The Effect of Acute Hyperglycaemia Induced by Oral Glucose Load on Heart Rate Variability and Skin Microvascular Reactivity in Young Adults
Abstract
:1. Introduction
2. Materials and Methods
2.1. Participants
2.2. Skin Perfusion and Reactive Hyperaemia Assessment
2.3. Heart Rate Variability Analysis
2.4. Protocol
2.4.1. Plasma Glucose Measurement
2.4.2. Measurement of the Haemodynamic Parameters
- 10 min baseline period;
- 3 min supra-systolic occlusion of the brachial artery;
- 10 min after the release of the occlusion (normalisation period).
2.5. Glucose and Insulin Kinetics
2.6. Data Acquisition and Statistical Analysis
3. Results
3.1. Haemodynamic Changes after OGTT and Water
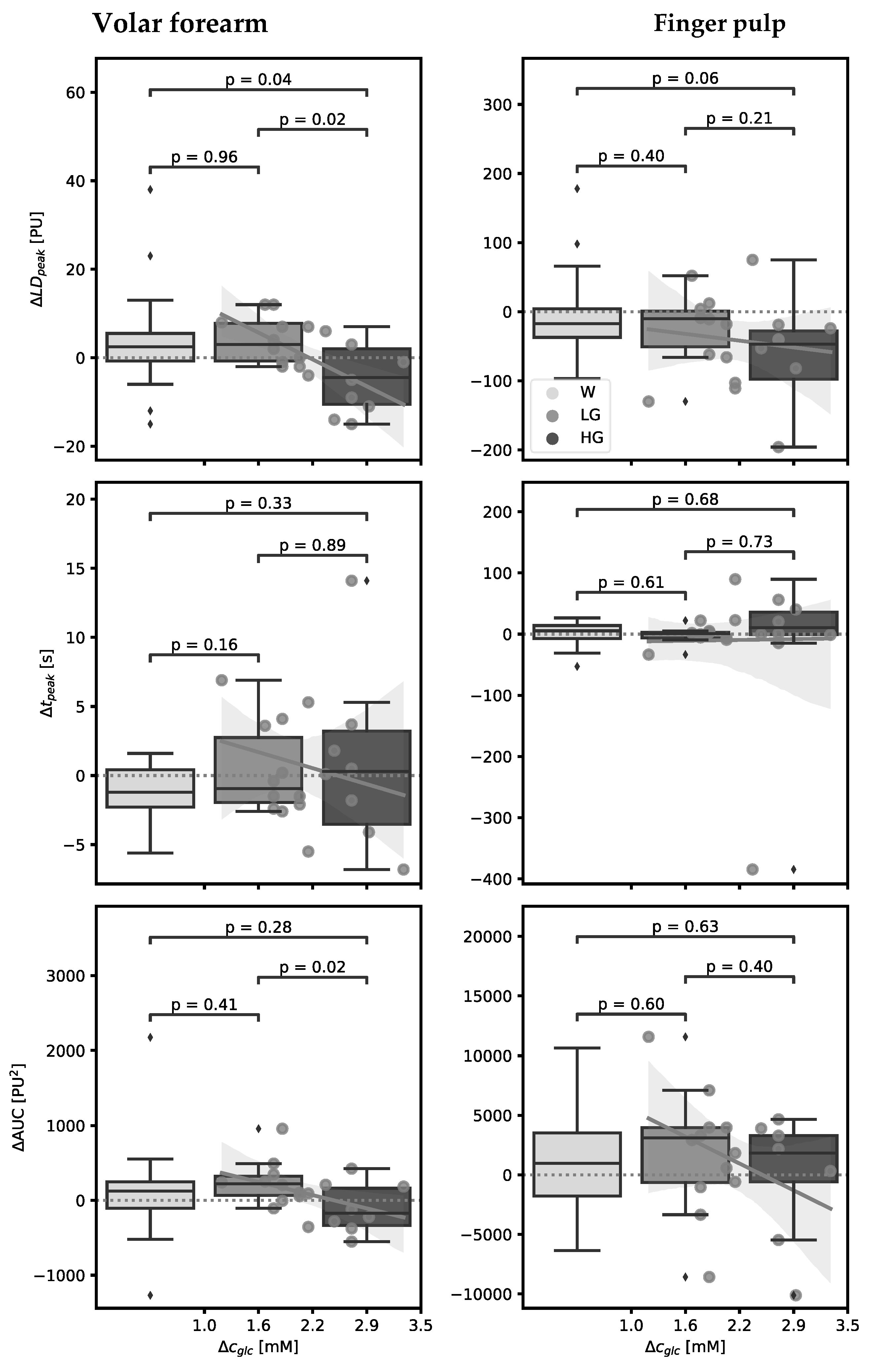
3.2. Dependence of Haemodynamic Changes on Plasma Glucose Concentration Increase after OGTT
3.3. Glucose and Insulin Kinetics
4. Discussion
Study Strengths and Limitations
5. Conclusions
Author Contributions
Funding
Institutional Review Board Statement
Informed Consent Statement
Data Availability Statement
Acknowledgments
Conflicts of Interest
References
- Gero, D. Hyperglycemia-Induced Endothelial Dysfunction. In Endothelial Dysfunction—Old Concepts and New Challenges; InTech: London, UK, 2018. [Google Scholar] [CrossRef]
- Mapanga, R.F.; Essop, M.F. Damaging Effects of Hyperglycemia on Cardiovascular Function: Spotlight on Glucose Metabolic Pathways. Am. J. Physiol. Heart Circ. Physiol. 2016, 310, H153–H173. [Google Scholar] [CrossRef] [PubMed]
- Zhou, Z.W.; Xie, X.L.; Zhou, S.F.; Li, C.G. Mechanism of Reversal of High Glucose-Induced Endothelial Nitric Oxide Synthase Uncoupling by Tanshinone IIA in Human Endothelial Cell Line EA.Hy926. Eur. J. Pharmacol. 2012, 697, 97–105. [Google Scholar] [CrossRef] [PubMed]
- Ng, H.H.; Leo, C.H.; O’Sullivan, K.; Alexander, S.-A.; Davies, M.J.; Schiesser, C.H.; Parry, L.J. 1,4-Anhydro-4-Seleno-d-Talitol (SeTal) Protects Endothelial Function in the Mouse Aorta by Scavenging Superoxide Radicals under Conditions of Acute Oxidative Stress. Biochem. Pharmacol. 2017, 128, 34–45. [Google Scholar] [CrossRef] [PubMed]
- Tsai, S.H.; Hein, T.W.; Kuo, L.; Yang, V.C. High Glucose Impairs EDHF-Mediated Dilation of Coronary Arterioles via Reduced Cytochrome P450 Activity. Microvasc. Res. 2011, 82, 356–363. [Google Scholar] [CrossRef] [PubMed]
