Consequences of Maternal Vitamin D Deficiency on Newborn Health
Abstract
1. Introduction
2. Materials and Methods
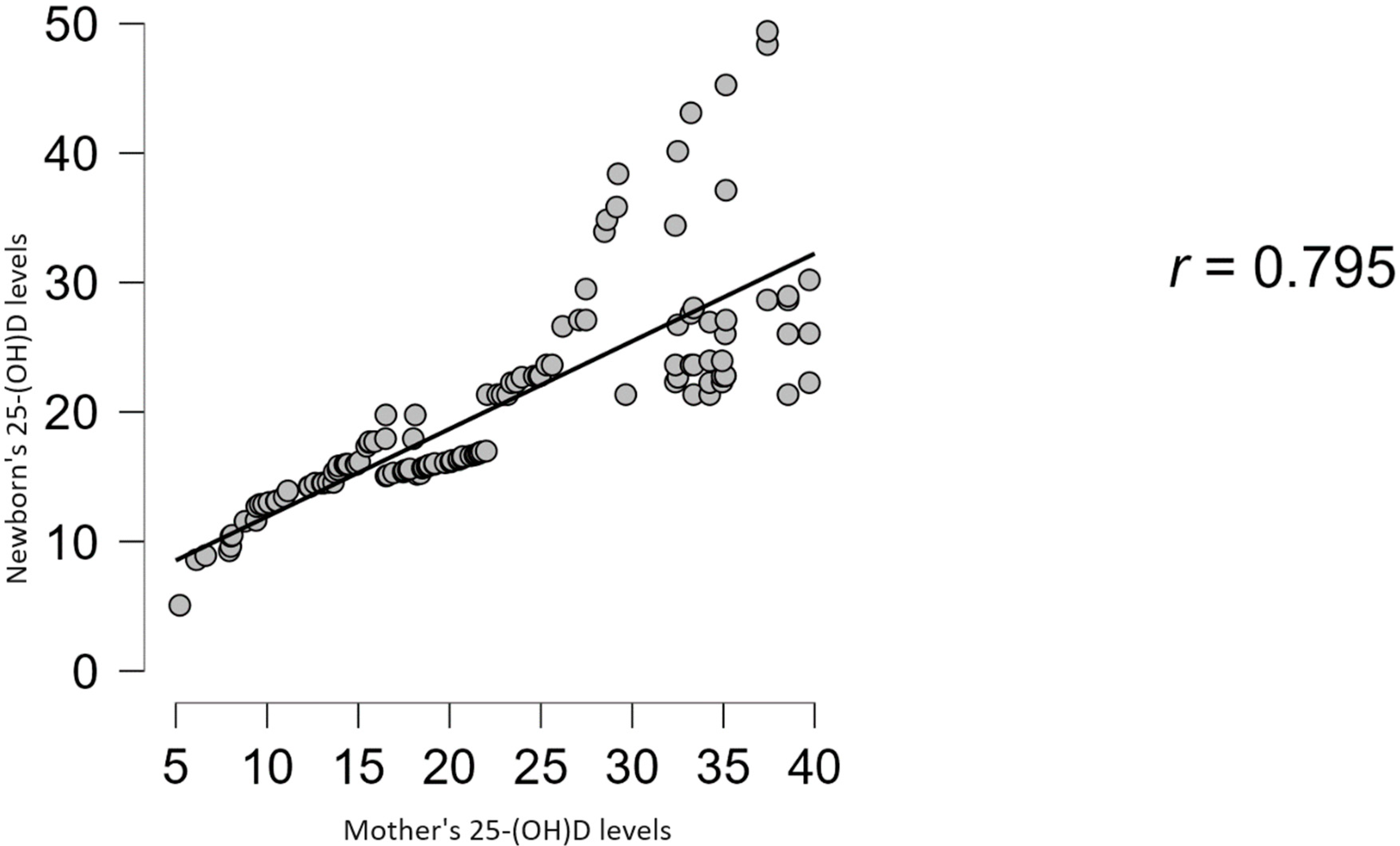
3. Results
4. Discussion
5. Conclusions
Author Contributions
Funding
Institutional Review Board Statement
Informed Consent Statement
Data Availability Statement
Conflicts of Interest
References
- Mithal, A.; Wahl, D.A.; Bonjour, J.P.; Burckhardt, P.; Dawson-Hughes, B.; Eisman, J.A.; El-Hajj Fuleihan, G.; Josse, R.G.; Lips, P.; Morales-Torres, J.; et al. Global vitamin D status and determinants of hypovitaminosis D. Osteoporos. Int. 2009, 20, 1807–1820. [Google Scholar] [CrossRef] [PubMed]
- Dasgupta, A.; Saikia, U.; Sarma, D. Status of 25(OH)D levels in pregnancy: A study from the North Eastern part of India. Indian J. Endocrinol. Metab. 2012, 16, S405–S407. [Google Scholar] [CrossRef] [PubMed]
- Specker, B.L. Does vitamin D during pregnancy impact offspring growth and bone? Proc. Nutr. Soc. 2012, 71, 38–45. [Google Scholar] [CrossRef] [PubMed]
- Amiri, M.; Rostami, M.; Sheidaei, A.; Fallahzadeh, A.; Tehrani, F.R. Mode of delivery and maternal vitamin D deficiency: An optimized intelligent Bayesian network algorithm analysis of a stratified randomized controlled field trial. Sci. Rep. 2023, 13, 8682. [Google Scholar] [CrossRef] [PubMed]
- Palacios, C.; Trak-Fellermeier, M.A.; Martinez, R.X.; Lopez-Perez, L.; Lips, P.; Salisi, J.A.; John, J.C.; Peña-Rosas, J.P. Regimens of vitamin D supplementation for women during pregnancy. Cochrane Database Syst. Rev. 2019, 10, CD013446. [Google Scholar] [CrossRef] [PubMed]
- Palmrich, P.; Thajer, A.; Schirwani, N.; Haberl, C.; Zeisler, H.; Ristl, R.; Binder, J. Longitudinal Assessment of Serum 25-Hydroxyvitamin D Levels during Pregnancy and Postpartum-Are the Current Recommendations for Supplementation Sufficient? Nutrients 2023, 15, 339. [Google Scholar] [CrossRef] [PubMed]
- Hyppönen, E.; Cavadino, A.; Williams, D.; Fraser, A.; Vereczkey, A.; Fraser, W.D.; Bánhidy, F.; Lawlor, D.; Czeizel, A.E. Vitamin D and pre-eclampsia: Original data, systematic review and meta-analysis. Ann. Nutr. Metab. 2013, 63, 331–340. [Google Scholar] [CrossRef] [PubMed]
- Weinert, L.S.; Reichelt, A.J.; Schmitt, L.R.; Boff, R.; Oppermann, M.L.; Camargo, J.L.; Silveiro, S.P. Serum vitamin D insufficiency is related to blood pressure in diabetic pregnancy. Am. J. Hypertens. 2014, 27, 1316–1320. [Google Scholar] [CrossRef] [PubMed]
- Lacroix, M.; Battista, M.C.; Doyon, M.; Houde, G.; Ménard, J.; Ardilouze, J.L.; Hivert, M.F.; Perron, P. Lower vitamin D levels at first trimester are associated with higher risk of developing gestational diabetes mellitus. Acta Diabetol. 2014, 51, 609–616. [Google Scholar] [CrossRef]
- Ota, K.; Dambaeva, S.; Han, A.R.; Beaman, K.; Gilman-Sachs, A.; Kwak-Kim, J. Vitamin D deficiency may be a risk factor for recurrent pregnancy losses by increasing cellular immunity and autoimmunity. Hum. Reprod. 2014, 29, 208–219. [Google Scholar] [CrossRef]
