Algorithm-Based Modular Psychotherapy Alleviates Brain Inflammation in Generalized Anxiety Disorder
Abstract
1. Introduction
2. Materials and Methods
2.1. Study Design
2.2. Participants
2.3. Clinical Assessment
2.4. Interventions
2.5. Magnetic Resonance Imaging (MRI)
2.6. Data Analysis
3. Results
3.1. Clinical Symptoms
3.2. MRI Markers of Neuroinflammation
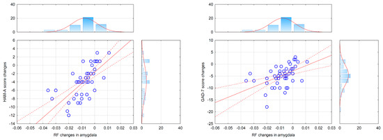
3.3. Correlations between Changes in Clinical Symptoms and Inflammatory Markers
3.4. Effects of Sex
4. Discussion
5. Conclusions
Author Contributions
Funding
Institutional Review Board Statement
Informed Consent Statement
Data Availability Statement
Acknowledgments
Conflicts of Interest
References
- Association, A.P. Diagnostic and Statistical Manual of Mental Disorders, 5th ed.; American Psychiatric Press: Washington, DC, USA, 2013. [Google Scholar]
- Kessler, R.C.; Avenevoli, S.; Costello, J.; Green, J.G.; Gruber, M.J.; McLaughlin, K.A.; Petukhova, M.; Sampson, N.A.; Zaslavsky, A.M.; Merikangas, K.R. Severity of 12-month DSM-IV disorders in the National Comorbidity Survey Replication Adolescent Supplement. Arch. Gen. Psychiatry 2012, 69, 381–389. [Google Scholar] [CrossRef] [PubMed]
- Wittchen, H.U.; Hoyer, J. Generalized anxiety disorder: Nature and course. J. Clin. Psychiatry 2001, 62 (Suppl. 11), 15–19, discussion 20–11. [Google Scholar]
- Yonkers, K.A.; Warshaw, M.G.; Massion, A.O.; Keller, M.B. Phenomenology and course of generalised anxiety disorder. Br. J. Psychiatry 1996, 168, 308–313. [Google Scholar] [CrossRef]
- Strawn, J.R.; Geracioti, L.; Rajdev, N.; Clemenza, K.; Levine, A.A. Pharmacotherapy for generalized anxiety disorder in adult and pediatric patients: An evidence-based treatment review. Expert Opin. Pharmacother. 2018, 19, 1057–1070. [Google Scholar] [CrossRef]
- Baldwin, D.S.; Ajel, K.I.; Garner, M. Pharmacological treatment of generalized anxiety disorder. Curr. Top. Behav. Neurosci. 2010, 2, 453–467. [Google Scholar] [CrossRef]
- Kong, W.; Deng, H.-w.; Wan, J.-q.; Zhou, Y.; Zhou, Y.; Song, B.; Wang, X. Comparative Remission Rates and Tolerability of Drugs for Generalised Anxiety Disorder: A Systematic Review and Network Meta-analysis of Double-Blind Randomized Controlled Trials. Front. Pharmacol. 2020, 11, 580858. [Google Scholar] [CrossRef]
- Bhattacharya, S.; Goicoechea, C.; Heshmati, S.; Carpenter, J.K.; Hofmann, S.G. Efficacy of Cognitive Behavioral Therapy for Anxiety-Related Disorders: A Meta-Analysis of Recent Literature. Curr. Psychiatry Rep. 2023, 25, 19–30. [Google Scholar] [CrossRef]
- Cuijpers, P.; Cristea, I.A.; Karyotaki, E.; Reijnders, M.; Huibers, M.J. How effective are cognitive behavior therapies for major depression and anxiety disorders? A meta-analytic update of the evidence. World Psychiatry 2016, 15, 245–258. [Google Scholar] [CrossRef] [PubMed]
