A Comparison of the Effects of Continuous Illumination and Day/Night Regimes on PHB Accumulation in Synechocystis Cells
Abstract
1. Introduction
2. Materials and Methods
2.1. Strains
2.2. Experimental Setup
2.3. Growth Monitoring
2.4. PHB Analysis
2.5. Glycogen Analysis
2.6. Chlorophylla Analysis
2.7. Flow Cytometer
2.8. Confocal Microscopy/Measurement of Cell Size
2.9. Transmission Electron Microscopy
2.10. Statistics
3. Results and Discussion
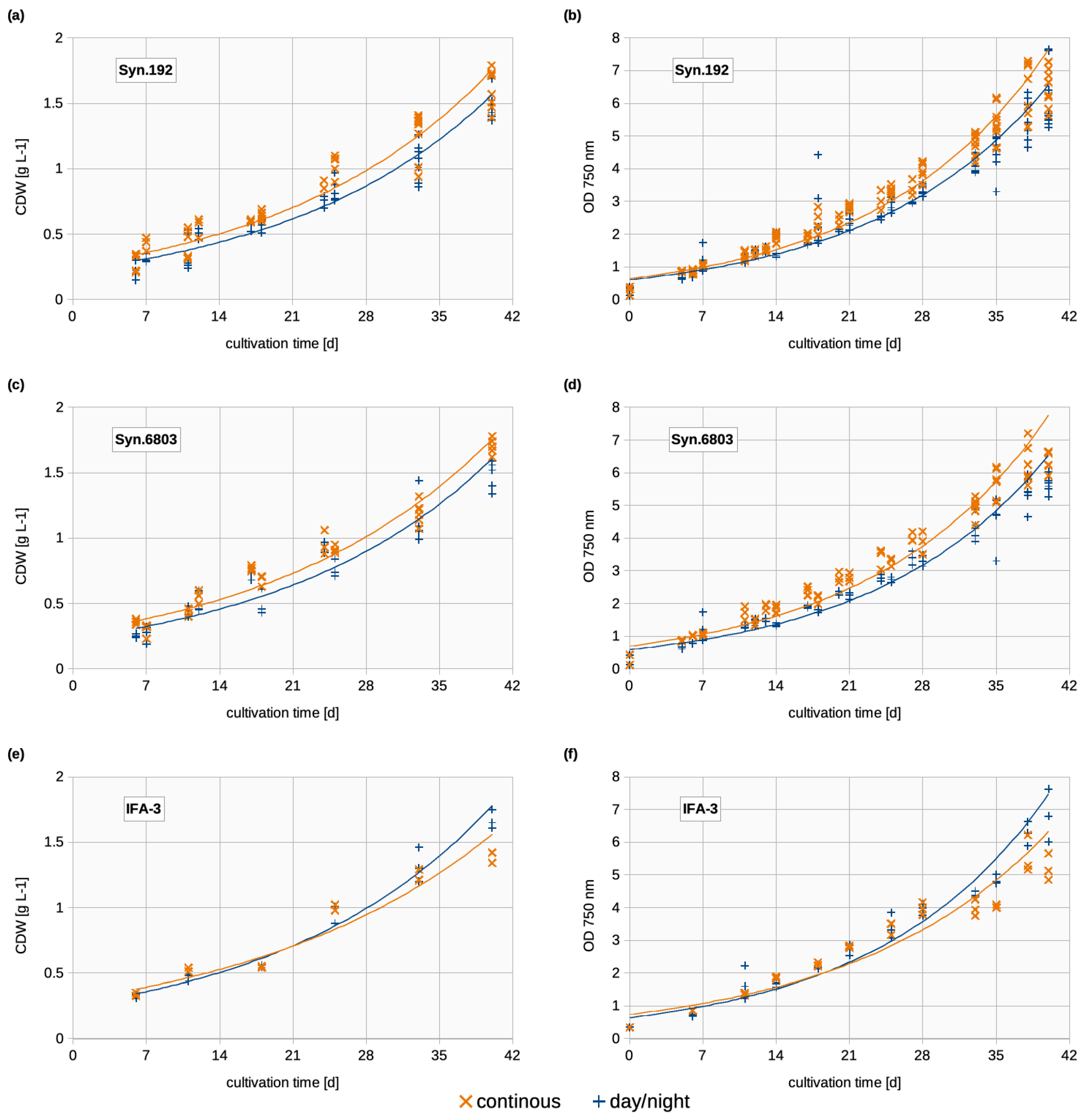
3.1. Biomass Concentration
3.2. Carbohydrate Storage Compounds
3.2.1. PHB
3.2.2. Glycogen
3.2.3. Chlorophyll
3.3. PHB per Cell
3.4. Cell Size and Viability
4. Conclusions
Author Contributions
Funding
Institutional Review Board Statement
Informed Consent Statement
Data Availability Statement
Acknowledgments
Conflicts of Interest
References
- Drosg, B.; Fritz, I.; Gattermayr, F.; Silvestrini, L. Photo-Autotrophic Production of Poly(Hydroxyalkanoates) in Cyanobacteria. Chem. Biochem. Eng. Q. 2015, 29, 145–156. [Google Scholar] [CrossRef]
- Price, S.; Kuzhiumparambil, U.; Pernice, M.; Ralph, P.J. Cyanobacterial Polyhydroxybutyrate for Sustainable Bioplastic Production: Critical Review and Perspectives. J. Environ. Chem. Eng. 2020, 8, 104007. [Google Scholar] [CrossRef]
