Patterns and Emerging Trends in Acute Poisoning with Substances of Abuse Used for Recreational Purposes in Adolescents: A Six-Year Multicentre Study
Abstract
1. Introduction
2. Materials and Methods
2.1. Study Design
2.2. Data Collection
2.3. Definitions
2.4. Statistical Analysis
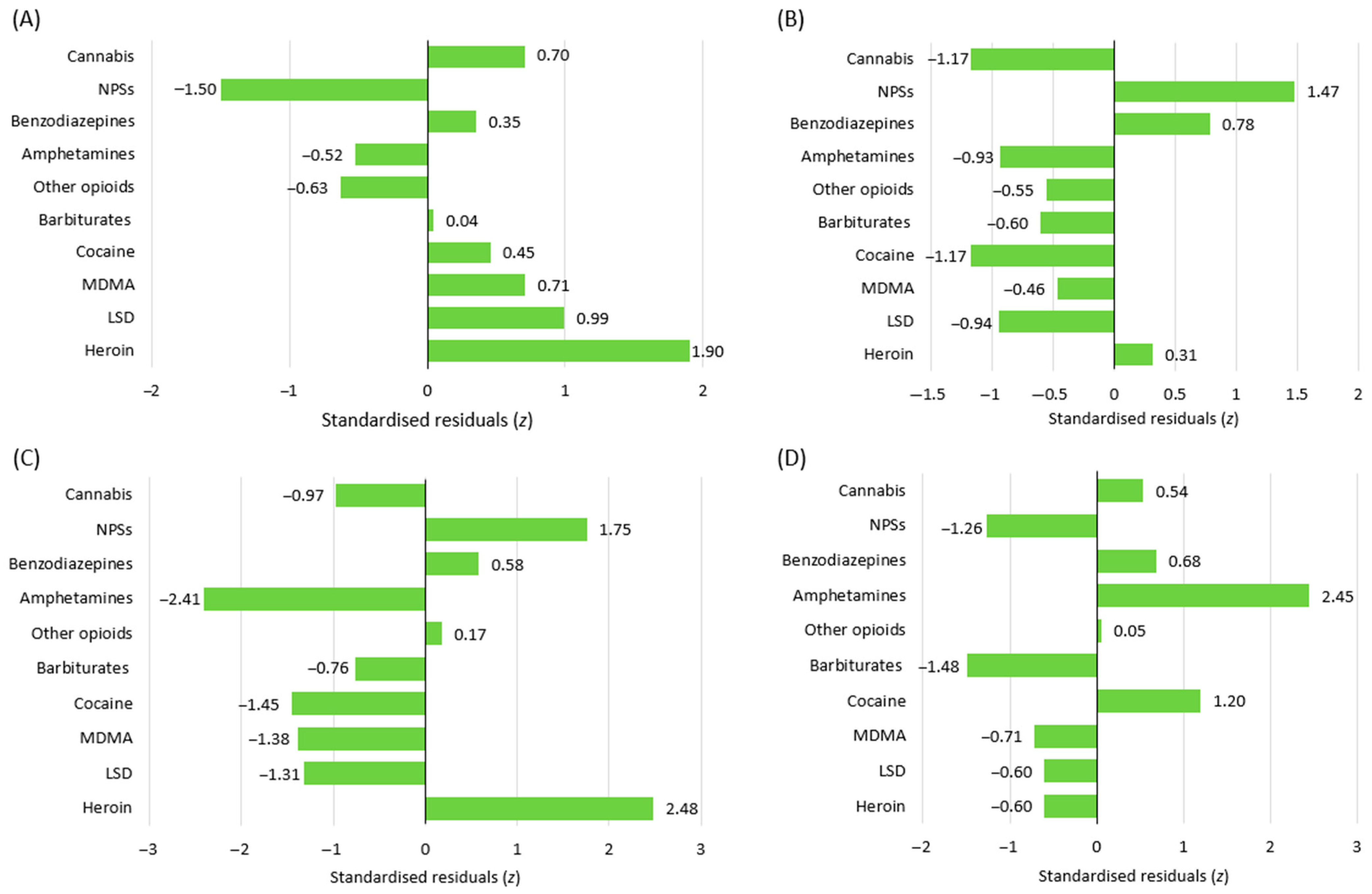
3. Results
3.1. Patient Characteristics and Poisoning Circumstances
3.2. Cannabis Poisoning
3.3. NPS Poisoning
4. Discussion
4.1. Patient Characteristics and Poisoning Circumstances
4.2. Cannabis Poisoning
4.3. NPS Poisoning
4.4. Benzodiazepine Poisoning
4.5. Amphetamine Poisoning
4.6. Opioids Poisoning
4.7. Barbiturate Poisoning
4.8. Cocaine Poisoning
4.9. MDMA Poisoning
4.10. LSD Poisoning
4.11. Poisoning with Other Substances
4.12. Strengths and Limitations
5. Conclusions
Author Contributions
Funding
Institutional Review Board Statement
Informed Consent Statement
Data Availability Statement
Acknowledgments
Conflicts of Interest
References
- Wang, G.S.; Hoyte, C. Common Substances of Abuse. Pediatr. Rev. 2018, 39, 403–414. [Google Scholar] [CrossRef] [PubMed]
- Nath, A.; Choudhari, S.G.; Dakhode, S.U.; Rannaware, A.; Gaidhane, A.M. Substance Abuse Amongst Adolescents: An Issue of Public Health Significance. Cureus 2022, 14, e31193. [Google Scholar] [CrossRef] [PubMed]