- Solymar, M.; Ivic, I.; Balasko, M.; Fulop, B.D.; Toth, G.; Tamas, A.; Reman, G.; Koller, A.; Reglodi, D. Pituitary Adenylate Cyclase-Activating Polypeptide Ameliorates Vascular Dysfunction Induced by Hyperglycaemia. Diab Vasc. Dis. Res. 2018, 15, 277–285. [Google Scholar] [CrossRef] [PubMed]
- Varsamis, P.; Walther, G.; Share, B.; Taylor, F.; Stewart, S.; Lorenzen, C.; Loader, J. Transient Endothelial Dysfunction Induced by Sugar-Sweetened Beverage Consumption May Be Attenuated by a Single Bout of Aerobic Exercise. Microvasc. Res. 2018, 115, 8–11. [Google Scholar] [CrossRef] [PubMed]
- Loader, J.; Meziat, C.; Watts, R.; Lorenzen, C.; Sigaudo-Roussel, D.; Stewart, S.; Reboul, C.; Meyer, G.; Walther, G. Effects of Sugar-Sweetened Beverage Consumption on Microvascular and Macrovascular Function in a Healthy Population. Arter. Thromb. Vasc. Biol. 2017, 37, 1250–1260. [Google Scholar] [CrossRef]
- Akbari, C.M.; Saouaf, R.; Barnhill, D.F.; Newman, P.A.; LoGerfo, F.W.; Veves, A. Endothelium-Dependent Vasodilatation Is Impaired in Both Microcirculation and Macrocirculation during Acute Hyperglycemia. J. Vasc. Surg. 1998, 28, 687–694. [Google Scholar] [CrossRef]
- Williams, S.B.; Goldfine, A.B.; Timimi, F.K.; Ting, H.H.; Roddy, M.-A.; Simonson, D.C.; Creager, M.A. Acute Hyperglycemia Attenuates Endothelium-Dependent Vasodilation in Humans In Vivo. Circulation 1998, 97, 1695–1701. [Google Scholar] [CrossRef]
- De Marchi, S.; Prior, M.; Rigoni, A.; Zecchetto, S.; Rulfo, F.; Arosio, E. Ascorbic Acid Prevents Vascular Dysfunction Induced by Oral Glucose Load in Healthy Subjects. Eur. J. Intern. Med. 2012, 23, 54–57. [Google Scholar] [CrossRef]
- Title, L.M.; Cummings, P.M.; Giddens, K.; Nassar, B.A. Oral Glucose Loading Acutely Attenuates Endothelium-Dependent Vasodilation in Healthy Adults without Diabetes: An Effect Prevented by Vitamins C and E. J. Am. Coll. Cardiol. 2000, 36, 2185–2191. [Google Scholar] [CrossRef] [PubMed]
- Grassi, D.; Desideri, G.; Necozione, S.; Ruggieri, F.; Blumberg, J.B.; Stornello, M.; Ferri, C. Protective Effects of Flavanol-Rich Dark Chocolate on Endothelial Function and Wave Reflection During Acute Hyperglycemia. Hypertension 2012, 60, 827–832. [Google Scholar] [CrossRef] [PubMed]