- Pérez-López, F.R.; Pasupuleti, V.; Mezones-Holguin, E.; Venites-Zapata, V.A.; Thota, P.; Deshpande, A.; Hernandez, A.V. Effect of vitamin D supplementation during pregnancy on maternal and neonatal outcomes: A systematic review and meta-analysis of randomized controlled trials. Fertil. Steril. 2015, 103, 1278–1288.e4. [Google Scholar] [CrossRef] [PubMed]
- Pérez-López, F.R.; Pilz, S.; Chedraui, P. Vitamin D supplementation during pregnancy: An overview. Curr. Opin. Obstet. Gynecol. 2020, 32, 316–321. [Google Scholar] [CrossRef] [PubMed]
- Bonte, D.C.; Iordache, O.; Petre, I.; Craina, M.; Chiriac, V.D.; Stoian, D.; Moleriu, L.C.; Sisu, A. Macroscopic Examination of Placental Vascularization with a Corrosive Agent in Pregnant Women Diagnosed with Thrombophilia. Rev. Mater. Plast. 2017, 54, 678–681. [Google Scholar] [CrossRef]
- Zhao, X.; Fang, R.; Yu, R.Q.; Chen, D.Z.; Zhao, J.; Xiao, J.P. Maternal vitamin D status in the late second trimester and the risk of severe preeclampsia in Southeastern China. Nutrients 2017, 9, 138. [Google Scholar] [CrossRef] [PubMed]
- Yadama, A.P.; Mirzakhani, H.; McElrath, T.F.; Litonjua, A.A.; Weiss, S.T. Transcriptome analysis of early pregnancy vitamin D status and spontaneous preterm birth. PLoS ONE 2020, 15, e0227193. [Google Scholar] [CrossRef] [PubMed]
- Yin, W.J.; Tao, R.X.; Hu, H.L.; Zhang, Y.; Jiang, X.M.; Zhang, M.X.; Jin, D.; Yao, M.N.; Tao, F.B.; Zhu, P. The association of vitamin D status and supplementation during pregnancy with gestational diabetes mellitus: A Chinese prospective birth cohort study. Am. J. Clin. Nutr. 2020, 111, 122–130. [Google Scholar] [CrossRef] [PubMed]
- Lima, M.S.; Pereira, M.; Castro, C.T.; Santos, D.B. Vitamin D deficiency and anemia in pregnant women: A systematic review and meta-analysis. Nutr. Rev. 2022, 80, 428–438. [Google Scholar] [CrossRef] [PubMed]
- Roth, D.E.; Leung, M.; Mesfin, E.; Qamar, H.; Watterworth, J.; Papp, E. Vitamin D supplementation during pregnancy: State of the evidence from a systematic review of randomised trials. BMJ 2017, 359, j5237. [Google Scholar] [CrossRef] [PubMed]
- Baydaa, Y.I.; Almaz, M.H.; Saeed, L. Prevalence and impact of vitamin d deficiency on maternal and fetal outcomes. J. Popul. Ther. Clin. Pharmacol. 2023, 30, 35–43. [Google Scholar]
- Bischoff-Ferrari, H.A.; Giovannucci, E.; Willett, W.C.; Dietrich, T.; Dawson-Hughes, B. Estimation of optimal serum concentrations of 25-hydroxyvitamin D for multiple health outcomes. Am. J. Clin. Nutr. 2006, 84, 18–28. [Google Scholar] [CrossRef]
- Scholl, T.O.; Chen, X. Vitamin D intake during pregnancy: Association with maternal characteristics and infant birth weight. Early Hum. Dev. 2009, 85, 231–234. [Google Scholar] [CrossRef] [PubMed]