- Wu, P.; Hoven, C.W.; Fuller, C.J. Factors associated with adolescents receiving drug treatment: Findings from the National Household Survey on Drug Abuse. J. Behav. Health Serv. Res. 2003, 30, 190–201. [Google Scholar] [CrossRef][Green Version]
- Ciucă Anghel, D.M.; Nițescu, G.V.; Tiron, A.T.; Guțu, C.M.; Baconi, D.L. Understanding the Mechanisms of Action and Effects of Drugs of Abuse. Molecules 2023, 28, 4969. [Google Scholar] [CrossRef] [PubMed]
- Aly, S.M.; Omran, A.; Gaulier, J.M.; Allorge, D. Substance abuse among children. Arch. Pediatr. 2020, 27, 480–484. [Google Scholar] [CrossRef] [PubMed]
- Marino, E.N.; Jha, M.K.; Minhajuddin, A.; Ayvaci, E.R.; Levinson, S.; Pipes, R.; Emslie, G.J.; Trivedi, M.H. Problematic substance use in depressed adolescents: Prevalence and clinical correlates. Addict. Behav. Rep. 2024, 19, 100539. [Google Scholar] [CrossRef]
- Ozakar Akca, S.; Turan Pinar, A. Substance Abuse and Its Prevention in Adolescents. Addicta 2023, 10, 86–92. [Google Scholar] [CrossRef]
- European Union Drugs Agency. Statistical Bulletin 2024 Home—Latest Data and Statistics on the Drug Situation in Europe. Available online: https://www.euda.europa.eu/data/stats2024_en (accessed on 1 August 2024).
- The Romanian Drug and Drug Addiction Observatory. The National Report on the Situation of Drugs in Romania. 2022. Available online: https://ana.gov.ro/wp-content/uploads/2024/06/RAPORT-NATIONAL-PRIVIND-SITUATIA-DROGURILOR_2023.pdf (accessed on 1 July 2024).