- Tomiyama, H.; Kimura, Y.; Okazaki, R.; Kushiro, T.; Abe, M.; Kuwabara, Y.; Yoshida, H.; Kuwata, S.; Kinouchi, T.; Doba, N. Close Relationship of Abnormal Glucose Tolerance With Endothelial Dysfunction in Hypertension. Hypertension 2000, 36, 245–249. [Google Scholar] [CrossRef] [PubMed]
- Houben, A.J.H.M.; Schaper, N.C.; Kruseman, A.C.N. Acute Effects of Local Hyperglycaemia on Peripheral Blood Flow in Man. Diabet. Med. 1993, 10, 39–43. [Google Scholar] [CrossRef] [PubMed]
- Natali, A.; Baldi, S.; Vittone, F.; Muscelli, E.; Casolaro, A.; Morgantini, C.; Palombo, C.; Ferrannini, E. Effects of Glucose Tolerance on the Changes Provoked by Glucose Ingestion in Microvascular Function. Diabetologia 2008, 51, 862–871. [Google Scholar] [CrossRef] [PubMed]
- Major-Pedersen, A.; Ihlemann, N.; Hermann, T.S.; Christiansen, B.; Dominguez, H.; Kveiborg, B.; Nielsen, D.B.; Svendsen, O.L.; Køber, L.; Torp-Pedersen, C. Effects of Oral Glucose Load on Endothelial Function and on Insulin and Glucose Fluctuations in Healthy Individuals. Exp. Diabetes Res. 2008, 2008, 672021. [Google Scholar] [CrossRef] [PubMed]
- Hoffman, R.P.; Hausberg, M.; Sinkey, C.A.; Anderson, E.A. Hyperglycemia Without Hyperinsulinemia Produces Both Sympathetic Neural Activation and Vasodilation in Normal Humans. J. Diabetes Complicat. 1999, 13, 17–22. [Google Scholar] [CrossRef] [PubMed]
- Tomiyama, H.; Kushiro, T.; Okazaki, R.; Yoshida, H.; Doba, N.; Yamashina, A. Influences of Increased Oxidative Stress on Endothelial Function, Platelets Function, and Fibrinolysis in Hypertension Associated with Glucose Intolerance. Hypertens. Res. 2003, 26, 295–300. [Google Scholar] [CrossRef]
- van Gurp, P.J.; Rongen, G.A.; Lenders, J.W.M.; Al Nabawy, A.K.M.; Timmers, H.J.L.M.; Tack, C.J. Sustained Hyperglycaemia Increases Muscle Blood Flow but Does Not Affect Sympathetic Activity in Resting Humans. Eur. J. Appl. Physiol. 2005, 93, 648–654. [Google Scholar] [CrossRef]
- Horová, E.; Mazoch, J.; HiIgertová, J.; Kvasnička, J.; Škrha, J.; Šoupal, J.; Prázný, M. Acute Hyperglycemia Does Not Impair Microvascular Reactivity and Endothelial Function during Hyperinsulinemic Isoglycemic and Hyperglycemic Clamp in Type 1 Diabetic Patients. Exp. Diabetes Res. 2012, 2012, 851487. [Google Scholar] [CrossRef]
