Comparison Between Varicocelectomy and Varicocele Sclerotherapy: Results of a Single-Center Observational Study
Abstract
1. Introduction
2. Patients and Methods
2.1. Patients
2.2. Serum Hormone Measurements
2.3. Semen Analysis and Bio-Functional Sperm Parameter Evaluation
2.4. Varicocele Repair
2.5. Statistical Analysis
2.6. Ethical Approval
3. Results
3.1. Entire Population
3.2. Patients with Oligoasthenozoospermia or Oligoasthenoteratozoospermia
4. Discussion
5. Conclusions
Author Contributions
Funding
Institutional Review Board Statement
Informed Consent Statement
Data Availability Statement
Conflicts of Interest
References
- Jensen, C.F.S.; Ostergren, P.; Dupree, J.M.; Ohl, D.A.; Sonksen, J.; Fode, M. Varicocele and male infertility. Nat. Rev. Urol. 2017, 14, 523–533. [Google Scholar] [CrossRef] [PubMed]
- Thonneau, P.; Marchand, S.; Tallec, A.; Ferial, M.L.; Ducot, B.; Lansac, J.; Lopes, P.; Tabaste, J.-M.; Spira, A. Incidence and main causes of infertility in a resident population (1,850,000) of three French regions (1988–1989). Hum. Reprod. 1991, 6, 811–816. [Google Scholar] [CrossRef] [PubMed]
- Gat, Y.; Bachar, G.N.; Zukerman, Z.; Belenky, A.; Gornish, M. Varicocele: A bilateral disease. Fertil. Steril. 2004, 81, 424–429. [Google Scholar] [CrossRef]
- Clarke, B.G. Incidence of varicocele in normal men and among men of different ages. JAMA 1966, 198, 1121–1122. [Google Scholar] [CrossRef] [PubMed]
- Johnson, D.E.; Pohl, D.R.; Rivera-Correa, H. Varicocele: An innocuous condition? South. Med. J. 1970, 63, 34–36. [Google Scholar] [CrossRef] [PubMed]
- Steeno, O.; Knops, J.; Declerck, L.; Adimoelja, A.; van de Voorde, H. Prevention of fertility disorders by detection and treatment of varicocele at school and college age. Andrologia 1976, 8, 47–53. [Google Scholar] [CrossRef]
- Alcalay, J.; Sayfan, J. Prevalence of varicocele in young Israeli men. Isr. J. Med. Sci. 1984, 20, 1099–1100. [Google Scholar]
- Kursh, E.D. What is the incidence of varicocele in a fertile population? Fertil. Steril. 1987, 48, 510–511. [Google Scholar] [CrossRef]
- Yasim, A.; Resim, S.; Sahinkanat, T.; Eroglu, E.; Ari, M.; Efe, E. Clinical and subclinical varicocele incidence in patients with primary varicose veins requiring surgery. Ann. Vasc. Surg. 2013, 27, 758–761. [Google Scholar] [CrossRef]
- Raman, J.D.; Walmsley, K.; Goldstein, M. Inheritance of varicoceles. Urology 2005, 65, 1186–1189. [Google Scholar] [CrossRef]
- Miyaoka, R.; Esteves, S.C. A critical appraisal on the role of varicocele in male infertility. Adv. Urol. 2012, 2012, 597495. [Google Scholar] [CrossRef] [PubMed]