- Mégarbane, B.; Oberlin, M.; Alvarez, J.C.; Balen, F.; Beaune, S.; Bédry, R.; Chauvin, A.; Claudet, I.; Danel, V.; Debaty, G.; et al. Management of pharmaceutical and recreational drug poisoning. Ann. Intensive Care 2020, 10, 157. [Google Scholar] [CrossRef]
- Resiere, D.; Kallel, H.; Oxybel, O.; Chabartier, C.; Florentin, J.; Brouste, Y.; Gueye, P.; Megarbane, B.; Mehdaoui, H. Clinical and Epidemiological Characteristics of Severe Acute Adult Poisoning Cases in Martinique: Implicated Toxic Exposures and Their Outcomes. Toxics 2020, 8, 28. [Google Scholar] [CrossRef] [PubMed]
- Yates, F. Contingency tables involving small numbers and the χ2 test. Suppl. J. R. Stat. Soc. 1934, 1, 217. [Google Scholar] [CrossRef]
- Cochran, W.G. Some methods for strengthening the common χ2 tests. Biometrics 1954, 10, 417. [Google Scholar] [CrossRef]
- Armitage, P. Tests for Linear Trends in Proportions and Frequencies. Biometrics 1955, 11, 375. [Google Scholar] [CrossRef]
- Kloos, A.; Weller, R.A.; Chan, R.; Weller, E.B. Gender differences in adolescent substance abuse. Curr. Psychiatry Rep. 2009, 11, 120–126. [Google Scholar] [CrossRef]
- Pawer, S.; Rajabali, F.; Zheng, A.; Pike, I.; Purssell, R.; Zargaran, A.; Babul, S. Socioeconomic factors and substances involved in poisoning-related emergency department visits in British Columbia, Canada. Health Promot. Chronic Dis. Prev. Can. 2021, 41, 211–221. [Google Scholar] [CrossRef] [PubMed]
- Noseda, R.; Franchi, M.; Pagnamenta, A.; Müller, L.; Dines, A.M.; Giraudon, I.; Heyerdahl, F.; Eyer, F.; Hovda, K.E.; Liechti, M.E.; et al. Determinants of Admission to Critical Care Following Acute Recreational Drug Toxicity: A Euro-DEN Plus Study. J. Clin. Med. 2023, 12, 5970. [Google Scholar] [CrossRef] [PubMed]
- Miró, Ò.; Burillo-Putze, G.; Schmid, Y.; Salgado, E.; Liechti, M.E.; Dines, A.M.; Giraudon, I.; Heyerdahl, F.; Hovda, K.E.; Vallersne, O.M.; et al. Severity of emergency department presentations due to acute drug toxicity in Europe: A longitudinal analysis over a 6-year period (2014–2019) stratified by sex. Eur. J. Emerg. Med. 2023, 30, 21–31. [Google Scholar] [CrossRef] [PubMed]
- Bracken, B.K.; Rodolico, J.; Hill, K.P. Sex, age, and progression of drug use in adolescents admitted for substance use disorder treatment in the northeastern United States: Comparison with a national survey. Subst. Abus. 2013, 34, 263–272. [Google Scholar] [CrossRef] [PubMed]
- Alcover, K.C.; Thompson, C.L. Patterns of Mean Age at Drug Use Initiation Among Adolescents and Emerging Adults, 2004–2017. JAMA Pediatr. 2020, 174, 725–727. [Google Scholar] [CrossRef]
- Agbese, E.; Stein, B.D.; Druss, B.G.; Dick, A.W.; Pacula, R.L.; Leslie, D.L. Mental Health Conditions and Substance Use Disorders Among Youth Subsequently Diagnosed with Opioid Use Disorder or Opioid Poisoning. J. Addict. Med. 2022, 16, 357–359. [Google Scholar] [CrossRef]
- Torrens, M.; Gilchrist, G.; Domingo-Salvany, A.; psyCoBarcelona Group. Psychiatric comorbidity in illicit drug users: Substance-induced versus independent disorders. Drug Alcohol. Depend. 2011, 113, 147–156. [Google Scholar] [CrossRef]
- Sheidow, A.J.; McCart, M.; Zajac, K.; Davis, M. Prevalence and impact of substance use among emerging adults with serious mental health conditions. Psychiatr. Rehabil. J. 2012, 35, 235–243. [Google Scholar] [CrossRef]
- National Center for Drug Abuse Statistics. Drug Abuse Statistics 2023. Available online: https://drugabusestatistics.org (accessed on 1 May 2024).