- Houben, A.J.H.M.; Kruseman, A.C.N.; Bouhouch, E.; Slaaf, D.W.; Schaper, N.C. Peripheral Macro-and Microcirculation in Short-term Insulin-dependent Diabetes Mellitus: The Role of Prostaglandins in Early Haemodynamic Changes. Eur. J. Clin. Investig. 1993, 23, 662–667. [Google Scholar] [CrossRef] [PubMed]
- Woerdeman, J.; Meijer, R.I.; Eringa, E.C.; Hoekstra, T.; Smulders, Y.M.; Serné, E.H. Insulin Sensitivity Determines Effects of Insulin and Meal Ingestion on Systemic Vascular Resistance in Healthy Subjects. Microcirculation 2016, 23, 62–68. [Google Scholar] [CrossRef] [PubMed]
- Imaeda, K.; Okayama, N.; Okouchi, M.; Omi, H.; Kato, T.; Akao, M.; Imai, S.; Uranishi, H.; Takeuchi, Y.; Ohara, H.; et al. Effects of Insulin on the Acetylcholine-Induced Hyperpolarization in the Guinea Pig Mesenteric Arterioles. J. Diabetes Complicat. 2004, 18, 356–362. [Google Scholar] [CrossRef] [PubMed]
- Huang, S.-S.; Lu, Y.-J.; Huang, J.-P.; Wu, Y.-T.; Day, Y.-J.; Hung, L.-M. The Essential Role of Endothelial Nitric Oxide Synthase Activation in Insulin-Mediated Neuroprotection against Ischemic Stroke in Diabetes. J. Vasc. Surg. 2014, 59, 483–491. [Google Scholar] [CrossRef]
- Cardillo, C.; Nambi, S.S.; Kilcoyne, C.M.; Choucair, W.K.; Katz, A.; Quon, M.J.; Panza, J.A. Insulin Stimulates Both Endothelin and Nitric Oxide Activity in the Human Forearm. Circulation 1999, 100, 820–825. [Google Scholar] [CrossRef]
- Potenza, M.A.; Addabbo, F.; Montagnani, M. Vascular Actions of Insulin with Implications for Endothelial Dysfunction. Am. J. Physiol. Endocrinol. Metab. 2009, 297, E568–E577. [Google Scholar] [CrossRef]
- Iredahl, F.; Tesselaar, E.; Sarker, S.; Farnebo, S.; Sjöberg, F. The Microvascular Response to Transdermal Iontophoresis of Insulin Is Mediated by Nitric Oxide. Microcirculation 2013, 20, 717–723. [Google Scholar] [CrossRef]
- Rossi, M.; Maurizio, S.; Carpi, A. Skin Blood Flowmotion Response to Insulin Iontophoresis in Normal Subjects. Microvasc. Res. 2005, 70, 17–22. [Google Scholar] [CrossRef]
- Kolka, C.M.; Bergman, R.N. The Endothelium in Diabetes: Its Role in Insulin Access and Diabetic Complications. Rev. Endocr. Metab. Disord. 2013, 14, 13–19. [Google Scholar] [CrossRef]
- Rowe, J.W.; Young, J.B.; Minaker, K.L.; Stevens, A.L.; Pallotta, J.; Landsberg, L. Effect of Insulin and Glucose Infusions on Sympathetic Nervous System Activity in Normal Man. Diabetes 1981, 30, 219–225. [Google Scholar] [CrossRef]