- Yashavanth, Y.; Das, M.; Maiti, S.K. Recent Progress and Challenges in Cyanobacterial Autotrophic Production of Polyhydroxybutyrate (PHB), a Bioplastic. J. Environ. Chem. Eng. 2021, 9, 105379. [Google Scholar] [CrossRef]
- Carpine, R.; Olivieri, G.; Hellingwerf, K.J.; Pollio, A.; Marzocchella, A. Industrial Production of Poly-β-Hydroxybutyrate from CO2: Can Cyanobacteria Meet This Challenge? Processes 2020, 8, 323. [Google Scholar] [CrossRef]
- Fritz, I.; Meixner, K.; Neureiter, M.; Drosg, B. Comparing Heterotrophic with Phototrophic PHA Production—Concurring or Complementing Strategies. In The Handbook of Polyhydroxyalkanoates—Microbial Biosynthesis and Feedstocks; Koller, M., Ed.; CRC Press: Boca Raton, FL, USA, 2021; p. 453, eBook; ISBN 9780429296611. [Google Scholar]
- Troschl, C.; Meixner, K.; Drosg, B. Cyanobacterial PHA Production—Review of Recent Advances and a Summary of Three Years’ Working Experience Running a Pilot Plant. Bioengineering 2017, 4, 26. [Google Scholar] [CrossRef]
- Lau, N.-S.; Matsui, M.; Abdullah, A.A.-A. Cyanobacteria: Photoautotrophic Microbial Factories for the Sustainable Synthesis of Industrial Products. Available online: https://www.hindawi.com/journals/bmri/2015/754934/ (accessed on 5 March 2018).