- Waters, M.L.; Dargan, P.I.; Yates, C.; Dines, A.M.; Eyer, F.; Giraudon, I.; Heyerdahl, F.; Hovda, K.E.; Liechti, M.E.; Miró, Ò.; et al. Clinical effects of cannabis compared to synthetic cannabinoid receptor agonists (SCRAs): A retrospective cohort study of presentations with acute toxicity to European hospitals between 2013 and 2020. Clin. Toxicol. 2024, 62, 378–384. [Google Scholar] [CrossRef] [PubMed]
- Crulli, B.; Dines, A.M.; Blanco, G.; Giraudon, I.; Eyer, F.; Liechti, M.E.; Miró, Ò.; Hovda, K.E.; Heyerdahl, F.; Yates, C.; et al. Novel psychoactive substances-related presentations to the emergency departments of the European drug emergencies network plus (Euro-DEN plus) over the six-year period 2014–2019. Clin. Toxicol. 2022, 60, 1318–1327. [Google Scholar] [CrossRef] [PubMed]
- Supervía, A.; Ibrahim-Achi, D.; Miró, Ò.; Galicia, M.; Ferrando, J.P.; Leciñena, M.A.; de L’Hotellerie, M.J.V.; Bajo, Á.B.; Martín-Pérez, B.; Burillo-Putze, G. Impact of co-ingestion of ethanol on the clinical symptomatology and severity of patients attended in the emergency department for recreational drug toxicity. Am. J. Emerg. Med. 2021, 50, 422–427. [Google Scholar] [CrossRef]
- Ford, J.A.; McCabe, S.E.; Schepis, T.S. Prescription Drug Misuse with Alcohol Coingestion among US Adolescents: Youth Experiences, Health-related Factors, and Other Substance Use Behaviors. J. Addict. Med. 2023, 17, 379–386. [Google Scholar] [CrossRef]
- de Veld, L.; Wolberink, I.M.; van Hoof, J.J.; van der Lely, N. The role of tobacco smoking and illicit drug use in adolescent acute alcohol intoxication. BMC Pediatr. 2021, 21, 233. [Google Scholar] [CrossRef] [PubMed]
- Demir, A.Ç.; Dönmez, Y.E.; Kartalcı, G.; Bingöl, M.E.; Temelli, G.; Özcan, Ö. The relationship between smoking, alcohol, and substance abuse and psychiatric diseases among adolescents treated in a child and adolescent psychiatry inpatient unit. Turk. J. Pediatr. 2022, 64, 816–824. [Google Scholar] [CrossRef] [PubMed]
- Ciucă Anghel, D.M.; Vlasceanu, A.M.; Tudor, G.; Ciobanu, A.M.; Stan, M.; Nitescu, G.V.; Florou, D.; Tsatsakis, A.M.; Baconi, D.L. Characterization of various groups of drugs users. Highlights on legal highs users. Farmacia 2023, 71, 18–28. [Google Scholar] [CrossRef]
- Lewer, D.; Brothers, T.D.; Gasparrini, A.; Strang, J. Seasonal, weekly and other cyclical patterns in deaths due to drug poisoning in England and Wales. Addiction 2023, 118, 1596–1601. [Google Scholar] [CrossRef] [PubMed]
- Huang, L.X.; Schildhaus, S.; Wright, D. Seasonality of Substance Use: National Household Survey on Drug Abuse 1992–1996 (OAS Working Paper); Substance Abuse and Mental Health Services Administration, Office of Applied Studies: Rockville, MD, USA, 1999.