- Pereira, S.M.; Carvalho, G.Q.; Louro, I.D.; Dos Santos, D.B.; Oliveira, A.M. Polymorphism in the vitamin D receptor gene is associated with maternal vitamin D concentration and neonatal outcomes: A Brazilian cohort study. Am. J. Hum. Biol. 2019, 31, e23250. [Google Scholar] [CrossRef]
- Holick, M.F. Vitamin D status: Measurement, interpretation, and clinical application. Ann. Epidemiol. 2009, 19, 73–78. [Google Scholar] [CrossRef] [PubMed]
- Jones, G.; Strugnell, S.A.; DeLuca, H.F. Current understanding of the molecular actions of vitamin D. Physiol. Rev. 1998, 78, 1193–1231. [Google Scholar] [CrossRef] [PubMed]
- Iordache, O.; Anastasiu, D.; Craina, M.; Moleriu, L.C.; Ionita, I.; Furau, C.; Iacob, D.; Bacean Miloicov, O.C.; Petre, I. Hereditary Thrombophilias and their Involvement in Spontaneous Abortion. In Proceedings of the 13th Conference of the Romanian-German Society of Obstetrics and Gynecology, Timişoara, Romania, 14–16 September 2017; pp. 166–170. [Google Scholar]
- Iordache, O.; Petre, I.; Craina, M.; Moleriu, R.D.; Boglut, A.; Iacob, D.; Miloicov Bacean, O.C.; Ionita, I. Thrombophilia and Pregnancy. In Proceedings of the 5th Congress of The Romanian Society of Ultrasound in Obstetrics and Gynecology, Filodiritto Editore Proceeding, Targu Mures, Romania, 20–22 April 2017; pp. 497–500. [Google Scholar]
- Mitranovici, M.I.; Chiorean, D.M.; Muresan, M.C.; Buicu, C.F.; Moraru, R.; Moraru, L.; Cotoi, T.C.; Cotoi, O.S.; Toru, H.S.; Apostol, A.; et al. Treating Preeclampsia in the COVID-19 Era: Is Allopurinol Useful as an Adjuvant Therapy? A Case Report and Review of the Literature. Stresses 2023, 3, 125–135. [Google Scholar] [CrossRef]
- Pham, T.T.M.; Huang, Y.L.; Chao, J.C.J.; Chang, J.S.; Chen, Y.C.; Wang, F.F.; Bai, C.H. Plasma 25(OH)D concentrations and gestational diabetes mellitus among pregnant women in Taiwan. Nutrients 2021, 13, 2538. [Google Scholar] [CrossRef] [PubMed]
- Amrein, K.; Scherkl, M.; Hoffmann, M.; Neuwersch-Sommeregger, S.; Kostenberger, M.; Berisha, A.T.; Martucci, G.; Pilz, S.; Malle, O. Vitamin D deficiency 2.0: An update on the current status worldwide. Eur. J. Clin. Nutr. 2020, 74, 1498–1513. [Google Scholar] [CrossRef] [PubMed]
- Zhang, W.; Stoecklin, E.; Eggersdorfer, M. A glimpse of vitamin D status in Mainland China. Nutrition 2013, 29, 953–957. [Google Scholar] [CrossRef] [PubMed]
- Roomi, M.A.; Farooq, A.; Ullah, E.; Lone, K.P. Hypovitaminosis D and its association with lifestyle factors. Pak. J. Med. Sci. 2015, 31, 1236–1240. [Google Scholar] [CrossRef]
- Ashley, B.; Simner, C.; Manousopoulou, A.; Jenkinson, C.; Hey, F.; Frost, J.M.; Rezwan, F.I.; White, C.H.; Lofthouse, E.M.; Hyde, E.; et al. Placental uptake and metabolism of 25(OH)vitamin D determine its activity within the fetoplacental unit. Elife 2022, 11, e71094. [Google Scholar] [CrossRef]