- Meixner, K.; Daffert, C.; Dalnodar, D.; Mrázová, K.; Hrubanová, K.; Krzyzanek, V.; Nebesarova, J.; Samek, O.; Šedrlová, Z.; Slaninova, E.; et al. Glycogen, Poly(3-Hydroxybutyrate) and Pigment Accumulation in Three Synechocystis Strains When Exposed to a Stepwise Increasing Salt Stress. J. Appl. Phycol. 2022, 34, 1227–1241. [Google Scholar] [CrossRef] [PubMed]
- Comer, A.D.; Abraham, J.P.; Steiner, A.J.; Korosh, T.C.; Markley, A.L.; Pfleger, B.F. Enhancing Photosynthetic Production of Glycogen-Rich Biomass for Use as a Fermentation Feedstock. Front. Energy Res. 2020, 8, 93. [Google Scholar] [CrossRef] [PubMed]
- Cano, M.; Holland, S.C.; Artier, J.; Burnap, R.L.; Ghirardi, M.; Morgan, J.A.; Yu, J. Glycogen Synthesis and Metabolite Overflow Contribute to Energy Balancing in Cyanobacteria. Cell Rep. 2018, 23, 667–672. [Google Scholar] [CrossRef]
- Hauf, W.; Schlebusch, M.; Hüge, J.; Kopka, J.; Hagemann, M.; Forchhammer, K. Metabolic Changes in Synechocystis PCC6803 upon Nitrogen-Starvation: Excess NADPH Sustains Polyhydroxybutyrate Accumulation. Metabolites 2013, 3, 101–118. [Google Scholar] [CrossRef] [PubMed]
- Obruca, S.; Sedlacek, P.; Slaninova, E.; Fritz, I.; Daffert, C.; Meixner, K.; Sedrlova, Z.; Koller, M. Novel Unexpected Functions of PHA Granules. Appl. Microbiol. Biotechnol. 2020, 104, 4795–4810. [Google Scholar] [CrossRef]
- Koch, M.; Doello, S.; Gutekunst, K.; Forchhammer, K. PHB Is Produced from Glycogen Turn-over during Nitrogen Starvation in Synechocystis Sp. PCC 6803. Int. J. Mol. Sci. 2019, 20, 1942. [Google Scholar] [CrossRef] [PubMed]
- Obruca, S.; Sedlacek, P.; Koller, M. The Underexplored Role of Diverse Stress Factors in Microbial Biopolymer Synthesis. Bioresour. Technol. 2021, 326, 124767. [Google Scholar] [CrossRef] [PubMed]
- Taton, A.; Erikson, C.; Yang, Y.; Rubin, B.E.; Rifkin, S.A.; Golden, J.W.; Golden, S.S. The Circadian Clock and Darkness Control Natural Competence in Cyanobacteria. Nat. Commun. 2020, 11, 1688. [Google Scholar] [CrossRef] [PubMed]
- van Alphen, P.; Hellingwerf, K.J. Sustained Circadian Rhythms in Continuous Light in Synechocystis Sp. PCC6803 Growing in a Well-Controlled Photobioreactor. PLoS ONE 2015, 10, e0127715. [Google Scholar] [CrossRef][Green Version]
- Calzadilla, P.I.; Kirilovsky, D. Revisiting Cyanobacterial State Transitions. Photochem. Photobiol. Sci. 2020, 19, 585–603. [Google Scholar] [CrossRef] [PubMed]
- Nishiyama, Y.; Murata, N. Revised Scheme for the Mechanism of Photoinhibition and Its Application to Enhance the Abiotic Stress Tolerance of the Photosynthetic Machinery. Appl. Microbiol. Biotechnol. 2014, 98, 8777–8796. [Google Scholar] [CrossRef] [PubMed]
- Montgomery, B.L. Light-Dependent Governance of Cell Shape Dimensions in Cyanobacteria. Front. Microbiol. 2015, 6, 514. [Google Scholar] [CrossRef] [PubMed]
- Koch, M.; Berendzen, K.W.; Forchhammer, K. On the Role and Production of Polyhydroxybutyrate (PHB) in the Cyanobacterium Synechocystis Sp. PCC 6803. Life 2020, 10, 47. [Google Scholar] [CrossRef]
- Kamravamanesh, D.; Pflügl, S.; Nischkauer, W.; Limbeck, A.; Lackner, M.; Herwig, C. Photosynthetic Poly-β-Hydroxybutyrate Accumulation in Unicellular Cyanobacterium Synechocystis Sp. PCC 6714. AMB Express 2017, 7, 143. [Google Scholar] [CrossRef]