- Cheng, P.; Zagaran, A.; Rajabali, F.; Turcotte, K.; Babul, S. Setting the baseline: A description of cannabis poisonings at a Canadian pediatric hospital prior to the legalization of recreational cannabis. Health Promot. Chronic Dis. Prev. Can. 2020, 40, 193–200. [Google Scholar] [CrossRef]
- Knapp, A.A.; Lee, D.C.; Borodovsky, J.T.; Auty, S.G.; Gabrielli, J.; Budney, A.J. Emerging Trends in Cannabis Administration Among Adolescent Cannabis Users. J. Adolesc. Health 2019, 64, 487–493. [Google Scholar] [CrossRef] [PubMed]
- Tims, F.M.; Dennis, M.L.; Hamilton, N.; JBuchan, B.; Diamond, G.; Funk, R.; Brantley, L.B. Characteristics and problems of 600 adolescent cannabis abusers in outpatient treatment. Addiction 2002, 97 (Suppl. S1), 46–57. [Google Scholar] [CrossRef] [PubMed]
- Osborne, A.; James, P.B.; Olorunsaiye, C.Z.; Bangura, C.; Lebbie, A. Cannabis use and its psychosocial correlates among school-going adolescents in Sierra Leone. BMC Public Health 2024, 24, 986. [Google Scholar] [CrossRef] [PubMed]
- Hughes, A.R.; Grusing, S.; Lin, A.; Hendrickson, R.G.; Sheridan, D.C.; Marshall, R.; Zane Horowitz, B. Trends in intentional abuse and misuse ingestions in school-aged children and adolescents reported to US poison centers from 2000–2020. Clin. Toxicol. 2023, 61, 64–71. [Google Scholar] [CrossRef] [PubMed]
- Cohen, N.; Mathew, M.; Brent, J.; Wax, P.; Davis, A.L.; Obilom, C.; Burns, M.M.; Canning, J.; Baumgartner, K.; Koons, A.L.; et al. Severe outcomes following pediatric cannabis intoxication: A prospective cohort study of an international toxicology surveillance registry. Clin. Toxicol. 2023, 61, 591–598. [Google Scholar] [CrossRef] [PubMed]
- Schmid, Y.; Galicia, M.; Vogt, S.B.; Liechti, M.E.; Burillo-Putze, G.; Dargan, P.I.; Dines, A.M.; Giraudon, I.; Heyerdahl, F.; Hovda, K.E.; et al. Differences in clinical features associated with cannabis intoxication in presentations to European emergency departments according to patient age and sex. Clin. Toxicol. 2022, 60, 912–919. [Google Scholar] [CrossRef] [PubMed]
- Varin, M.; Champagne, A.; Venugopal, J.; Li, L.; McFaull, S.R.; Thompson, W.; Toigo, S.; Graham, E.; Lowe, A.M. Trends in cannabis-related emergency department visits and hospitalizations among children aged 0–11 years in Canada from 2015 to 2021: Spotlight on cannabis edibles. BMC Public Health 2023, 23, 2067. [Google Scholar] [CrossRef]
- Tweet, M.S.; Nemanich, A.; Wahl, M. Pediatric Edible Cannabis Exposures and Acute Toxicity: 2017–2021. Pediatrics 2023, 151, e2022057761. [Google Scholar] [CrossRef]
- Davis, G.P.; Compton, M.T.; Wang, S.; Levin, F.R.; Blanco, C. Association between cannabis use, psychosis, and schizotypal personality disorder: Findings from the National Epidemiologic Survey on Alcohol and Related Conditions. Schizophr. Res. 2013, 151, 197–202. [Google Scholar] [CrossRef]
- Buckner, J.D.; Heimberg, R.G.; Schneier, F.R.; Liu, S.M.; Wang, S.; Blanco, C. The relationship between cannabis use disorders and social anxiety disorder in the National Epidemiological Study of Alcohol and Related Conditions (NESARC). Drug Alcohol. Depend. 2012, 124, 128–134. [Google Scholar] [CrossRef] [PubMed]
- Allaf, S.; Lim, J.S.; Buckley, N.A.; Cairns, R. The impact of cannabis legalization and decriminalization on acute poisoning: A systematic review. Addiction 2023, 118, 2252–2274. [Google Scholar] [CrossRef] [PubMed]