- Zhu, B.; Huang, K.; Yan, S.; Hao, J.; Zhu, P.; Chen, Y.; Ye, A.; Tao, F. VDR Variants rather than early pregnancy vitamin D concentrations are associated with the risk of gestational diabetes: The Ma’anshan Birth Cohort (MABC) study. J. Diabetes Res. 2019, 2019, 8313901. [Google Scholar] [CrossRef]
- Aghajafari, F.; Nagulesapillai, T.; Ronksley, P.E.; Tough, S.C.; O’Beirne, M.; Rabi, D.M. Association between maternal serum 25-hydroxyvitamin D level and pregnancy and neonatal outcomes: Systematic review and meta-analysis of observational studies. Bmj 2013, 346, f1169. [Google Scholar] [CrossRef]
- Dima, M.; Enatescu, I.; Craina, M.; Petre, I.; Iacob, E.R.; Iacob, D. First Neonates with Severe Acute Respiratory Syndrome Coronavirus 2 Infection in Romania Three Case Reports. Medicine 2020, 99, e21284. [Google Scholar] [CrossRef] [PubMed]
- Achkar, M.; Dodds, L.; Giguere, Y.; Forest, J.C.; Armson, B.A.; Woolcott, C.; Agellon, S.; Spencer, A.; Weiler, H.A. Vitamin D status in early pregnancy and risk of preeclampsia. Am. J. Obstet. Gynecol. 2015, 212, 511.e1–511.e7. [Google Scholar] [CrossRef]
- Turi, V.; Iurciuc, S.; Cretu, O.M.; Tit, D.M.; Bungau, S.; Apostol, A.; Moleriu, R.D.; Bustea, C.; Behl, T.; Diaconu, C.C.; et al. Arterial Function in Hypertensive Pregnant Women. Is Arterial Stiffness A Marker for the Outcomes in Pregnancy? Life Sci. 2021, 264, 118723. [Google Scholar] [CrossRef]
- Turi, V.; Dragan, S.; Iurciuc, M.; Moleriu, L.; Bungau, S.; Tit, D.M.; Toader, D.O.; Diaconu, C.C.; Behl, T.; Petre, I. Arterial Function in Healthy Pregnant Women vs. Non-Pregnant Women-A 10-Year Study. Diagnostics 2020, 10, 374. [Google Scholar] [CrossRef] [PubMed]
- Samfireag, M.; Potre, C.; Potre, O.; Moleriu, L.C.; Petre, I.; Borsi, E.; Hoinoiu, T.; Preda, M.; Popoiu, T.D.; Anghel, A. Assessment of the Particularities of Thrombophilia in the Management of Pregnant Women in the Western Part of Romania. Medicina 2023, 59, 851. [Google Scholar] [CrossRef]
- Turi, V.R.; Luca, C.T.; Gaita, D.; Iurciuc, S.; Petre, I.; Iurciuc, M.; Horvath, T.; Cozma, D. Diagnosing Arterial Stiffness in Pregnancy and Its Implications in the Cardio-Renal-Metabolic Chain. Diagnostics 2022, 12, 2221. [Google Scholar] [CrossRef] [PubMed]
- Lenders, C.M.; Feldman, H.A.; Von Scheven, E.; Merewood, A.; Sweeney, C.; Wilson, D.M.; Lee, P.D.; Abrams, S.H.; Gitelman, S.E.; Wertz, M.S.; et al. Relation of body fat indexes to vitamin D status and deficiency among obese adolescents. Am. J. Clin. Nutr. 2009, 90, 459–467. [Google Scholar] [CrossRef]
- Cheng, S.; Massaro, J.M.; Fox, C.S.; Larson, M.G.; Keyes, M.J.; McCabe, E.L.; Robins, S.J.; O’Donnell, C.J.; Hoffmann, U.; Jacques, P.F.; et al. Adiposity, cardiometabolic risk, and vitamin D status: The Framingham Heart Study. Diabetes 2010, 59, 242–248. [Google Scholar] [CrossRef]
- McKinney, K.; Breitkopf, C.R.; Berenson, A.B. Association of race, body fat and season with vitamin D status among young women: A cross-sectional study. Clin. Endocrinol. 2008, 69, 535–541. [Google Scholar] [CrossRef] [PubMed]