- Papola, D.; Miguel, C.; Mazzaglia, M.; Franco, P.; Tedeschi, F.; Romero, S.A.; Patel, A.R.; Ostuzzi, G.; Gastaldon, C.; Karyotaki, E.; et al. Psychotherapies for Generalized Anxiety Disorder in Adults: A Systematic Review and Network Meta-Analysis of Randomized Clinical Trials. JAMA Psychiatry 2024, 81, 250–259. [Google Scholar] [CrossRef] [PubMed]
- Renna, M.E.; O’Toole, M.S.; Spaeth, P.E.; Lekander, M.; Mennin, D.S. The association between anxiety, traumatic stress, and obsessive-compulsive disorders and chronic inflammation: A systematic review and meta-analysis. Depress Anxiety 2018, 35, 1081–1094. [Google Scholar] [CrossRef]
- Milaneschi, Y.; Kappelmann, N.; Ye, Z.; Lamers, F.; Moser, S.; Jones, P.B.; Burgess, S.; Penninx, B.; Khandaker, G.M. Association of inflammation with depression and anxiety: Evidence for symptom-specificity and potential causality from UK Biobank and NESDA cohorts. Mol. Psychiatry 2021, 26, 7393–7402. [Google Scholar] [CrossRef] [PubMed]
- Michopoulos, V.; Powers, A.; Gillespie, C.F.; Ressler, K.J.; Jovanovic, T. Inflammation in Fear- and Anxiety-Based Disorders: PTSD, GAD, and Beyond. Neuropsychopharmacology 2017, 42, 254–270. [Google Scholar] [CrossRef] [PubMed]
- Glaus, J.; von Känel, R.; Lasserre, A.M.; Strippoli, M.F.; Vandeleur, C.L.; Castelao, E.; Gholam-Rezaee, M.; Marangoni, C.; Wagner, E.N.; Marques-Vidal, P.; et al. The bidirectional relationship between anxiety disorders and circulating levels of inflammatory markers: Results from a large longitudinal population-based study. Depress. Anxiety 2018, 35, 360–371. [Google Scholar] [CrossRef] [PubMed]
- Costello, H.; Gould, R.L.; Abrol, E.; Howard, R. Systematic review and meta-analysis of the association between peripheral inflammatory cytokines and generalised anxiety disorder. BMJ Open 2019, 9, e027925. [Google Scholar] [CrossRef] [PubMed]
- Miller, A.H.; Raison, C.L. The role of inflammation in depression: From evolutionary imperative to modern treatment target. Nat. Rev. Immunol. 2016, 16, 22–34. [Google Scholar] [CrossRef] [PubMed]
- Rosenblat, J.D.; Cha, D.S.; Mansur, R.B.; McIntyre, R.S. Inflamed moods: A review of the interactions between inflammation and mood disorders. Prog. Neuropsychopharmacol. Biol. Psychiatry 2014, 53, 23–34. [Google Scholar] [CrossRef] [PubMed]
- Fries, G.R.; Saldana, V.A.; Finnstein, J.; Rein, T. Molecular pathways of major depressive disorder converge on the synapse. Mol. Psychiatry 2023, 28, 284–297. [Google Scholar] [CrossRef] [PubMed]
- Valiati, F.E.; Feiten, J.G.; Géa, L.P.; Silveira Júnior, É.M.; Scotton, E.; Caldieraro, M.A.; Salum, G.A.; Kauer-Sant’Anna, M. Inflammation and damage-associated molecular patterns in major psychiatric disorders. Trends Psychiatry Psychother. 2023, 45, e20220576. [Google Scholar] [CrossRef] [PubMed]
- Goldsmith, D.R.; Bekhbat, M.; Mehta, N.D.; Felger, J.C. Inflammation-Related Functional and Structural Dysconnectivity as a Pathway to Psychopathology. Biol. Psychiatry 2023, 93, 405–418. [Google Scholar] [CrossRef]