- Laudone, T.W.; Leonard, J.B.; Hines, E.Q.; Seung, H.; Klein-Schwartz, W. Changes in unintentional cannabis exposures in children 6 months to 5 years reported to United States poison centers during the first nine months of the coronavirus-19 pandemic. Clin. Toxicol. 2022, 60, 1029–1031. [Google Scholar] [CrossRef] [PubMed]
- Compton, W.M.; Flannagan, K.S.; Silveira, M.L.; Creamer, M.R.; Kimmel, H.L.; Kanel, M.; Blanco, C.; Volkow, N.D. Tobacco, Alcohol, Cannabis, and Other Drug Use in the US Before and During the Early Phase of the COVID-19 Pandemic. JAMA Netw. Open 2023, 6, e2254566. [Google Scholar] [CrossRef]
- Merrill, J.E.; Stevens, A.K.; Jackson, K.M.; White, H.R. Changes in Cannabis Consumption Among College Students During COVID-19. J. Stud. Alcohol. Drugs 2022, 83, 55–63. [Google Scholar] [CrossRef] [PubMed]
- Roehler, D.R.; Smith, H., 4th; Radhakrishnan, L.; Holland, K.M.; Gates, A.L.; Vivolo-Kantor, A.M.; Hoots, B.E. Cannabis-Involved Emergency Department Visits Among Persons Aged <25 Years Before and During the COVID-19 Pandemic–United States, 2019–2022. MMWR Morb. Mortal. Wkly. Rep. 2023, 72, 758–765. [Google Scholar] [CrossRef] [PubMed]
- United Nations Office on Drugs and Crimes. Early Warning Advisory on New Psychoactive Substances. 2023. Available online: https://www.unodc.org/LSS/Announcement/Details/14abc955-499d-4f0c-b3c9-0bebe7b569cc (accessed on 1 May 2024).
- Liu, S.; O’Donnell, J.; Gladden, R.M.; McGlone, L.; Chowdhury, F. Trends in Nonfatal and Fatal Overdoses Involving Benzodiazepines—38 States and the District of Columbia, 2019–2020. MMWR Morb. Mortal. Wkly. Rep. 2021, 70, 1136–1141. [Google Scholar] [CrossRef]
- The Center for Forensic Science Research and Education. Trend Reports-NPS Benzodiazepines in the Untited States. 2024. Available online: https://www.cfsre.org/nps-discovery/trend-reports/nps-benzodiazepines/report/49?trend_type_id=1 (accessed on 1 May 2024).
- Heier, E.C.; Eyer, F.; Rabe, C.; Geith, S.; Dargan, P.I.; Wood, D.M.; Heyerdahl, F.; Dines, A.M.; Giraudon, I.; Hovda, K.E.; et al. Clinical effect of ethanol co-use in patients with acute drug toxicity involving the use of central nervous system depressant recreational drugs. Eur. J. Emerg. Med. 2022, 29, 291–300. [Google Scholar] [CrossRef]
- Kurvits, K.; Toompere, K.; Jaanson, P.; Uusküla, A. The COVID-19 pandemic and the use of benzodiazepines and benzodiazepine-related drugs in Estonia: An interrupted time-series analysis. Child. Adolesc. Psychiatry Ment. Health 2024, 18, 66. [Google Scholar] [CrossRef] [PubMed]
- de Dios, C.; Fernandes, B.S.; Whalen, K.; Bandewar, S.; Suchting, R.; Weaver, M.F.; Selvaraj, S. Prescription fill patterns for benzodiazepine and opioid drugs during the COVID-19 pandemic in the United States. Drug Alcohol. Depend. 2021, 229, 109176. [Google Scholar] [CrossRef]
- Berro, L.F.; Fidalgo, T.M.; Rowlett, J.K.; Tardelli, V.S. Editorial: Benzodiazepine addiction: From lab to street. Front. Psychiatry 2023, 14, 1287352. [Google Scholar] [CrossRef] [PubMed]
- Vivolo-Kantor, A.M.; Hoots, B.E.; Scholl, L.; Pickens, C.; Roehler, D.R.; Board, A.; Mustaquim, D.; Smith, H.; Snodgrass, S.; Liu, S. Nonfatal Drug Overdoses Treated in Emergency Departments–United States, 2016–2017. MMWR Morb. Mortal. Wkly. Rep. 2020, 69, 371–376. [Google Scholar] [CrossRef]
- Substance Abuse and Mental Health Services Administration. Drug Abuse Warning Network (DAWN) Releases. 2022. Available online: https://www.samhsa.gov/data/release/2022-drug-abuse-warning-network-dawn-releases (accessed on 1 May 2024).
