Survival Outcomes in Hepatocellular Carcinoma: Experience from a Multidisciplinary Committee in Ecuador
Abstract
1. Introduction
2. Methods
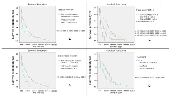
3. Results
4. Discussion
5. Conclusions
Supplementary Materials
Author Contributions
Funding
Conflicts of Interest
References
- World Health Organization. Guidelines for the Prevention, Diagnosis, Care and Treatment for People with Chronic Hepatitis B Infection; World Health Organization: Geneva, Switzerland, 2024; Available online: https://iris.who.int/bitstream/handle/10665/376353/9789240090903-eng.pdf?sequence=1 (accessed on 15 March 2025).
- Grupo Editorial Gráficas Amaranta. Sociedad de Lucha contra el Cáncer/Registro Nacional de Tumores. In Epidemiología del Cáncer en Quito 2015–2019, 17th ed.; Grupo Editorial Gráficas Amaranta: Quito, Ecuador, 2024; p. 152. [Google Scholar]
- Forner, A.; Reig, M.; Bruix, J. Hepatocellular carcinoma. Lancet 2018, 112, 1301–1314. [Google Scholar] [CrossRef]
- Farah, M.; Díaz-Ferrer, J.; Liza-Baca, E.; Mattos, Z.A.; Carrera, E. Changing epidemiology of hepatocellular carcinoma in South America: A report from the South American liver research network. Ann. Hepatol. 2022, 28, 100876. [Google Scholar] [CrossRef]
- Reig, M.; Forner, A.; Rimola, J.; Ferrer-Fábrega, J. BCLC strategy for prognosis prediction and treatment recommendation: The 2022 update. J. Hepatol. 2021, 76, 681–693. [Google Scholar] [CrossRef]
- Singal, A.G.; Llovet, J.M.; Yarchoan, M.; Mehta, N.; Heimbach, J.K.; Dawson, L.A.; Jou, J.H.; Kulik, L.M.; Agopian, V.G.; Marrero, J.A.; et al. AASLD Practice Guidance on prevention, diagnosis, and treatment of hepatocellular carcinoma. Hepatology 2023, 78, 1922–1965. [Google Scholar] [CrossRef]
- Galle, P.R.; Forner, A.; Llovet, J.M.; Mazzaferro, V.; Piscaglia, F.; Raoul, J.-L.; Schirmacher, P.; Vilgrain, V. EASL Clinical Practice Guidelines: Management of hepatocellular carcinoma. J. Hepatol. 2018, 69, 182–236. [Google Scholar] [CrossRef]
- El-Serag, H.B. Hepatocellular carcinoma. N. Engl. J. Med. 2011, 365, 1118–1127. [Google Scholar] [CrossRef]
- Grandhi, M.S.; Kim, A.K.; Ronnekleiv-Kelly, S.M.; Ghasebeh, M.A.; Pawlik, T.M. Hepatocellular carcinoma: From diagnosis to treatment. Surg. Oncol. 2016, 25, 74–85. [Google Scholar] [CrossRef]
- Dong, Y.; Wang, W.-P.; Lee, W.J.; Meloni, M.F.; Clevert, D.-A.; Chammas, M.C.; Tannapfel, A.; Forgione, A.; Piscaglia, F.; Dietrich, C.F. Hepatocellular carcinoma in the non-cirrhotic liver. Clin. Hemorheol. Microcirc. 2022, 80, 423–436. [Google Scholar] [CrossRef]
- Altshuler, E.; Richhart, R.; Aryan, M.; King, W.; Pan, K.; Mathavan, A.; Mathavan, A.; Rodriguez, D.; Paudel, B.; Northern, N.; et al. Advanced Hepatocellular Carcinoma in Adults Without Cirrhosis: A Single-Institution Retrospective Review. J. Hepatocell. Carcinoma 2022, 9, 1299–1307. [Google Scholar] [CrossRef]