- Bourgognon, J.-M.; Cavanagh, J. The role of cytokines in modulating learning and memory and brain plasticity. Brain Neurosci. Adv. 2020, 4, 2398212820979802. [Google Scholar] [CrossRef]
- Tang, Z.; Ye, G.; Chen, X.; Pan, M.; Fu, J.; Fu, T.; Liu, Q.; Gao, Z.; Baldwin, D.S.; Hou, R. Peripheral proinflammatory cytokines in Chinese patients with generalised anxiety disorder. J. Affect. Disord. 2018, 225, 593–598. [Google Scholar] [CrossRef] [PubMed]
- Felger, J.C.; Treadway, M.T. Inflammation Effects on Motivation and Motor Activity: Role of Dopamine. Neuropsychopharmacology 2017, 42, 216–241. [Google Scholar] [CrossRef]
- Izquierdo, I.; Furini, C.R.; Myskiw, J.C. Fear Memory. Physiol. Rev. 2016, 96, 695–750. [Google Scholar] [CrossRef] [PubMed]
- Lai, C.H. Task MRI-Based Functional Brain Network of Anxiety. Adv. Exp. Med. Biol. 2020, 1191, 3–20. [Google Scholar] [CrossRef]
- Rezaei, S.; Gharepapagh, E.; Rashidi, F.; Cattarinussi, G.; Sanjari Moghaddam, H.; Di Camillo, F.; Schiena, G.; Sambataro, F.; Brambilla, P.; Delvecchio, G. Machine learning applied to functional magnetic resonance imaging in anxiety disorders. J. Affect. Disord. 2023, 342, 54–62. [Google Scholar] [CrossRef]
- Sangha, S.; Diehl, M.M.; Bergstrom, H.C.; Drew, M.R. Know safety, no fear. Neurosci. Biobehav. Rev. 2020, 108, 218–230. [Google Scholar] [CrossRef] [PubMed]
- Taschereau-Dumouchel, V.; Michel, M.; Lau, H.; Hofmann, S.G.; LeDoux, J.E. Putting the “mental” back in “mental disorders”: A perspective from research on fear and anxiety. Mol. Psychiatry 2022, 27, 1322–1330. [Google Scholar] [CrossRef]
- Rauch, S.L.; Shin, L.M.; Wright, C.I. Neuroimaging studies of amygdala function in anxiety disorders. Ann. N. Y. Acad Sci. 2003, 985, 389–410. [Google Scholar] [CrossRef]
- McEwen, B.S. Glucocorticoids, depression, and mood disorders: Structural remodeling in the brain. Metabolism 2005, 54, 20–23. [Google Scholar] [CrossRef]
- Kolesar, T.A.; Bilevicius, E.; Wilson, A.D.; Kornelsen, J. Systematic review and meta-analyses of neural structural and functional differences in generalized anxiety disorder and healthy controls using magnetic resonance imaging. NeuroImage Clin. 2019, 24, 102016. [Google Scholar] [CrossRef]
- Ortiz, S.; Latsko, M.S.; Fouty, J.L.; Dutta, S.; Adkins, J.M.; Jasnow, A.M. Anterior Cingulate Cortex and Ventral Hippocampal Inputs to the Basolateral Amygdala Selectively Control Generalized Fear. J. Neurosci. 2019, 39, 6526–6539. [Google Scholar] [CrossRef] [PubMed]
- Irle, E.; Ruhleder, M.; Lange, C.; Seidler-Brandler, U.; Salzer, S.; Dechent, P.; Weniger, G.; Leibing, E.; Leichsenring, F. Reduced amygdalar and hippocampal size in adults with generalized social phobia. J. Psychiatry Neurosci. 2010, 35, 126–131. [Google Scholar] [CrossRef] [PubMed]
- Felger, J.C. Imaging the Role of Inflammation in Mood and Anxiety-related Disorders. Curr. Neuropharmacol. 2018, 16, 533–558. [Google Scholar] [CrossRef]
- Yirmiya, R.; Goshen, I. Immune modulation of learning, memory, neural plasticity and neurogenesis. Brain Behav. Immun. 2011, 25, 181–213. [Google Scholar] [CrossRef]