- National Institute on Drug Abuse. COVID-19 and Substance Use. 2023. Available online: https://nida.nih.gov/research-topics/covid-19-substance-use (accessed on 1 May 2024).
- California Health Care Foundation. Substance Use Disorder in California: Almanac 2022. Available online: https://www.chcf.org/wp-content/uploads/2022/01/SubstanceUseDisorderAlmanac2022.pdf (accessed on 1 May 2024).
- Federal, Provincial, and Territorial Special Advisory Committee on the Epidemic of Opioid Overdoses. Opioid- and Stimulant-Related Harms in Canada; Public Health Agency of Canada: Ottawa, ON, Canada, 2024; Available online: https://health-infobase.canada.ca/substance-related-harms/opioids-stimulants/ (accessed on 1 May 2024).
- Lee, Y.K.; Gold, M.S.; Blum, K.; Thanos, P.K.; Hanna, C.; Fuehrlein, B.S. Opioid use disorder: Current trends and potential treatments. Front. Public Health 2024, 11, 1274719. [Google Scholar] [CrossRef] [PubMed]
- Lu, A.; Armstrong, M.; Alexander, R.; Vest, E.; Chang, J.; Zhu, M.; Xiang, H. Trends in pediatric prescription-opioid overdoses in U.S. emergency departments from 2008–2020: An epidemiologic study of pediatric opioid overdose ED visits. PLoS ONE 2024, 19, e0299163. [Google Scholar] [CrossRef]
- Gaither, J.R.; Leventhal, J.M.; Ryan, S.A.; Camenga, D.R. National Trends in Hospitalizations for Opioid Poisonings Among Children and Adolescents, 1997 to 2012. JAMA Pediatr. 2016, 170, 1195–1201. [Google Scholar] [CrossRef] [PubMed]
- Ahmad, F.B.; Cisewski, J.A.; Rossen, L.M.; Sutton, P.; Provisional Drug Overdose Death Counts. National Center for Health Statistics. 2024. Available online: https://www.cdc.gov/nchs/nvss/vsrr/drug-overdose-data.htm (accessed on 1 May 2024).
- Stan, M.; Burcea-Dragomirescu, G.T.A.; Vasiliu, A.; Ginghina, O.; Nitescu, G.V.; Vlasceanu, A.M.; Ciobanu, A.M.; Baconi, D.L. Screening Method for the Detection of Dextromethorphan Abuse by HPTLC. Farmacia 2022, 70, 1123–1131. [Google Scholar] [CrossRef]
- Darke, S.; Chrzanowska, A.; Campbell, G.; Zahra, E.; Lappin, J. Barbiturate-related hospitalisations, drug treatment episodes, and deaths in Australia, 2000–2018. Med. J. Aust. 2022, 216, 194–198. [Google Scholar] [CrossRef]
- Schneider, K.E.; Krawczyk, N.; Xuan, Z.; Johnson, R.M. Past 15-year trends in lifetime cocaine use among US high school students. Drug Alcohol. Depend. 2018, 183, 69–72. [Google Scholar] [CrossRef]
- Morentin, B.; Meana, J.J.; Callado, L.F. Ethanol and illicit drugs acute use and abuse as risk factors for suicide: A case-control study based on forensic autopsies in the Basque Country, Spain. Span J. Psychiatry Ment. Health 2023, 16, 109–115. [Google Scholar] [CrossRef] [PubMed]
- Mellos, E.; Paparrigopoulos, T. Substance use during the COVID-19 pandemic: What is really happening? Psychiatriki 2022, 33, 17–20. [Google Scholar] [CrossRef]
- National Institute on Drug Abuse. What Is the Scope of MDMA Use in the United States? 2023. Available online: https://nida.nih.gov/sites/default/files/rrmdma_0.pdf (accessed on 1 May 2024).