- Hamada, A.; Esteves, S.C.; Agarwal, A. Insight into oxidative stress in varicocele-associated male infertility: Part 2. Nat. Rev. Urol. 2013, 10, 26–37. [Google Scholar] [CrossRef]
- Green, K.F.; Turner, T.T.; Howards, S.S. Varicocele: Reversal of the testicular blood flow and temperature effects by varicocele repair. J. Urol. 1984, 131, 1208–1211. [Google Scholar] [CrossRef] [PubMed]
- Goldstein, M.; Eid, J.F. Elevation of intratesticular and scrotal skin surface temperature in men with varicocele. J. Urol. 1989, 142, 743–745. [Google Scholar] [CrossRef] [PubMed]
- Agarwal, A.; Cannarella, R.; Saleh, R.; Boitrelle, F.; Gül, M.; Toprak, T.; Salvio, G.; Arafa, M.; Russo, G.I.; Harraz, A.M.; et al. Impact of Varicocele Repair on Semen Parameters in Infertile Men: A Systematic Review and Meta-Analysis. World J. Mens Health 2023, 41, 289–310. [Google Scholar] [CrossRef]
- Cannarella, R.; Shah, R.; Hamoda, T.A.A.; Boitrelle, F.; Saleh, R.; Gul, M.; Rambhatla, A.; Kavoussi, P.; Toprak, T.; Harraz, A.M.; et al. Does Varicocele Repair Improve Conventional Semen Parameters? A Meta-Analytic Study of Before-After Data. World J. Mens. Health 2024, 42, 92–132. [Google Scholar] [CrossRef]
- Cannarella, R.; Shah, R.; Saleh, R.; Boitrelle, F.; Hamoda, T.A.A.; Singh, R.; Salvio, G.; Toprak, T.; Falcone, M.; Gul, M.; et al. Effects of Varicocele Repair on Sperm DNA Fragmentation and Seminal Malondialdehyde Levels in Infertile Men with Clinical Varicocele: A Systematic Review and Meta-Analysis. World J. Mens. Health 2024, 42, 321–337. [Google Scholar] [CrossRef]
- Persad, E.; O’Loughlin, C.A.; Kaur, S.; Wagner, G.; Matyas, N.; Hassler-Di Fratta, M.R.; Nussbaumer-Streit, B. Surgical or radiological treatment for varicoceles in subfertile men. Cochrane Database Syst. Rev. 2021, 23, CD000479. [Google Scholar]
- Sarteschi, L.M. Lo studio del varicocele con eco-color-Doppler. G Ital. Ultrason. 1993, 4, 43–49. [Google Scholar]
- WHO. WHO Laboratory Manual for the Examination and Processing of Human Semen, 5th ed.; World Health Organization: Geneva, Switzerland, 2010. [Google Scholar]
- Mongioì, L.M.; Mammino, L.; Compagnone, M.; Condorelli, R.A.; Basile, A.; Alamo, A.; La Vignera, S.; Morgia, G.; Russo, G.I.; Calogero, A.E. Effects of Varicocele Treatment on Sperm Conventional Parameters: Surgical Varicocelectomy Versus Sclerotherapy. Cardiovasc. Intervent. Radiol. 2019, 42, 396–404. [Google Scholar] [CrossRef]
- Ivanissevich, O. Left varicocele due to reflux; experience with 4470 operative cases in forty-two years. J. Int. Coll. Surg. 1960, 34, 742–755. [Google Scholar] [PubMed]