- Zhang, W.; Rutlin, J.; Eisenstein, S.A.; Wang, Y.; Barch, D.M.; Hershey, T.; Bogdan, R.; Bijsterbosch, J.D. Neuroinflammation in the Amygdala Is Associated With Recent Depressive Symptoms. Biol. Psychiatry Cogn. Neurosci. Neuroimaging 2023, 8, 967–975. [Google Scholar] [CrossRef]
- Chen, J.; Song, Y.; Yang, J.; Zhang, Y.; Zhao, P.; Zhu, X.J.; Su, H.C. The contribution of TNF-α in the amygdala to anxiety in mice with persistent inflammatory pain. Neurosci. Lett. 2013, 541, 275–280. [Google Scholar] [CrossRef] [PubMed]
- Zheng, Z.H.; Tu, J.L.; Li, X.H.; Hua, Q.; Liu, W.Z.; Liu, Y.; Pan, B.X.; Hu, P.; Zhang, W.H. Neuroinflammation induces anxiety- and depressive-like behavior by modulating neuronal plasticity in the basolateral amygdala. Brain Behav. Immun. 2021, 91, 505–518. [Google Scholar] [CrossRef]
- Mehta, N.D.; Haroon, E.; Xu, X.; Woolwine, B.J.; Li, Z.; Felger, J.C. Inflammation negatively correlates with amygdala-ventromedial prefrontal functional connectivity in association with anxiety in patients with depression: Preliminary results. Brain Behav. Immun. 2018, 73, 725–730. [Google Scholar] [CrossRef]
- Munshi, S.; Loh, M.K.; Ferrara, N.; DeJoseph, M.R.; Ritger, A.; Padival, M.; Record, M.J.; Urban, J.H.; Rosenkranz, J.A. Repeated stress induces a pro-inflammatory state, increases amygdala neuronal and microglial activation, and causes anxiety in adult male rats. Brain Behav. Immun. 2020, 84, 180–199. [Google Scholar] [CrossRef]
- Yang, L.; Wang, M.; Guo, Y.Y.; Sun, T.; Li, Y.J.; Yang, Q.; Zhang, K.; Liu, S.B.; Zhao, M.G.; Wu, Y.M. Systemic inflammation induces anxiety disorder through CXCL12/CXCR4 pathway. Brain Behav. Immun. 2016, 56, 352–362. [Google Scholar] [CrossRef]
- Matsuura, S.; Nishimoto, Y.; Endo, A.; Shiraki, H.; Suzuki, K.; Segi-Nishida, E. Hippocampal Inflammation and Gene Expression Changes in Peripheral Lipopolysaccharide Challenged Mice Showing Sickness and Anxiety-Like Behaviors. Biol. Pharm. Bull. 2023, 46, 1176–1183. [Google Scholar] [CrossRef] [PubMed]
- Herpertz, S.C.; Schramm, E. Modulare Psychotherapie: Ein Mechanismus—Basiertes, Personalisiertes Vorgehen; Schattauer: Stuttgart, Germany, 2022. [Google Scholar]
- Huibers, M.J.H.; Lorenzo-Luaces, L.; Cuijpers, P.; Kazantzis, N. On the Road to Personalized Psychotherapy: A Research Agenda Based on Cognitive Behavior Therapy for Depression. Front. Psychiatry 2020, 11, 607508. [Google Scholar] [CrossRef] [PubMed]
- Purgato, M.; Singh, R.; Acarturk, C.; Cuijpers, P. Moving beyond a ‘one-size-fits-all’ rationale in global mental health: Prospects of a precision psychology paradigm. Epidemiol. Psychiatr. Sci. 2021, 30, e63. [Google Scholar] [CrossRef] [PubMed]
- Schramm, E.; Elsaesser, M.; Jenkner, C.; Hautzinger, M.; Herpertz, S.C. Algorithm-based modular psychotherapy vs. cognitive-behavioral therapy for patients with depression, psychiatric comorbidities and early trauma: A proof-of-concept randomized controlled trial. World Psychiatry 2024, 23, 257–266. [Google Scholar] [CrossRef] [PubMed]