- Koch, M.; Bruckmoser, J.; Scholl, J.; Hauf, W.; Rieger, B.; Forchhammer, K. Maximizing PHB Content in Synechocystis Sp. PCC 6803: A New Metabolic Engineering Strategy Based on the Regulator PirC. Microb. Cell Factories 2020, 19, 231. [Google Scholar] [CrossRef]
- Panda, B.; Jain, P.; Sharma, L.; Mallick, N. Optimization of Cultural and Nutritional Conditions for Accumulation of Poly-β-Hydroxybutyrate in Synechocystis Sp. PCC 6803. Bioresour. Technol. 2006, 97, 1296–1301. [Google Scholar] [CrossRef] [PubMed]
- Ansari, S.; Fatma, T. Cyanobacterial Polyhydroxybutyrate (PHB): Screening, Optimization and Characterization. PLoS ONE 2016, 11, e0158168. [Google Scholar] [CrossRef] [PubMed]
- Troschl, C.; Meixner, K.; Fritz, I.; Leitner, K.; Romero, A.P.; Kovalcik, A.; Sedlacek, P.; Drosg, B. Pilot-Scale Production of Poly-β-Hydroxybutyrate with the Cyanobacterium Synechocytis Sp. CCALA192 in a Non-Sterile Tubular Photobioreactor. Algal Res. 2018, 34, 116–125. [Google Scholar] [CrossRef]
- Meixner, K.; Daffert, C.; Bauer, L.; Drosg, B.; Fritz, I. PHB Producing Cyanobacteria Found in the Neighborhood—Their Isolation, Purification and Performance Testing. Bioengineering 2022, 9, 178. [Google Scholar] [CrossRef] [PubMed]
- Stanier, R.Y.; Deruelles, J.; Rippka, R.; Herdman, M.; Waterbury, J.B. Generic Assignments, Strain Histories and Properties of Pure Cultures of Cyanobacteria. Microbiology 1979, 111, 1–61. [Google Scholar] [CrossRef]
- Karr, D.B.; Waters, J.K.; Emerich, D.W. Analysis of Poly-β-Hydroxybutyrate in Rhizobium Japonicum Bacteroids by Ion-Exclusion High-Pressure Liquid Chromatography and UV Detection. Appl. Environ. Microbiol. 1983, 46, 1339–1344. [Google Scholar] [CrossRef] [PubMed]
- Zavrel, T.; Sinetova, M.; Cervený, J. Measurement of Chlorophyll a and Carotenoids Concentration in Cyanobacteria. Bio-Protocol 2015, 5, e1467. [Google Scholar] [CrossRef]
- Ritchie, R.J. Universal Chlorophyll Equations for Estimating Chlorophylls a, b, c, and d and Total Chlorophylls in Natural Assemblages of Photosynthetic Organisms Using Acetone, Methanol, or Ethanol Solvents. Photosynthetica 2008, 46, 115–126. [Google Scholar] [CrossRef]
- Mravec, F.; Obruca, S.; Krzyzanek, V.; Sedlacek, P.; Hrubanova, K.; Samek, O.; Kucera, D.; Benesova, P.; Nebesarova, J. Accumulation of PHA Granules in Cupriavidus Necator as Seen by Confocal Fluorescence Microscopy. FEMS Microbiol. Lett. 2016, 363, fnw094. [Google Scholar] [CrossRef]
- Obruca, S.; Sedlacek, P.; Koller, M.; Kucera, D.; Pernicova, I. Involvement of Polyhydroxyalkanoates in Stress Resistance of Microbial Cells: Biotechnological Consequences and Applications. Biotechnol. Adv. 2018, 36, 856–870. [Google Scholar] [CrossRef]
- Meixner, K.; Fritz, I.; Daffert, C.; Markl, K.; Fuchs, W.; Drosg, B. Processing Recommendations for Using Low-Solids Digestate as Nutrient Solution for Poly-ß-Hydroxybutyrate Production with Synechocystis Salina. J. Biotechnol. 2016, 240, 61–67. [Google Scholar] [CrossRef] [PubMed]
- Forchhammer, K.; Schwarz, R. Nitrogen Chlorosis in Unicellular Cyanobacteria—A Developmental Program for Surviving Nitrogen Deprivation. Environ. Microbiol. 2019, 21, 1173–1184. [Google Scholar] [CrossRef] [PubMed]
- Spät, P.; Klotz, A.; Rexroth, S.; Maček, B.; Forchhammer, K. Chlorosis as a Developmental Program in Cyanobacteria: The Proteomic Fundament for Survival and Awakening. Mol. Cell. Proteom. 2018, 17, 1650–1669. [Google Scholar] [CrossRef] [PubMed]