- Bähren, W.; Biehl, C.; Danz, B. Failed sclerotherapy trials with the V. spermatica interna. A retrospective analysis in 1141 patients with idiopathic varicocele. Rofo 1992, 157, 355–360. [Google Scholar] [PubMed]
- Barbalias, G.A.; Liatsikos, E.N.; Nikiforidis, G.; Siablis, D. Treatment of varicocele for male infertility: A comparative study evaluating currently used approaches. Eur. Urol. 1998, 34, 393–398. [Google Scholar] [CrossRef] [PubMed]
- Sautter, T.; Sulser, T.; Suter, S.; Gretener, H.; Hauri, D. Treatment of varicocele: A prospective randomized comparison of laparoscopy versus antegrade sclerotherapy. Eur. Urol. 2002, 41, 398–400. [Google Scholar] [CrossRef]
- Fayez, A.; El Shantaly, K.M.; Abbas, M.; Hauser, S.; Müller, S.C.; Fathy, A. Comparison of inguinal approach, scrotal sclerotherapy and subinguinal antegrade sclerotherapy in varicocele treatment: A randomized prospective study. Urol. Int. 2010, 85, 200–203. [Google Scholar] [CrossRef]
- Chan, P. Management options of varicoceles. Indian J. Urol. 2011, 27, 65–73. [Google Scholar] [CrossRef]
- Minhas, S.; Bettocchi, C.; Boeri, L.; Capogrosso, P.; Carvalho, J.; Cilesiz, N.C.; Cocci, A.; Corona, G.; Dimitropoulos, K.; Gül, M.; et al. European Association of Urology Guidelines on Male Sexual and Reproductive Health: 2021 Update on Male Infertility. Eur. Urol. 2021, 80, 603–620. [Google Scholar] [CrossRef]
- Chung, J.M.; Lee, S.D. Current Issues in Adolescent Varicocele: Pediatric Urological Perspectives. World J. Mens. Health 2018, 36, 123–131. [Google Scholar] [CrossRef]
- Cannarella, R.; Calogero, A.E.; Condorelli, R.A.; Giacone, F.; Aversa, A.; La Vignera, S. Management and Treatment of Varicocele in Children and Adolescents: An Endocrinologic Perspective. J. Clin. Med. 2019, 8, 1410. [Google Scholar] [CrossRef]




| All Cohort (n = 94) | Varicocelectomy (n = 44) | Sclerotherapy (n = 50) | p-Value | |
|---|---|---|---|---|
| Age (years) | 29.0 (23.0–36.0) | 29.5 ± 7.1 | 29.0 (23.0–35.0) | |
| Semen volume (mL) | 3.1 (2.5–4.0) | 3.3 ± 1.4 | 3.2 (2.5–4.2) | 0.60 |
| Sperm concentration (mil/mL) | 10.0 (3.0–31.0) | 12.0 (4.5–32.5) | 8.0 (2.6–31.0) | 0.44 |
| Total sperm count (mil/ejaculate) | 24.5 (8.8–112.0) | 32.4 (16.7–118.5) | 23.2 (6.0–110.0) | 0.37 |
| Progressive motility (%) | 16.5 (6.0–30.0) | 24.0 (8.8–34.3) | 12.0 (6.0–28.5) | 0.10 |
| Total motility (%) | 50.0 (30.0–63.0) | 41.9 ± 24.8 | 48.3 ± 16.5 | 0.24 |
| Normal forms (%) | 4.0 (2.0–9.0) | 6.9 ± 5.3 | 4.0 (2.0–8.0) | 0.25 |
| Spermatids (%) | 2.0 (1.0–3.0) | 2.0 (1.0–5.0) | 2.0 (1.0–3.0) | 0.83 |
| Leukocytes (mil/mL) | 0.4 (0.07–1.04) | 0.85 (0.33–1.30) | 0.20 (0.04–0.84) | 0.01 |