- Vøllestad, J.; Nielsen, M.B.; Nielsen, G.H. Mindfulness- and acceptance-based interventions for anxiety disorders: A systematic review and meta-analysis. Br. J. Clin. Psychol. 2012, 51, 239–260. [Google Scholar] [CrossRef] [PubMed]
- Timulak, L.; McElvaney, J. Emotion-Focused Therapy for Generalized Anxiety Disorder: An Overview of the Model. J. Contemp. Psychother. 2016, 46, 41–52. [Google Scholar] [CrossRef]
- Ballesio, A.; Zagaria, A.; Vacca, M.; Pariante, C.M.; Lombardo, C. Comparative efficacy of psychological interventions on immune biomarkers: A systematic review and network meta-analysis (NMA). Brain Behav. Immun. 2023, 111, 424–435. [Google Scholar] [CrossRef] [PubMed]
- Black, D.S.; Slavich, G.M. Mindfulness meditation and the immune system: A systematic review of randomized controlled trials. Ann. N. Y. Acad. Sci. 2016, 1373, 13–24. [Google Scholar] [CrossRef] [PubMed]
- Ma, H.; Xu, J.; Li, R.; McIntyre, R.S.; Teopiz, K.M.; Cao, B.; Yang, F. The Impact of Cognitive Behavioral Therapy on Peripheral Interleukin-6 Levels in Depression: A Systematic Review and Meta-Analysis. Front. Psychiatry 2022, 13, 844176. [Google Scholar] [CrossRef]
- O’Toole, M.S.; Bovbjerg, D.H.; Renna, M.E.; Lekander, M.; Mennin, D.S.; Zachariae, R. Effects of psychological interventions on systemic levels of inflammatory biomarkers in humans: A systematic review and meta-analysis. Brain Behav. Immun. 2018, 74, 68–78. [Google Scholar] [CrossRef]
- Sanada, K.; Montero-Marin, J.; Barceló-Soler, A.; Ikuse, D.; Ota, M.; Hirata, A.; Yoshizawa, A.; Hatanaka, R.; Valero, M.S.; Demarzo, M.; et al. Effects of Mindfulness-Based Interventions on Biomarkers and Low-Grade Inflammation in Patients with Psychiatric Disorders: A Meta-Analytic Review. Int. J. Mol. Sci. 2020, 21, 2484. [Google Scholar] [CrossRef] [PubMed]
- Gandarela, L.; Sampaio, T.P.D.A.; Marçal, L.; Burdmann, E.A.; Neto, F.L.; Bernik, M.A. Inflammatory markers changes following acceptance-based behavioral psychotherapy in generalized anxiety disorder patients: Evidence from a randomized controlled trial. Brain Behav. Immun. Health 2024, 38, 100779. [Google Scholar] [CrossRef] [PubMed]
- Grasmann, J.; Almenräder, F.; Voracek, M.; Tran, U.S. Only Small Effects of Mindfulness-Based Interventions on Biomarker Levels of Inflammation and Stress: A Preregistered Systematic Review and Two Three-Level Meta-Analyses. Int. J. Mol. Sci. 2023, 24, 4445. [Google Scholar] [CrossRef] [PubMed]
- Memon, A.A.; Sundquist, K.; Ahmad, A.; Wang, X.; Hedelius, A.; Sundquist, J. Role of IL-8, CRP and epidermal growth factor in depression and anxiety patients treated with mindfulness-based therapy or cognitive behavioral therapy in primary health care. Psychiatry Res. 2017, 254, 311–316. [Google Scholar] [CrossRef] [PubMed]