- Silvestrini, L.; Drosg, B. Identification of Four Polyhydroxyalkanoate Structural Genes in Synechocystis Cf. Salina PCC6909: In Silico Evidences. J. Proteom. Bioinform. 2016, 9, 28–37. [Google Scholar] [CrossRef]
- Wu, G.F.; Wu, Q.Y.; Shen, Z.Y. Accumulation of Poly-b-Hydroxybutyrate in Cyanobacterium Synechocystis Sp. PCC6803. Bioresour. Technol. 2001, 6, 85–90. [Google Scholar] [CrossRef] [PubMed]
- Velmurugan, R.; Incharoensakdi, A. Disruption of Polyhydroxybutyrate Synthesis Redirects Carbon Flow towards Glycogen Synthesis in Synechocystis Sp. PCC 6803 Overexpressing glgC/glgA. Plant Cell Physiol. 2018, 59, 2020–2029. [Google Scholar] [CrossRef] [PubMed]
- Aguirre Von Wobeser, E.; Ibelings, B.W.; Bok, J.; Krasikov, V.; Huisman, J.; Matthijs, H.C.P. Concerted Changes in Gene Expression and Cell Physiology of the Cyanobacterium Synechocystis Sp. Strain PCC 6803 during Transitions between Nitrogen and Light-Limited Growth. Plant Physiol. 2011, 155, 1445–1457. [Google Scholar] [CrossRef] [PubMed]
- Krasikov, V.; Aguirre von Wobeser, E.; Dekker, H.L.; Huisman, J.; Matthijs, H.C.P. Time-Series Resolution of Gradual Nitrogen Starvation and Its Impact on Photosynthesis in the Cyanobacterium Synechocystis PCC 6803. Physiol. Plant. 2012, 145, 426–439. [Google Scholar] [CrossRef] [PubMed]
- Muramatsu, M.; Hihara, Y. Acclimation to High-Light Conditions in Cyanobacteria: From Gene Expression to Physiological Responses. J. Plant Res. 2012, 125, 11–39. [Google Scholar] [CrossRef]
- Slaninova, E.; Sedlacek, P.; Mravec, F.; Mullerova, L.; Samek, O.; Koller, M.; Hesko, O.; Kucera, D.; Marova, I.; Obruca, S. Light Scattering on PHA Granules Protects Bacterial Cells against the Harmful Effects of UV Radiation. Appl. Microbiol. Biotechnol. 2018, 102, 1923–1931. [Google Scholar] [CrossRef]
- Rollin, R.; Joanny, J.-F.; Sens, P. Cell Size Scaling Laws: A Unified Theory. Biorxiv 2022. [Google Scholar] [CrossRef]
- Kellogg, D.R.; Levin, P.A. Nutrient Availability as an Arbiter of Cell Size. Trends Cell Biol. 2022, 32, 908–919. [Google Scholar] [CrossRef] [PubMed]
- Osanai, T.; Kuwahara, A.; Iijima, H.; Toyooka, K.; Sato, M.; Tanaka, K.; Ikeuchi, M.; Saito, K.; Hirai, M.Y. Pleiotropic Effect of sigE over-Expression on Cell Morphology, Photosynthesis and Hydrogen Production in Synechocystis Sp. PCC 6803. Plant J. 2013, 76, 456–465. [Google Scholar] [CrossRef]
- Doppler, P.; Spadiut, O. Chapter 5 Introduction to Autotrophic Cultivation of Microalgae in Photobioreactors. In The Autotrophic Biorefinery; De Gruyter: Berlin, Germany, 2021; pp. 113–130. ISBN 978-3-11-055060-3. [Google Scholar]
- Grivalský, T.; Ranglová, K.; da Câmara Manoel, J.A.; Lakatos, G.E.; Lhotský, R.; Masojídek, J. Development of Thin-Layer Cascades for Microalgae Cultivation: Milestones (Review). Folia Microbiol. 2019, 64, 603–614. [Google Scholar] [CrossRef] [PubMed]
- Masojídek, J.; Prášil, O. The Development of Microalgal Biotechnology in the Czech Republic. J. Ind. Microbiol. Biotechnol. 2010, 37, 1307–1317. [Google Scholar] [CrossRef] [PubMed]
- Abu-Ghosh, S.; Fixler, D.; Dubinsky, Z.; Iluz, D. Flashing Light in Microalgae Biotechnology. Bioresour. Technol. 2016, 203, 357–363. [Google Scholar] [CrossRef]





): Thylakoid membranes, arrow (⇧): Carboxysome, star (∗): Glycogen granules; Scale bar 2 μm.