| Oligozoospermia (n,%) | 8 (8.5) | 5 (11.4) | 3 (6.0) | 0.87 |
| Asthenozoospermia (n,%) | 17 (18.1) | 6 (13.6) | 11 (22.0) | 0.29 |
| Teratozoospermia (n,%) | 2 (2.0) | 0 (0.0) | 2 (4.0) | 0.62 |
| Oligoasthenozoospermia (n,%) | 20 (21.3) | 13 (29.5) | 7 (14.0) | 0.06 |
| Oligoteratozoospermia (n, %) | 1 (1.0) | 0 (0.0) | 1 (2.0) | 0.93 |
| Asthenoteratozoospermia (n, %) | 6 (6.4) | 2 (4.5) | 4 (8.0) | 0.49 |
| Oligo-astheno-teratozoospermia (n, %) | 25 (26.6) | 7 (15.9) | 18 (36.0) | 0.03 |
| Normozoospermia (n, %) | 15 (16.0) | 4 (9.1) | 11 (22.0) | 0.09 |
| LH (mIU/mL) | 3.8 (2.9–6.4) | 3.9 ± 1.8 | 3.8 (3.0–5.8) | 0.37 |
| FSH (mIU/mL) | 4.7 (2.8–6.4) | 4.4 ± 2.2 | 4.4 (2.7–6.4) | 0.51 |
| TT (ng/dL) | 5.4 (4.1–7.2) | 5.0 (3.9–7.3) | 5.7 (4.2–7.2) | 0.76 |
| Right TV (mL) | 14.6 ± 4.7 | 12.5 ± 3.9 | 15.1 ± 4.8 | 0.17 |
| Left TV (mL) | 12.7 ± 4.2 | 11.3 (10.0–12.3) | 12.9 ± 4.3 | 0.62 |
| Early apoptosis (%) | 2.4 (0.7–6.9) | 0.2 | 3.2 (1.6–7.4) | - |
| Late apoptosis (%) | 3.7 (1.0–4.6) | 0 | 3.9 (1.6–4.9) | - |
| Alive (%) | 61.6 ± 20.3 | 82.9 | 69.0 (38.3–74.4) | - |
| L-MMP (%) | 36.8 ± 20.4 | 35.8 ± 20.8 | 37.0 ± 21.8 | 0.95 |
| Chromatin compactness (%) | 18.2 (17.8–22.5) | 18.1 ± 0.4 | 19.6 (17.5–26.5) | 0.60 |
| SDF (%) | 1.7 (0.6–4.5) | 3.8 ± 4.0 | 1.7 (0.5–4.5) | 0.60 |
| Recidive rate (%) | 29% | 34% | 24% | 0.28 |
| Overall complication rate (%) | 6% | 5% | 8% | 0.68 |
| Hydrocele rate (%) | 3% | 2% | 4% | 0.99 |
| After procedure pain rate (%) | 2% | 2% | 2% | 0.99 |
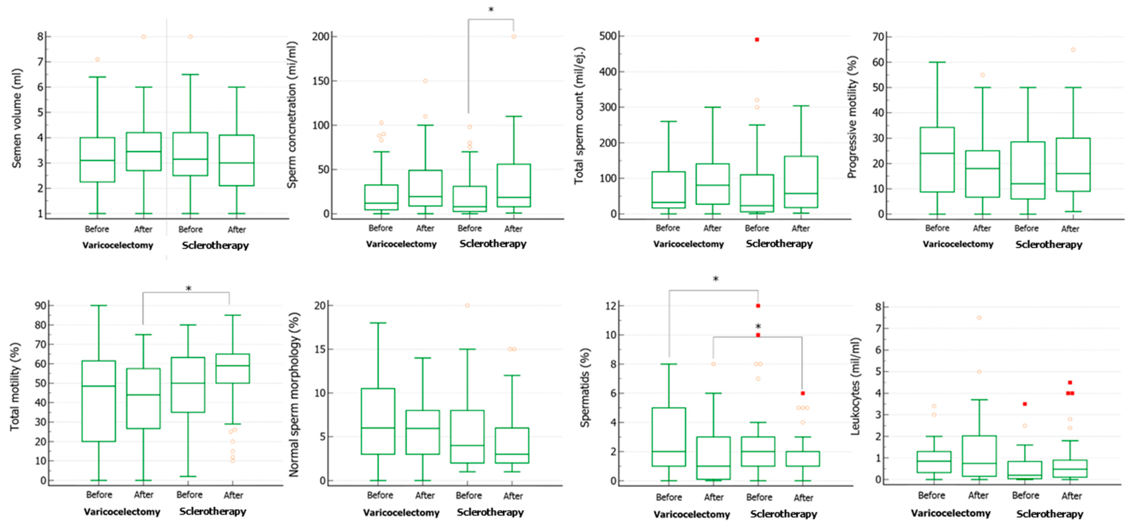
| Before Sclero-Embolization | After Scleroembolization | p-Value | Befor Varicocelectomy | After Varicocelctomy | p-Value | Comparison Between Pre-Treatment Groups | Comparison Between Post-Treatment Groups | |
|---|---|---|---|---|---|---|---|---|
| Volume (mL) | 3.14 ± 1.5 | 2.96 ± 1.8 | 0.36 | 3.11 ± 1.27 | 3.52 ± 1.48 | 0.03 | 0.96 | 0.2 |
| Concentration (mil/mL) | 2.6 (1–5) | 12 (2.5–21.75 | 0.0001 | 5.5 (1.63–7.5) | 9.85 (4.8–21.8) | 0.005 | 0.2 | 0.92 |
| Total sperm count (mil/ejaculate) | 6 (3–18.8) | 27 (13.1–66) | 0.0001 | 18.9 ± 19.3 | 28.6 ± 22.1 | 0.08 | 0.22 | 0.7 |
| Progressive sperm motility (%) | 6 (4.5–13) | 15 (8–20.5) | 0.005 | 13.5 (1–23) | 12 (4–20) | 0.62 | 0.7 | 0.6 |
| Total sperm motility (%) | 42.1 ± 16.8 | 50.8 ± 19.2 | 0.07 | 28.6 ± 22.1 | 37.3 ± 24.4 | 0.2 | 0.03 | 0.08 |
| Normal forms (%) | 3.82 ± 3.6 | 3.86 ± 2.86 | 0.95 | 6.8 ± 6.2 | 5.99 ± 4.2 | 0.6 | 0.3 | 0.07 |
| Spermatids (%) | 2 (1.75–3) | 2 (1.75–2.5) | 0.51 | 2 (0.15–5) | 2 (0.1–2) | 0.35 | 0.8 | 0.2 |
| Leukocyte concentration (mil/mL) | 0.27 ± 0.4 | 0.48 ± 0.53 | 0.02 | 0.61 (0.27–1.1) | 0.55 (0.07–2.1) | 0.95 | 0.006 | 0.3 |