- Kéri, S.; Szabó, C.; Kelemen, O. Expression of Toll-Like Receptors in peripheral blood mononuclear cells and response to cognitive-behavioral therapy in major depressive disorder. Brain Behav. Immun. 2014, 40, 235–243. [Google Scholar] [CrossRef] [PubMed]
- Wang, Y.; Wang, Q.; Haldar, J.P.; Yeh, F.C.; Xie, M.; Sun, P.; Tu, T.W.; Trinkaus, K.; Klein, R.S.; Cross, A.H.; et al. Quantification of increased cellularity during inflammatory demyelination. Brain 2011, 134, 3590–3601. [Google Scholar] [CrossRef] [PubMed]
- Cross, A.H.; Song, S.K. A new imaging modality to non-invasively assess multiple sclerosis pathology. J. Neuroimmunol. 2017, 304, 81–85. [Google Scholar] [CrossRef] [PubMed]
- Samara, A.; Murphy, T.; Strain, J.; Rutlin, J.; Sun, P.; Neyman, O.; Sreevalsan, N.; Shimony, J.S.; Ances, B.M.; Song, S.K.; et al. Neuroinflammation and White Matter Alterations in Obesity Assessed by Diffusion Basis Spectrum Imaging. Front. Hum. Neurosci. 2019, 13, 464. [Google Scholar] [CrossRef] [PubMed]
- Wang, Q.; Wang, Y.; Liu, J.; Sutphen, C.L.; Cruchaga, C.; Blazey, T.; Gordon, B.A.; Su, Y.; Chen, C.; Shimony, J.S.; et al. Quantification of white matter cellularity and damage in preclinical and early symptomatic Alzheimer’s disease. Neuroimage Clin. 2019, 22, 101767. [Google Scholar] [CrossRef]
- Kéri, S.; Kelemen, O. Signatures of neuroinflammation in the hippocampus and amygdala in individuals with religious or spiritual problem. In Religion Brain and Behavior; Taylor & Francis: Abingdon, UK, 2024; pp. 1–13. [Google Scholar] [CrossRef]
- Narvaez Linares, N.F.; Charron, V.; Ouimet, A.J.; Labelle, P.R.; Plamondon, H. A systematic review of the Trier Social Stress Test methodology: Issues in promoting study comparison and replicable research. Neurobiol. Stress 2020, 13, 100235. [Google Scholar] [CrossRef]
- First, M.B.; Williams, J.B.W.; Karg, R.S.; Spitzer, R.L. Structured Clinical Interview for DSM-5 Disorders—Clinician Version (SCID-5-CV); American Psychiatric Association Publishing: Washington, DC, USA, 2016. [Google Scholar]
- Maier, W.; Buller, R.; Philipp, M.; Heuser, I. The Hamilton Anxiety Scale: Reliability, validity and sensitivity to change in anxiety and depressive disorders. J. Affect. Disord. 1988, 14, 61–68. [Google Scholar] [CrossRef]
- Spitzer, R.L.; Kroenke, K.; Williams, J.B.; Löwe, B. A brief measure for assessing generalized anxiety disorder: The GAD-7. Arch. Intern. Med. 2006, 166, 1092–1097. [Google Scholar] [CrossRef]
- Wang, Y.P.; Gorenstein, C. Psychometric properties of the Beck Depression Inventory-II: A comprehensive review. Braz. J. Psychiatry 2013, 35, 416–431. [Google Scholar] [CrossRef] [PubMed]
- Robichaud, M.; Koerner, N.; Dugas, M.J. Cognitive Behavioral Treatment for Generalized Anxiety Disorder; Taylor & Francis: Oxfordshire, UK, 2019. [Google Scholar]
- McCown, D.; Reibel, D.; Micozzi, M.S. Teaching Mindfulness. A Practical Guide for Clinicians and Educators; Springer: New York, NY, USA, 2011. [Google Scholar]