- Wortsman, J.; Matsuoka, L.Y.; Chen, T.C.; Lu, Z.; Holick, M.F. Decreased bioavailability of vitamin D in obesity. Am. J. Clin. Nutr. 2000, 72, 690–693. [Google Scholar] [CrossRef] [PubMed]
- Ehrenberg, H.M.; Mercer, B.M.; Catalano, P.M. The influence of obesity and diabetes on the prevalence of macrosomia. Am. J. Obstet. Gynecol. 2004, 191, 964–968. [Google Scholar] [CrossRef] [PubMed]
- Sewell, M.F.; Huston-Presley, L.; Super, D.M.; Catalano, P. Increased neonatal fat mass, not lean body mass, is associated with maternal obesity. Am. J. Obstet. Gynecol. 2006, 195, 1100–1103. [Google Scholar] [CrossRef]
- HAPO Study Cooperative Research Group 2010 Hyperglycaemia and Adverse Pregnancy Outcome (HAPO) Study: Associations with maternal body mass index. BJOG 2010, 117, 575–584.
- Oken, E. Maternal and child obesity: The causal link. Obstet. Gynecol. Clin. N. Am. 2009, 36, 361–377. [Google Scholar] [CrossRef] [PubMed]
- Costa, P.R.F.; Assis, A.M.O.; Santos, C.A.S.T.; Santos, D.B.; Pereira-Santos, M.; Pereira-Santos, M.; PereiraSantos, M. Obesity and vitamin D deficiency: A systematic review and meta-analysis. Obes. Rev. 2015, 16, 341–349. [Google Scholar]
- Milic, S.; Mikolasevic, I.; Krznaric-Zrnic, I.; Stanic, M.; Poropat, G.; Stimac, D.; Vlahovic-Palcevski, V.; Orlic, L. Nonalcoholic steatohepatitis: Emerging targeted therapies to optimize treatment options. Drug Des. Dev. Ther. 2015, 9, 4835–4845. [Google Scholar] [CrossRef] [PubMed]
- Evans, A.L.; Paggiosi, M.A.; Eastell, R.; Walsh, J.S. Bone Density, Microstructure and Strength in Obese and Normal Weight Men and Women in Younger and Older Adulthood. J. Bone Miner. Res. 2015, 30, 920–928. [Google Scholar] [CrossRef]
- Walsh, J.S.; Bowles, S.; Evans, A.L. Vitamin D in obesity. Curr. Opin. Endocrinol. Diabetes Obes. 2017, 24, 389–394. [Google Scholar] [CrossRef]
- Bodnar, L.M.; Simhan, H.N.; Powers, R.W.; Frank, M.P.; Cooperstein, E.; Roberts, J.M. High prevalence of vitamin D insufficiency in black and white pregnant women residing in the northern United States and their neonates. J. Nutr. 2007, 137, 447–452. [Google Scholar] [CrossRef] [PubMed]
- Chu, S.Y.; Kim, S.Y.; Bish, C.L. Prepregnancy obesity prevalence in the United States, 2004–2005. Matern. Child Health J. 2009, 13, 614–620. [Google Scholar] [CrossRef] [PubMed]
- Kenney Gray, T.; Lowe, W.; Lester, G.E. Vitamin D and Pregnancy: The Maternal-Fetal Metabolism of Vitamin D. Endocr. Rev. 1981, 2, 264–274. [Google Scholar] [CrossRef] [PubMed]
- Vinkhuyzen, A.A.E.; Eyles, D.W.; Burne, T.H.; Blanken, L.M.E.; Kruithof, C.J.; Verhulst, F.; Jaddoe, V.W.; Tiemeier, H.; McGrath, J.J. Gestational vitamin D deficiency and autism-related traits: The Generation R Study. Mol. Psychiatry 2016, 164, 161–167. [Google Scholar] [CrossRef] [PubMed]