| Luteinizing hormone (IU/mL) | 4.4 (3.9–6.7) | 2.9 (1.96–8.8) | 0.3 | 3.1 ± 1.1 | 4.2 ± 2.8 | 0.2 | 0.2 | 0.9 |
| Follicle-stimulating hormone (IU/mL) | 5.85 (2.9) | 5.6 (3.3) | 0.7 | 3.99 ± 2.35 | 5.06 ± 2.8 | 0.3 | 0.25 | 0.46 |
| Total testosterone (ng/mL) | 6.3 (4.3–7.2) | 7 (5.8–25.9) | 0.17 | 4.3 (3.9–10.4) | 5.3 (4.2–6.6) | 0.99 | 0.6 | 0.7 |
| References | Participants | Treatment Types | Outcomes | Follow-Up and Study Duration | Conclusions |
|---|---|---|---|---|---|
| [24] | 88 patients (23–39 years old) with clinical diagnosis of varicocele. Study excluded patients with subclinical varicocele or with other scrotal/urogenital diseases. | Participants underwent randomly to one of these approaches: 1. Surgical: -retroperitoneal; -inguinal; -sub-inguinal; 2. Radiological: -sclerotherapy. | 1. Clinical occurrence of varicocele; 2. Hydrocele formation; 3. Sperm concentration; 4. Sperm motility; 5. Sperm morphology. | Study lasted from 1994 August to October 1996 and evaluated the outcomes after six months and twelve months post varicocele repair. | Sub-inguinal approach improved both sperm concentration and motility in the 6- and 12-month follow-up. Thanks to its simplicity and avoidance of opening the external oblique fascia, it represents the more plausible approach when treating clinical varicocele. |
| [25] | 76 patients with mean age of 31 (16–45 years) and diagnosis of varicocele (clinically or by ultrasound scan). Study included patients who underwent treatment not only for subfertility but also inguinoscrotal pain and incidental finding with patient’s wish for treatment. | Patients randomly underwent to one of these approaches: 1. Antegrade scrotal sclerotherapy; 2. Laporoscopic varicocelectomy. | 1. Therapeutic success (analyzing sperm concentration, motility and morphology) 2. Morbidity and complications 3. Costs. | The study evaluated patients from January 1997 to December 1999. Outcomes were analyzed at baseline and 3 months after varicocele repair with physical examination and ultrasonography. | Antegrade sclerotherapy is the less invasive treatment method for male varicocele with lower costs and better outcomes and should, therefore, be the preferred treatment method for male varicocele. |