- Segal, Z.; Williams, M.; Teasdale, J. Mindfulness-Based Cognitive Therapy for Depression; Guilford: New York, NY, USA, 2018. [Google Scholar]
- Yager, J.; Feinstein, R.E. Potential Applications of the National Institute of Mental Health’s Research Domain Criteria (RDoC) to Clinical Psychiatric Practice: How RDoC Might Be Used in Assessment, Diagnostic Processes, Case Formulation, Treatment Planning, and Clinical Notes. J. Clin. Psychiatry 2017, 78, 423–432. [Google Scholar] [CrossRef]
- Alfaro-Almagro, F.; Jenkinson, M.; Bangerter, N.K.; Andersson, J.L.R.; Griffanti, L.; Douaud, G.; Sotiropoulos, S.N.; Jbabdi, S.; Hernandez-Fernandez, M.; Vallee, E.; et al. Image processing and Quality Control for the first 10,000 brain imaging datasets from UK Biobank. Neuroimage 2018, 166, 400–424. [Google Scholar] [CrossRef] [PubMed]
- Miller, K.L.; Alfaro-Almagro, F.; Bangerter, N.K.; Thomas, D.L.; Yacoub, E.; Xu, J.; Bartsch, A.J.; Jbabdi, S.; Sotiropoulos, S.N.; Andersson, J.L.; et al. Multimodal population brain imaging in the UK Biobank prospective epidemiological study. Nat. Neurosci. 2016, 19, 1523–1536. [Google Scholar] [CrossRef]
- Fischl, B. FreeSurfer. NeuroImage 2012, 62, 774–781. [Google Scholar] [CrossRef] [PubMed]
- Fischl, B.; Salat, D.H.; Busa, E.; Albert, M.; Dieterich, M.; Haselgrove, C.; van der Kouwe, A.; Killiany, R.; Kennedy, D.; Klaveness, S.; et al. Whole brain segmentation: Automated labeling of neuroanatomical structures in the human brain. Neuron 2002, 33, 341–355. [Google Scholar] [CrossRef] [PubMed]
- Jenkinson, M.; Beckmann, C.F.; Behrens, T.E.J.; Woolrich, M.W.; Smith, S.M. FSL. NeuroImage 2012, 62, 782–790. [Google Scholar] [CrossRef]
- Zhang, Y.; Brady, M.; Smith, S. Segmentation of brain MR images through a hidden Markov random field model and the expectation-maximization algorithm. IEEE Trans. Med. Imaging 2001, 20, 45–57. [Google Scholar] [CrossRef]
- Eysenck, H.J. The effects of psychotherapy: An evaluation. 1952. J. Consult. Clin. Psychol. 1992, 60, 659–663. [Google Scholar] [CrossRef] [PubMed]
- Cuijpers, P.; Karyotaki, E.; Reijnders, M.; Ebert, D.D. Was Eysenck right after all? A reassessment of the effects of psychotherapy for adult depression. Epidemiol. Psychiatr. Sci. 2019, 28, 21–30. [Google Scholar] [CrossRef] [PubMed]
- Munder, T.; Flückiger, C.; Leichsenring, F.; Abbass, A.A.; Hilsenroth, M.J.; Luyten, P.; Rabung, S.; Steinert, C.; Wampold, B.E. Is psychotherapy effective? A re-analysis of treatments for depression. Epidemiol. Psychiatr. Sci. 2019, 28, 268–274. [Google Scholar] [CrossRef] [PubMed]
- Dillon, D.G.; Rosso, I.M.; Pechtel, P.; Killgore, W.D.; Rauch, S.L.; Pizzagalli, D.A. Peril and pleasure: An rdoc-inspired examination of threat responses and reward processing in anxiety and depression. Depress. Anxiety 2014, 31, 233–249. [Google Scholar] [CrossRef] [PubMed]
- Lang, P.J.; McTeague, L.M.; Bradley, M.M. RDoC, DSM, and the reflex physiology of fear: A biodimensional analysis of the anxiety disorders spectrum. Psychophysiology 2016, 53, 336–347. [Google Scholar] [CrossRef]