- Harreiter, J.; Mendoza, L.C.; Simmons, D.; Desoye, G.; Devlieger, R.; Galjaard, S.; Damm, P.; Mathiesen, E.R.; Jensen, D.M.; Andersen, L.L.T.; et al. Vitamin D3 Supplementation in Overweight/Obese Pregnant Women: No Effects on the Maternal or Fetal Lipid Profile and Body Fat Distribution-A Secondary Analysis of the Multicentric, Randomized, Controlled Vitamin D and Lifestyle for Gestational Diabetes Prevention Trial (DALI). Nutrients 2022, 14, 3781. [Google Scholar] [CrossRef]
- Available online: https://www.safercare.vic.gov.au/clinical-guidance/neonatal/vitamin-d-deficiency-in-neonates (accessed on 24 March 2024).
- Petre, I.; Barna, F.; Gurgus, D.; Tomescu, L.C.; Apostol, A.; Petre, I.; Furau, C.; Năchescu, M.L.; Bordianu, A. Analysis of the Healthcare System in Romania: A Brief Review. Healthcare 2023, 11, 2069. [Google Scholar] [CrossRef]





| Serum Level of 25-hydroxyvitamin D | Vitamin D Status |
|---|---|
| 20–50 ng/mL | Optimal |
| 10–19 ng/mL | Mild to moderate deficiency |
| <10 ng/mL | Severe deficiency |
| Inclusion Criteria | Exclusion Criteria |
|---|---|
| Age range—pregnant women aged 16–45 years to ensure the study population is within the typical reproductive age | Pre-existing conditions—chronic kidney disease, malabsorption syndromes, or autoimmune diseases that could independently affect vitamin D status or pregnancy outcomes |
| Gestational age—the gestational age at which the birth took place was between 37 and 40 weeks | Supplementation variability |
| Residence—pregnant women who lived in the same study area to avoid regional variation in vitamin D exposure | Drug use—anticonvulsants or corticosteroids that are known to interfere with vitamin D metabolism |
| Singleton pregnancy—in order to avoid complications related to multiple pregnancies | Multiple pregnancies |
| Consistent medical records—including vitamin D status, demographic information, and obstetric history | Inconsistent medical records |
| Inclusion Criteria | Exclusion Criteria |
|---|---|
| Live births | Congenital anomalies |
| Complete medical records—including birth weight, gestational age at birth, Apgar score, and vitamin D status | Incomplete records |
| Preterm births—prematurity could confound the effects of vitamin D deficiency |
| Statistical Analysis | Mother’s Age | 25-(OH)Dvalues | BMI | GP | Newborn Weight | Apgar Score | Newborn 25-(OH)D Values | SBP | DBP | Hemoglobin | Blood Sugar |
|---|---|---|---|---|---|---|---|---|---|---|---|
| Valid data | 130 | 130 | 130 | 130 | 130 | 130 | 130 | 130 | 130 | 130 | 130 |
| Mode | 36 | 34.25 | 20.9 | 38 | 2980 | 9 | 21.34 | 117 | 70 | 11.6 | 72 |
| Median | 33 | 20.69 | 29.22 | 38 | 3135 | 9 | 16.95 | 121 | 78 | 11.6 | 76.61 |
| Mean | 32.42 | 22.43 | 29.16 | 38 | 3107.3 | 9 | 20.33 | 121.7 | 78.5 | 11.6 | 81.58 |
| Standard deviation | 6.02 | 9.38 | 5.55 | 1.94 | 544.2 | 0.9 | 7.98 | 11.4 | 9.57 | 1.45 | 20.88 |
