|---|---|---|
| UT Group | |||||||||||||
| Baseline ACTH (pg/mL) | p = 0.237 r = 0.118 | p = 0.089 r = −0.215 | p < 0.001 r = −0.391 | p = 0.925 r = 0.010 | p = 0.407 r = −0.094 | p = 0.154 r = −0.187 | p = 0.406 r = −0.094 | p = 0.605 r = 0.067 | p = 0.807 r = 0.032 | p = 0.535 r = −0.072 | p = 0.707 r = 0.049 | p = 0.749 r = 0.043 | |
| Morning plasma (baseline) cortisol (μg/dL) | p = 0.237 r = 0.118 | p = 0.973 r = −0.004 | p = 0.854 r = −0.019 | p = 0.318 r = 0.103 | p = 0.435 r = −0.086 | p = 0.072 r = −0.232 | p = 0.106 r = 0.177 | p = 0.172 r = 0.168 | p = 0.158 r = 0.177 | p = 0.106 r = 0.181 | p = 0.889 r = 0.017 | p = 0.504 r = 0.085 | |
| Second-day plasma cortisol after 1 mg DST (μg/dL) | p = 0.089 r = −0.215 | p = 0.973 r = −0.004 | p < 0.001 r = 0.306 | p = 0.320 r = 0.131 | p = 0.655 r = 0.065 | p = 0.309 r = 0.149 | p = 0.591 r = −0.077 | p = 0.224 r = −0.213 | p = 0.107 r = −0.290 | p = 0.690 r = −0.058 | p = 0.401 r = 0.148 | p = 0.455 r = −0.136 | |
| Largest tumor diameter (cm) | p < 0.001 r = −0.391 | p = 0.854 r = −0.019 | p < 0.001 r = 0.306 | p = 0.908 r = 0.012 | p = 0.844 r = 0.016 | p = 0.358 r = 0.117 | p = 0.341 r = 0.101 | p = 0.474 r = 0.090 | p = 0.354 r = 0.117 | p = 0.427 r = 0.086 | p = 0.504 r = 0.085 | p = 0.535 r = 0.079 | |
| BT Group | |||||||||||||
| Baseline ACTH (pg/mL) | p = 0.580 r = 0.074 | p = 0.428 r = −0.119 | p = 0.392 r = −0.117 | p = 0.904 r = 0.019 | p = 0.520 r = 0.124 | p = 0.161 r = 0.250 | p = 0.786 r = −0.043 | p = 0.412 r = −0.165 | p = 0.427 r = − 0.168 | p = 0.734 r = −0.053 | p = 0.620 r = −0.101 | p = 0.756 r = −0.067 | |
| Morning plasma (baseline) cortisol (μg/dL) | p = 0.580 r = 0.074 | p = 0.597 r = 0.079 | p = 0.573 r = 0.077 | p = 0.334 r = 0.152 | p = 0.347 r = 0.181 | p = 0.365 r = −0.162 | p = 0.417 r = −0.129 | p = 0.352 r = −0.187 | p = 0.199 r = − 0.271 | p = 0.610 r = −0.079 | p = 0.783 r = 0.056 | p = 0.494 r = −0.148 | |
| Second-day plasma cortisol after 1 mg DST (μg/dL) | p = 0.428 r = −0.119 | p = 0.597 r = 0.079 | p = 0.012 r = 0.309 | p > 0.999 r = 0.000 | p = 0.714 r = −0.077 | p = 0.418 r = −0.150 | p > 0.999 r = 0.000 | p = 0.583 r = 0.121 | p > 0.999 r = 0.000 | p = 0.819 r = −0.040 | p = 0.679 r = 0.092 | p = 0.937 r = 0.019 | |
| Largest tumor diameter (cm) | p = 0.392 r = −0.117 | p = 0.573 r = 0.077 | p = 0.012 r = 0.309 | p = 0.432 r = −0.124 | p = 0.692 r = −0.077 | p = 0.680 r = 0.174 | p = 0.904 r = 0.019 | p = 0.742 r = 0.066 | p = 0.760 r = −0.065 | p = 0.820 r = 0.036 | p = 0.912 r = 0.023 | p = 0.803 r = −0.054 | |
| Parameter | MOF Without Femoral Neck BMD | MOF with Femoral Neck BMD | MOF Adjusted for Lumbar BMD | HF Without Femoral Neck BMD | HF with Femoral Neck BMD | HF Adjusted for Lumbar BMD |
|---|---|---|---|---|---|---|
| UT Group | ||||||
| Lumbar BMD (g/sqcm) | p = 0.004 r = −0.302 | p < 0.001 r = −0.419 | p < 0.001 r = −0.406 | p = 0.004 r = −0.309 | p < 0.001 r = −0.418 | p < 0.001 r = −0.419 |