- Frank, B.; Jacobson, N.C.; Hurley, L.; McKay, D. A theoretical and empirical modeling of anxiety integrated with RDoC and temporal dynamics. J. Anxiety Disord. 2017, 51, 39–46. [Google Scholar] [CrossRef] [PubMed]
- Cuthbert, B.N. The role of RDoC in future classification of mental disorders. Dialogues Clin. Neurosci. 2020, 22, 81–85. [Google Scholar] [CrossRef] [PubMed]
- Nusslock, R.; Walden, K.; Harmon-Jones, E. Asymmetrical frontal cortical activity associated with differential risk for mood and anxiety disorder symptoms: An RDoC perspective. Int. J. Psychophysiol. 2015, 98, 249–261. [Google Scholar] [CrossRef]
- Li, H.; Sagar, A.P.; Kéri, S. Translocator protein (18kDa TSPO) binding, a marker of microglia, is reduced in major depression during cognitive-behavioral therapy. Prog. Neuropsychopharmacol. Biol. Psychiatry 2018, 83, 1–7. [Google Scholar] [CrossRef]


| GAD (n = 50) | Healthy Controls (n = 50) | |||
|---|---|---|---|---|
| Age (years) | 39.9 (11.6) | 39.6 (12.4) | ||
| Education (years) | 11.5 (3.5) | 12.1 (3.2) | ||
| Sex (male/female) | 21/29 | 21/29 | ||
| Smoking (smokers/non-smokers) | 17/33 | 17/33 | ||
| Alcohol consumption (units/week) | 8.3 (5.8) | 9.4 (5.4) | ||
| Body mass index (BMI) | 28.5 (9.1) | 26.8 (8.8) | ||
| Before and after MoBa | Before | After | Before | After |
| BDI-II | 10.4 (6.0) | 8.0 (4.7) * | - | - |
| HAM-A | 23.2 (4.2) | 19.1 (5.5) * | - | - |
| GAD-7 | 14.5 (3.9) | 9.7 (5.0) * | - | - |
Disclaimer/Publisher’s Note: The statements, opinions and data contained in all publications are solely those of the individual author(s) and contributor(s) and not of MDPI and/or the editor(s). MDPI and/or the editor(s) disclaim responsibility for any injury to people or property resulting from any ideas, methods, instructions or products referred to in the content. |
© 2024 by the authors. Licensee MDPI, Basel, Switzerland. This article is an open access article distributed under the terms and conditions of the Creative Commons Attribution (CC BY) license (https://creativecommons.org/licenses/by/4.0/).
Share and Cite
Kéri, S.; Kancsev, A.; Kelemen, O. Algorithm-Based Modular Psychotherapy Alleviates Brain Inflammation in Generalized Anxiety Disorder. Life 2024, 14, 887. https://doi.org/10.3390/life14070887
Kéri S, Kancsev A, Kelemen O. Algorithm-Based Modular Psychotherapy Alleviates Brain Inflammation in Generalized Anxiety Disorder. Life. 2024; 14(7):887. https://doi.org/10.3390/life14070887
Chicago/Turabian StyleKéri, Szabolcs, Alexander Kancsev, and Oguz Kelemen. 2024. "Algorithm-Based Modular Psychotherapy Alleviates Brain Inflammation in Generalized Anxiety Disorder" Life 14, no. 7: 887. https://doi.org/10.3390/life14070887
APA StyleKéri, S., Kancsev, A., & Kelemen, O. (2024). Algorithm-Based Modular Psychotherapy Alleviates Brain Inflammation in Generalized Anxiety Disorder. Life, 14(7), 887. https://doi.org/10.3390/life14070887