): Thylakoid membranes, arrow (⇧): Carboxysome, star (∗): Glycogen granules; Scale bar 2 μm.

| Strain | Effect of Continuous Illumination | Reference |
|---|---|---|
| Synechocystis PCC 6714 | No significant difference in PHB accumulation between continuous illumination and day/night cycle light regimes | [21] |
| Synechocystis PCC 6803 | Higher PHB content under day/night cycles compared to continuous illumination | [20] |
| Synechocystis PCC 6803 | No significant difference between continuous and alternating illumination | [22] |
| Synechocystis PCC 6803 | 4.5% PHB at day/night cycles compared to 2.4% PHB at continuous illumination | [23] |
| Desmonostoc muscorum (formerly Nostoc muscorum) | Higher PHB content at day/night illumination (7.63%) compared to 3.31% with continuous illumination | [24] |
| Strain | Light | Dead Cells (%) |
|---|---|---|
| Syn.192 | Cont. | 20.61 ± 0.88 |
| D/N | 14.62 ± 1.77 | |
| Syn.6803 | Cont. | 24.38 ± 0.20 |
| D/N | 14.46 ± 2.51 |
Disclaimer/Publisher’s Note: The statements, opinions and data contained in all publications are solely those of the individual author(s) and contributor(s) and not of MDPI and/or the editor(s). MDPI and/or the editor(s) disclaim responsibility for any injury to people or property resulting from any ideas, methods, instructions or products referred to in the content. |
© 2024 by the authors. Licensee MDPI, Basel, Switzerland. This article is an open access article distributed under the terms and conditions of the Creative Commons Attribution (CC BY) license (https://creativecommons.org/licenses/by/4.0/).
Share and Cite
Fleischhacker-Daffert, C.; Zerobin, A.; Hummel, F.; Slaninova, E.; Kroupová, Z.; Obruca, S.; Mrazova, K.; Hrubanova, K.; Krzyzanek, V.; Nebesarova, J.; et al. A Comparison of the Effects of Continuous Illumination and Day/Night Regimes on PHB Accumulation in Synechocystis Cells. Life 2024, 14, 907. https://doi.org/10.3390/life14070907
Fleischhacker-Daffert C, Zerobin A, Hummel F, Slaninova E, Kroupová Z, Obruca S, Mrazova K, Hrubanova K, Krzyzanek V, Nebesarova J, et al. A Comparison of the Effects of Continuous Illumination and Day/Night Regimes on PHB Accumulation in Synechocystis Cells. Life. 2024; 14(7):907. https://doi.org/10.3390/life14070907
Chicago/Turabian StyleFleischhacker-Daffert, Christina, Antonia Zerobin, Ferdinand Hummel, Eva Slaninova, Zuzana Kroupová, Stanislav Obruca, Katerina Mrazova, Kamila Hrubanova, Vladislav Krzyzanek, Jana Nebesarova, and et al. 2024. "A Comparison of the Effects of Continuous Illumination and Day/Night Regimes on PHB Accumulation in Synechocystis Cells" Life 14, no. 7: 907. https://doi.org/10.3390/life14070907
APA StyleFleischhacker-Daffert, C., Zerobin, A., Hummel, F., Slaninova, E., Kroupová, Z., Obruca, S., Mrazova, K., Hrubanova, K., Krzyzanek, V., Nebesarova, J., Ludwig, K., & Fritz, I. (2024). A Comparison of the Effects of Continuous Illumination and Day/Night Regimes on PHB Accumulation in Synechocystis Cells. Life, 14(7), 907. https://doi.org/10.3390/life14070907