- Engelgardt, P.; Krzyżanowski, M.; Borkowska-Sztachańska, M.; Wasilewska, A.; Ciucias, M. Life time use of illicit substances among adolescents and young people hospitalized in psychiatric hospital. Sci. Rep. 2023, 13, 1866. [Google Scholar] [CrossRef] [PubMed]
- Lipari, R.N. Understanding Adolescent Inhalant Use. In The CBHSQ Report; Substance Abuse and Mental Health Services Administration: Rockville, MD, USA, 2017; pp. 1–7. [Google Scholar]
- Nițescu, G.V.; Grama, A.; Turcu, T.; Strătulă, A.; Dragomirescu, A.; Pană, E.S.; Baciu, A.; Baconi, D.L.; Crăciun, M.D.; Ulmeanu, C.E. Epidemiology and Clinical Characteristics of Acute Plant Exposure in Patients Aged between 0 and 18 Years-A Six-Year Retrospective Study. Children 2024, 11, 271. [Google Scholar] [CrossRef] [PubMed]





Disclaimer/Publisher’s Note: The statements, opinions and data contained in all publications are solely those of the individual author(s) and contributor(s) and not of MDPI and/or the editor(s). MDPI and/or the editor(s) disclaim responsibility for any injury to people or property resulting from any ideas, methods, instructions or products referred to in the content. |
© 2024 by the authors. Licensee MDPI, Basel, Switzerland. This article is an open access article distributed under the terms and conditions of the Creative Commons Attribution (CC BY) license (https://creativecommons.org/licenses/by/4.0/).
Share and Cite
Turcu, T.-A.; Lescaie, A.; Grama, A.R.; Strătulă, A.-C.; Vincene, A.-I.; Grigoraș, L.-M.; Jităreanu, C.; Babeu, A.M.; Gafencu, M.; Crăciun, M.-D.; et al. Patterns and Emerging Trends in Acute Poisoning with Substances of Abuse Used for Recreational Purposes in Adolescents: A Six-Year Multicentre Study. Life 2024, 14, 1033. https://doi.org/10.3390/life14081033
Turcu T-A, Lescaie A, Grama AR, Strătulă A-C, Vincene A-I, Grigoraș L-M, Jităreanu C, Babeu AM, Gafencu M, Crăciun M-D, et al. Patterns and Emerging Trends in Acute Poisoning with Substances of Abuse Used for Recreational Purposes in Adolescents: A Six-Year Multicentre Study. Life. 2024; 14(8):1033. https://doi.org/10.3390/life14081033
Chicago/Turabian StyleTurcu, Teodora-Adela, Andreea Lescaie, Andreea Rodica Grama, Andreea-Cătălina Strătulă, Andreea-Iasmina Vincene, Laura-Maria Grigoraș, Cristina Jităreanu, Alina Maria Babeu, Mihai Gafencu, Maria-Dorina Crăciun, and et al. 2024. "Patterns and Emerging Trends in Acute Poisoning with Substances of Abuse Used for Recreational Purposes in Adolescents: A Six-Year Multicentre Study" Life 14, no. 8: 1033. https://doi.org/10.3390/life14081033
APA StyleTurcu, T.-A., Lescaie, A., Grama, A. R., Strătulă, A.-C., Vincene, A.-I., Grigoraș, L.-M., Jităreanu, C., Babeu, A. M., Gafencu, M., Crăciun, M.-D., Chivu, C.-D., Baconi, D. L., Mihai, C. M., Ulmeanu, C. E., & Nițescu, G. V. (2024). Patterns and Emerging Trends in Acute Poisoning with Substances of Abuse Used for Recreational Purposes in Adolescents: A Six-Year Multicentre Study. Life, 14(8), 1033. https://doi.org/10.3390/life14081033