- Lee, D.H.; Lee, J.M. Primary malignant tumours in the non-cirrhotic liver. Eur. J. Radiol. 2017, 95, 349–361. [Google Scholar] [CrossRef]
- Villanueva, A. Hepatocellular Carcinoma. N. Engl. J. Med. 2019, 380, 1450–1462. [Google Scholar] [CrossRef]
- Zhang, X.; Thrift, A.P.; El-Serag, H.B. Predictors of five-year survival among patients with hepatocellular carcinoma in the United States: An analysis of SEER-Medicare. Cancer Causes Control 2021, 32, 317–325. [Google Scholar] [CrossRef]
- Beecroft, S.; O’Connell, M.; Nassar, A.; Noon, K.; Pollock, K.G. Major variation in hepatocellular carcinoma treatment and outcomes in England: A retrospective cohort study. Front. Gastroenterol. 2022, 14, 19–24. [Google Scholar] [CrossRef]
- Fu, X.; Yang, Y.; Zhang, D. Molecular mechanism of albumin in suppressing invasion and metastasis of hepatocellular carcinoma. Liver Int. 2022, 42, 696–709. [Google Scholar] [CrossRef]
- Carr, B.I.; Guerra, V. Serum albumin levels in relation to tumor parameters in hepatocellular carcinoma patients. Int. J. Biol. Markers 2017, 32, e391–e396. [Google Scholar] [CrossRef]
- Piñero, F.; Dirchwolf, M.; Pessôa, M.G. Biomarkers in Hepatocellular Carcinoma: Diagnosis, Prognosis and Treatment Response Assessment. Cells 2020, 9, 1370. [Google Scholar] [CrossRef]
- Guo, A.; Pomenti, S.; Wattacheril, J. Health Disparities in Screening, Diagnosis, and Treatment of Hepatocellular Carcinoma. Clin. Liver Dis. 2021, 17, 353–358. [Google Scholar] [CrossRef]
- Pages, J.; Mendizabal, M.; Castro-Narro, G.; Menéndez, J.M.; Beltran, O.; Da Fonseca, L.G.; Teller, J.P.; Girala, M.; Cano, D.F.A.; Piñero, F. Hepatocellular carcinoma surveillance: Current challenges in Latin America. Ann. Hepatol. 2025, 30, 101935. [Google Scholar] [CrossRef]
- Parikh, N.D.; Tayob, N.; Al-Jarrah, T.; Kramer, J.; Melcher, J.; Smith, D.; Marquardt, P.; Liu, P.-H.; Tang, R.; Kanwal, F.; et al. Barriers to Surveillance for Hepatocellular Carcinoma in a Multicenter Cohort. JAMA Netw. Open 2022, 5, e2223504. [Google Scholar] [CrossRef]
- Kronenfeld, J.P.; Goel, N. An Analysis of Individual and Contextual-Level Disparities in Screening, Treatment, and Outcomes for Hepatocellular Carcinoma. J. Hepatocell. Carcinoma 2021, 8, 1209–1219. [Google Scholar] [CrossRef]
- Debes, J.D.; Chan, A.J.; Balderramo, D.; Kikuchi, L.; Gonzalez Ballerga, E.; Prieto, J.E.; Tapias, M.; Idrovo, V.; Davalos, M.B.; Cairo, F.; et al. Hepatocellular carcinoma in South America: Evaluation of risk factors, demographics and therapy. Liver Int. 2018, 38, 136–143. [Google Scholar] [CrossRef]
- Rognoni, C.; Ciani, O.; Sommariva, S.; Facciorusso, A.; Tarricone, R.; Bhoori, S.; Mazzaferro, V. Trans-arterial radioembolization in intermediate-advanced hepatocellular carcinoma: Systematic review and meta-analyses. Oncotarget 2016, 7, 72343–72355. [Google Scholar] [CrossRef]