| Standard error of the mean | 0.53 | 0.82 | 0.49 | 0.17 | 47.73 | 0.08 | 0.7 | 1 | 0.84 | 0.13 | 1.83 |
| p-value from Shapiro—Wilk | 0.015 | <0.001 | 0.08 | <0.001 | 0.06 | <0.001 | <0.001 | 0.01 | 0.04 | <0.001 | <0.001 |
| Range | 29 | 34.49 | 24.53 | 11.2 | 296 | 5 | 44.32 | 67 | 49 | 8.3 | 191 |
| Minimum | 16 | 5.2 | 18.07 | 29 | 143 | 5 | 5.07 | 88 | 56 | 6.2 | 55 |
| Maximum | 45 | 39.71 | 42.6 | 40.2 | 439 | 10 | 49.39 | 155 | 105 | 14.5 | 246 |
| Statistical Analysis | Mother’s Age (Years) | BMI (kg/m2) | GP (Weeks) | |||||||||
|---|---|---|---|---|---|---|---|---|---|---|---|---|
| Severe Deficiency | Moderate Deficiency | Light Deficiency | Optimal Vitamin D Status | Severe Deficiency | Moderate Deficiency | Light Deficiency | Optimal Vitamin D Status | Severe Deficiency | Moderate Deficiency | Light Deficiency | Optimal Vitamin D Status | |
| Valid data | 12 | 47 | 36 | 35 | 12 | 47 | 36 | 35 | 12 | 47 | 36 | 35 |
| Mode | 31 | 33 | 26 | 36 | 18.07 | 30.48 | 21.33 | 20.9 | 38 | 38 | 38 | 39 |
| Median | 31.5 | 33 | 33 | 36 | 28.21 | 30.48 | 30.23 | 26.57 | 38 | 38 | 38 | 38 |
| Mean | 31.08 | 31.92 | 32.22 | 33.77 | 27.47 | 30.39 | 29.54 | 27.68 | 37.29 | 31.31 | 37.49 | 37.95 |
| Standard deviation | 6.59 | 6.15 | 5.89 | 5.81 | 5.42 | 6.02 | 4.89 | 5.32 | 2.16 | 2.18 | 2.2 | 1.07 |
| Standard error of the mean | 1.9 | 0.89 | 0.98 | 0.98 | 1.57 | 0.88 | 0.82 | 0.89 | 0.62 | 0.32 | 0.37 | 0.18 |
| p-value from Shapiro—Wilk | 0.7 | 0.647 | 0.42 | <0.001 | 0.86 | 0.69 | 0.265 | <0.001 | <0.001 | <0.001 | <0.001 | <0.001 |
| Range | 25 | 29 | 25 | 19 | 18.65 | 24.23 | 16.95 | 20.5 | 8.6 | 10 | 11.2 | 3.7 |
| Minimum | 17 | 16 | 19 | 24 | 18.07 | 18.37 | 21.33 | 20.9 | 31 | 30 | 29 | 35.3 |
| Maximum | 42 | 45 | 44 | 43 | 36.72 | 42.6 | 38.28 | 41.4 | 39.6 | 40 | 40.2 | 39 |
| Statistical Analysis | Newborn’s Weight (Grams) | APGAR Score | Newborn’s 25-(OH)D Values (ng/mL) | |||||||||
|---|---|---|---|---|---|---|---|---|---|---|---|---|
| Severe Deficiency | Moderate Deficiency | Light Deficiency | Optimal Vitamin D Status | Severe Deficiency | Moderate Deficiency | Light Deficiency | Optimal Vitamin D Status | Severe Deficiency | Moderate Deficiency | Light Deficiency | Optimal Vitamin D Status | |
| Valid data | 5 | 19 | 50 | 56 | 5 | 19 | 50 | 56 | 5 | 19 | 50 | 56 |
| Mode | 1980 | 3100 | 3250 | 2990 | 9 | 9 | 9 | 9 | 5.07 | 12.87 | 15.97 | 21.34 |
| Median | 3100 | 3170 | 3105 | 3202.5 | 9 | 9 | 9 | 9 | 8.91 | 13.12 | 16.05 | 23.95 |
| Mean | 3140 | 3193.42 | 3070.9 | 3107.77 | 8 | 8.89 | 8.89 | 8.63 | 8.29 | 13.17 | 16.34 | 27.4 |
| Standard deviation | 843.89 | 320.79 | 440.16 | 657.79 | 1.73 | 0.99 | 0.69 | 0.93 | 1.84 | 1.59 | 1.03 | 7.17 |
| Standard error of the mean | 377.39 | 73.59 | 62.25 | 87.9 | 0.78 | 0.23 | 0.09 | 0.13 | 0.83 | 1.32 | 0.15 | 0.96 |