| Femoral neck BMD (g/sqcm) | p < 0.001 r = −0.388 | p < 0.001 r = −0.672 | p < 0.001 r = −0.602 | p < 0.001 r = −0.379 | p < 0.001 r = −0.783 | p < 0.001 r = −0.786 |
| Total hip BMD (g/sqcm) | p = 0.002 r = −0.405 | p < 0.001 r = −0.754 | p < 0.001 r = −0.726 | p < 0.001 r = −0.432 | p < 0.001 r = −0.775 | p < 0.001 r = −0.823 |
| BT Group | ||||||
| Lumbar BMD (g/sqcm) | p = 0.417 r = −0.151 | p = 0.112 r = −0.319 | p = 0.100 r = −0.331 | p = 0.066 r = −0.336 | p = 0.069 r = −0.371 | p = 0.096 r = −0.343 |
| Femoral neck BMD (g/sqcm) | p = 0.013 r = −0.500 | p < 0.001 r = −0.905 | p < 0.001 r = −0.862 | p = 0.016 r = −0.473 | p < 0.001 r = −0.845 | p < 0.001 r = −0.869 |
| Total hip BMD (g/sqcm) | p = 0.299 r = −0.219 | p = 0.009 r = −0.576 | p = 0.029 r = −0.514 | p = 0.226 r = −0.246 | p = 0.006 r = −0.606 | p = 0.019 r = −0.550 |
Disclaimer/Publisher’s Note: The statements, opinions and data contained in all publications are solely those of the individual author(s) and contributor(s) and not of MDPI and/or the editor(s). MDPI and/or the editor(s) disclaim responsibility for any injury to people or property resulting from any ideas, methods, instructions or products referred to in the content. |
© 2025 by the authors. Licensee MDPI, Basel, Switzerland. This article is an open access article distributed under the terms and conditions of the Creative Commons Attribution (CC BY) license (https://creativecommons.org/licenses/by/4.0/).
Share and Cite
Trandafir, A.-I.; Carsote, M.; Costachescu, M.; Sima, O.-C.; Florescu, A.-F. Mineral Metabolism Assays, Central DXA, and Fracture Risk Probabilities in Menopausal Patients with Non-Functional Adrenal Tumors with/Without Mild Autonomous Cortisol Secretion: Does the Presence of Unilateral Versus Bilateral Tumors Matter? Life 2025, 15, 1639. https://doi.org/10.3390/life15101639
Trandafir A-I, Carsote M, Costachescu M, Sima O-C, Florescu A-F. Mineral Metabolism Assays, Central DXA, and Fracture Risk Probabilities in Menopausal Patients with Non-Functional Adrenal Tumors with/Without Mild Autonomous Cortisol Secretion: Does the Presence of Unilateral Versus Bilateral Tumors Matter? Life. 2025; 15(10):1639. https://doi.org/10.3390/life15101639
Chicago/Turabian StyleTrandafir, Alexandra-Ioana, Mara Carsote, Mihai Costachescu, Oana-Claudia Sima, and Alexandru-Florin Florescu. 2025. "Mineral Metabolism Assays, Central DXA, and Fracture Risk Probabilities in Menopausal Patients with Non-Functional Adrenal Tumors with/Without Mild Autonomous Cortisol Secretion: Does the Presence of Unilateral Versus Bilateral Tumors Matter?" Life 15, no. 10: 1639. https://doi.org/10.3390/life15101639
APA StyleTrandafir, A.-I., Carsote, M., Costachescu, M., Sima, O.-C., & Florescu, A.-F. (2025). Mineral Metabolism Assays, Central DXA, and Fracture Risk Probabilities in Menopausal Patients with Non-Functional Adrenal Tumors with/Without Mild Autonomous Cortisol Secretion: Does the Presence of Unilateral Versus Bilateral Tumors Matter? Life, 15(10), 1639. https://doi.org/10.3390/life15101639