- Tomonari, T.; Tani, J.; Sato, Y.; Tanaka, H.; Tanaka, T.; Taniguchi, T.; Kawano, Y.; Morishita, A.; Okamoto, K.; Sogabe, M.; et al. Clinical Features and Outcomes of Conversion Therapy in Patients with Unresectable Hepatocellular Carcinoma. Cancers 2023, 15, 5221. [Google Scholar] [CrossRef]
- Singal, A.G.; Pillai, A.; Tiro, J. Early Detection, Curative Treatment, and Survival Rates for Hepatocellular Carcinoma Surveillance in Patients with Cirrhosis: A Meta-analysis. PLoS Med. 2014, 11, e1001624. [Google Scholar] [CrossRef]
- Yopp, A.C.; Mansour, J.C.; Beg, M.S.; Arenas, J.; Trimmer, C.; Reddick, M.; Pedrosa, I.; Khatri, G.; Yakoo, T.; Meyer, J.J.; et al. Establishment of a Multidisciplinary Hepatocellular Carcinoma Clinic is Associated with Improved Clinical Outcome. Ann. Surg. Oncol. 2014, 21, 1287–1295. [Google Scholar] [CrossRef]
- Sinn, D.H.; Choi, G.-S.; Park, H.C.; Kim, J.M.; Kim, H.; Song, K.D.; Kang, T.W.; Lee, M.W.; Rhim, H.; Hyun, D.; et al. Multidisciplinary approach is associated with improved survival of hepatocellular carcinoma patients. PLoS ONE 2019, 14, e0210730. [Google Scholar] [CrossRef]
- Mangone, L.; Zizzo, M.; Nardecchia, M.; Marinelli, F.; Bisceglia, I.; Braghiroli, M.B.; Banzi, M.C.; Damato, A.; Cerullo, L.; Pellegri, C.; et al. Impact of Multidisciplinary Team Management on Survival and Recurrence in Stage I–III Colorectal Cancer: A Population-Based Study in Northern Italy. Biology 2024, 13, 928. [Google Scholar] [CrossRef]
- Morris, E.; Haward, R.A.; Gilthorpe, M.S.; Craigs, C.; Forman, D. The impact of the Calman-Hine report on the processes and outcomes of care for Yorkshire’s breast cancer patients. Ann. Oncol. 2008, 19, 284–291. [Google Scholar] [CrossRef]

| Male | Female | |
|---|---|---|
| Sex | n = 38, 53.3% | n = 33, 46.5% |
| Age in years (median minimum/maximum) | 68.13 (44, 89) | 67.52 (21, 63) |
| Education Level | ||
| Analphabet | n = 1, 2.63% | n = 3, 7.89% |
| Elementary | n = 25, 65.79% | n = 23, 60.53% |
| Secondary | n = 10, 26.32% | n = 4, 10.53% |
| University | n = 2, 5.26% | n = 3, 7.89% |
| Comorbidities | ||
| Diabetes | n = 10, 26.32% | n = 10, 26.32% |
| Hypertension | n = 14, 36.84% | n = 12, 31.58% |
| Renal disease | n = 3, 7.89% | n = 1, 2.63% |
| Habits | ||
| Alcohol | n = 6, 15.79% | n = 0 |
| Tobacco | n = 3, 7.89% | n = 0 |
| Body Mass Index (median minimum/maximum) | n = 34 (27.13, 20–38) | n = 26 (29, 20–43) |
| Ethnic group | ||
| Mestizo | n = 70, 98.6% | |
| Indigenous | n = 1, 1.4% |
| Child–Pugh | A | n = 21, 29.6% |
| B | n = 27, 38% | |
| C | n = 8, 11.3% | |
| no cirrhosis | n = 15, 21.21% | |
| BCLC | A | n = 18, 25.4% |
| B | n = 27, 38% | |
| C | n = 17, 23.9% | |
| D | n = 8, 11.3% |
| Laboratory Tests | No Cirrhosis (Median Minimum/Maximum) | Cirrhosis (Median Minimum/Maximum) | Statistical Test |
|---|---|---|---|
| AST (U/L) | 78.4 (29–172) | 115.04 (28–909) | p = 0.453 |
| ALT (U/L) | 43.27 (13–109) | 69.69 (12–396) | p = 0.134 |
| Total Bilirubin (mg/dL) | 1.83 (0.42–7.25) | 2.82 (0.57–13.9) | p = 0.06 |