| [26] | 155 infertile patients with varicocele (diameter of the largest veins > 3 mm and time of regurge > 2 s during straining). Inclusion criteria were infertility for at least 1 year and subnormal semen. | According to patients’ preference, themselves underwent to one of these treatments: 1. Ivanissevich technique; 2. Scrotal antegrade sclerotherapy; 3. Sub-inguinal antegrade sclerotherapy. | 1. Sperm count; 2. Total and progressive sperm motility; 3. Sperm morphology; 4. Pregnancy rates; 5. Baby take home rates; 6. Recurrence; 7. Complications. | Follow-up was performed every 3 months for one year by semen analysis, clinical and ultrasound evaluations. |
Pregnancy rates and sperm parameters also showed no significant difference between groups. Only the increase in total sperm motility was less significant in scrotal antegrade sclerotherapy Instead the recurrence rate was lower for this technique. The sclerotherapy groups showed no hydrocele occurrence. |
Disclaimer/Publisher’s Note: The statements, opinions and data contained in all publications are solely those of the individual author(s) and contributor(s) and not of MDPI and/or the editor(s). MDPI and/or the editor(s) disclaim responsibility for any injury to people or property resulting from any ideas, methods, instructions or products referred to in the content. |
© 2024 by the authors. Licensee MDPI, Basel, Switzerland. This article is an open access article distributed under the terms and conditions of the Creative Commons Attribution (CC BY) license (https://creativecommons.org/licenses/by/4.0/).
Share and Cite
Cannarella, R.; Cannarella, V.; Randazzo, R.; Crafa, A.; Compagnone, M.; Mongioì, L.M.; Condorelli, R.A.; Bagnara, V.; La Vignera, S.; Calogero, A.E. Comparison Between Varicocelectomy and Varicocele Sclerotherapy: Results of a Single-Center Observational Study. Life 2024, 14, 1368. https://doi.org/10.3390/life14111368
Cannarella R, Cannarella V, Randazzo R, Crafa A, Compagnone M, Mongioì LM, Condorelli RA, Bagnara V, La Vignera S, Calogero AE. Comparison Between Varicocelectomy and Varicocele Sclerotherapy: Results of a Single-Center Observational Study. Life. 2024; 14(11):1368. https://doi.org/10.3390/life14111368
Chicago/Turabian StyleCannarella, Rossella, Vittorio Cannarella, Rosario Randazzo, Andrea Crafa, Michele Compagnone, Laura M. Mongioì, Rosita A. Condorelli, Vincenzo Bagnara, Sandro La Vignera, and Aldo E. Calogero. 2024. "Comparison Between Varicocelectomy and Varicocele Sclerotherapy: Results of a Single-Center Observational Study" Life 14, no. 11: 1368. https://doi.org/10.3390/life14111368
APA StyleCannarella, R., Cannarella, V., Randazzo, R., Crafa, A., Compagnone, M., Mongioì, L. M., Condorelli, R. A., Bagnara, V., La Vignera, S., & Calogero, A. E. (2024). Comparison Between Varicocelectomy and Varicocele Sclerotherapy: Results of a Single-Center Observational Study. Life, 14(11), 1368. https://doi.org/10.3390/life14111368