| p-value from Shapiro—Wilk | 0.69 | 0.88 | 0.59 | 0.036 | 0.01 | <0.001 | <0.001 | <0.001 | 0.029 | 0.018 | <0.001 | <0.001 |
| Range | 2050 | 1220 | 2080 | 2960 | 4 | 4 | 3 | 5 | 4.55 | 4.16 | 4.71 | 28.05 |
| Minimum | 1980 | 2500 | 1960 | 1430 | 5 | 6 | 7 | 5 | 5.07 | 10.4 | 15.06 | 21.34 |
| Maximum | 4030 | 3720 | 4040 | 4390 | 9 | 10 | 10 | 10 | 9.62 | 14.56 | 19.77 | 49.39 |
| Variables | W | P |
|---|---|---|
| Mother’s age | 1997.500 | 0.078 |
| BMI | 1212.000 | 0.018 |
| GP | 1939.000 | 0.138 |
| Newborn’s weight | 1587.000 | 0.694 |
| APGAR Score | 1164.500 | 0.003 |
| Newborn’s Vitamin D status | 3041.500 | <0.001 |
| SBP | 1392.500 | 0.157 |
| DBP | 1434.500 | 0.232 |
| Hemoglobin | 2651.000 | <0.001 |
| Blood sugar | 932.000 | <0.001 |
| Contingency Table | Results | ||
|---|---|---|---|
| Variables | Newborn with vitamin D deficiency | Newborns without vitamin D deficiency | p < 0.001 RR = 8.84, 95% CI ∈ (2.98; 26.25) OR = 33.39, 95% CI ∈ (9.35;119.28) |
| Mothers with vitamin D deficiency | 72 | 23 | |
| Mothers without vitamin D deficiency | 3 | 32 | |
Disclaimer/Publisher’s Note: The statements, opinions and data contained in all publications are solely those of the individual author(s) and contributor(s) and not of MDPI and/or the editor(s). MDPI and/or the editor(s) disclaim responsibility for any injury to people or property resulting from any ideas, methods, instructions or products referred to in the content. |
© 2024 by the authors. Licensee MDPI, Basel, Switzerland. This article is an open access article distributed under the terms and conditions of the Creative Commons Attribution (CC BY) license (https://creativecommons.org/licenses/by/4.0/).
Share and Cite
Dragomir, R.E.; Toader, D.O.; Gheoca Mutu, D.E.; Dogaru, I.A.; Răducu, L.; Tomescu, L.C.; Moleriu, L.C.; Bordianu, A.; Petre, I.; Stănculescu, R. Consequences of Maternal Vitamin D Deficiency on Newborn Health. Life 2024, 14, 714. https://doi.org/10.3390/life14060714
Dragomir RE, Toader DO, Gheoca Mutu DE, Dogaru IA, Răducu L, Tomescu LC, Moleriu LC, Bordianu A, Petre I, Stănculescu R. Consequences of Maternal Vitamin D Deficiency on Newborn Health. Life. 2024; 14(6):714. https://doi.org/10.3390/life14060714
Chicago/Turabian StyleDragomir, Ramona Elena, Daniela Oana Toader, Daniela Elena Gheoca Mutu, Iulian Alexandru Dogaru, Laura Răducu, Laurențiu Cezar Tomescu, Lavinia Cristina Moleriu, Anca Bordianu, Ion Petre, and Ruxandra Stănculescu. 2024. "Consequences of Maternal Vitamin D Deficiency on Newborn Health" Life 14, no. 6: 714. https://doi.org/10.3390/life14060714
APA StyleDragomir, R. E., Toader, D. O., Gheoca Mutu, D. E., Dogaru, I. A., Răducu, L., Tomescu, L. C., Moleriu, L. C., Bordianu, A., Petre, I., & Stănculescu, R. (2024). Consequences of Maternal Vitamin D Deficiency on Newborn Health. Life, 14(6), 714. https://doi.org/10.3390/life14060714