| INR | 1.1 (1.02–1.2) | 1.27 (1–1.86) | p < 0.001 * |
| ALP (U/L) | 318.67 (99–1370) | 287.75 (106–943) | p = 0.563 |
| Hemoglobin (g/dL) | 13.8 (7–18.8) | 16.35 (6.2–168) | p = 0.582 |
| Platelets (×103/μL) | 324.8 (118–710) | 148 (47–688) | p < 0.001 * |
| Leucocytes (×103/μL) | 8.6 (4.9–15.18) | 7.6 (1.7–55.06) | p = 0.620 |
| % Neutrophils | 65.85 (42.7–85) | 60.17 (2.24–81.4) | p = 0.234 |
| % Lymphocytes | 20.67 (5.7–45.4) | 23.88 (9–44) | p = 0.256 |
| Creatinine (mg/dL) | 1.34 (0.5–9) | 1.42 (0.37–27) | p = 0.751 |
| NA (mEq/L) | 135.47 (122–147) | 135.33 (128–144) | p = 0.749 |
| AFP | 5624.86 (2.06–50,000) | 7398 (1.3–50,000) | p = 0.260 |
| Albumin (g/dL) | 3.6 (2–5) | 3.24 (0–5) | p = 0.68 |
| Number/Percentage | |
|---|---|
| No treatment | n = 9, 12.7% |
| TX | n = 2, 2.8% |
| Resection | n = 3, 4.2% |
| TACE | n = 17, 23.9% |
| RFA | n = 1, 1.4% |
| Sorafenib | n = 15, 21.1% |
| Gemcitabine-oxaliplatin | n = 1, 1.4% |
| Palliative | n = 22, 31% |
Disclaimer/Publisher’s Note: The statements, opinions and data contained in all publications are solely those of the individual author(s) and contributor(s) and not of MDPI and/or the editor(s). MDPI and/or the editor(s) disclaim responsibility for any injury to people or property resulting from any ideas, methods, instructions or products referred to in the content. |
© 2025 by the authors. Licensee MDPI, Basel, Switzerland. This article is an open access article distributed under the terms and conditions of the Creative Commons Attribution (CC BY) license (https://creativecommons.org/licenses/by/4.0/).
Share and Cite
Carrera, E.; Abarca, J.; Acuña, J.; Almagro, M.; Armas, D.; Borja, C.; Calderón, W.; Chamorro, D.; Garzon, D.; Gonzalez, M.; et al. Survival Outcomes in Hepatocellular Carcinoma: Experience from a Multidisciplinary Committee in Ecuador. Life 2025, 15, 1565. https://doi.org/10.3390/life15101565
Carrera E, Abarca J, Acuña J, Almagro M, Armas D, Borja C, Calderón W, Chamorro D, Garzon D, Gonzalez M, et al. Survival Outcomes in Hepatocellular Carcinoma: Experience from a Multidisciplinary Committee in Ecuador. Life. 2025; 15(10):1565. https://doi.org/10.3390/life15101565
Chicago/Turabian StyleCarrera, Enrique, Jaysoom Abarca, Johana Acuña, Mercedes Almagro, David Armas, Cinthya Borja, Wendy Calderón, Diana Chamorro, Daniel Garzon, Melina Gonzalez, and et al. 2025. "Survival Outcomes in Hepatocellular Carcinoma: Experience from a Multidisciplinary Committee in Ecuador" Life 15, no. 10: 1565. https://doi.org/10.3390/life15101565
APA StyleCarrera, E., Abarca, J., Acuña, J., Almagro, M., Armas, D., Borja, C., Calderón, W., Chamorro, D., Garzon, D., Gonzalez, M., Moreno, A., Proaño, M., Quevedo, D., Quishpe, M., Salazar, J. F., Tulcanazo, F., Trujillo, C., & Velalcazar, G. (2025). Survival Outcomes in Hepatocellular Carcinoma: Experience from a Multidisciplinary Committee in Ecuador. Life, 15(10), 1565. https://doi.org/10.3390/life15101565