- Anderson, E.A.; Hoffman, R.P.; Balon, T.W.; Sinkey, C.A.; Mark, A.L. Hyperinsulinemia Produces Both Sympathetic Neural Activation and Vasodilation in Normal Humans. J. Clin. Investig. 1991, 87, 2246–2252. [Google Scholar] [CrossRef] [PubMed]
- Marfella, R.; De Angelis, L.; Siniscalchi, M.; Rossi, F.; Giugliano, D.; Nappo, F. The Effect of Acute Hyperglycaemia on QTc Duration in Healthy Man. Diabetologia 2000, 43, 571–575. [Google Scholar] [CrossRef] [PubMed]
- Weissman, A.; Lowenstein, L.; Peleg, A.; Thaler, I.; Zimmer, E.Z. Power Spectral Analysis of Heart Rate Variability During the 100-g Oral Glucose Tolerance Test in Pregnant Women. Diabetes Care 2006, 29, 571–574. [Google Scholar] [CrossRef] [PubMed]
- Takei, Y.; Tomiyama, H.; Tanaka, N.; Yamashina, A. Close Relationship Between Sympathetic Activation and Coronary Microvascular Dysfunction During Acute Hyperglycemia in Subjects With Atherosclerotic Risk Factors. Circ. J. 2007, 71, 202–206. [Google Scholar] [CrossRef] [PubMed]
- Emdin, M.; Gastaldelli, A.; Muscelli, E.; Macerata, A.; Natali, A.; Camastra, S.; Ferrannini, E. Hyperinsulinemia and Autonomic Nervous System Dysfunction in Obesity. Circulation 2001, 103, 513–519. [Google Scholar] [CrossRef] [PubMed]
- Van De Borne, P.; Hausberg, M.; Hoffman, R.P.; Mark, A.L.; Anderson, E.A. Hyperinsulinemia Produces Cardiac Vagal Withdrawal and Nonuniform Sympathetic Activation in Normal Subjects. Am. J. Physiol. Regul. Integr. Comp. Physiol. 1999, 276, R178–R183. [Google Scholar] [CrossRef]
- Paolisso, G.; Manzella, D.; Tagliamonte, M.R.; Rizzo, M.R.; Gambardella, A.; Varricchio, M. Effects of Different Insulin Infusion Rates on Heart Rate Variability in Lean and Obese Subjects. Metabolism 1999, 48, 755–762. [Google Scholar] [CrossRef]
- Paolisso, G.; Manzella, D.; Ferrara, N.; Gambardella, A.; Abete, P.; Tagliamonte, M.R.; De Lucia, D.; Furgi, G.; Picone, C.; Gentile, S.; et al. Glucose Ingestion Affects Cardiac ANS in Healthy Subjects with Different Amounts of Body Fat. Am. J. Physiol. Endocrinol. Metab. 1997, 273, E471. [Google Scholar] [CrossRef]
- Berkelaar, M.; Eekhoff, E.M.W.; Simonis-Bik, A.M.C.; Boomsma, D.I.; Diamant, M.; Ijzerman, R.G.; Dekker, J.M.; ’T Hart, L.M.; De Geus, E.J.C. Effects of Induced Hyperinsulinaemia with and without Hyperglycaemia on Measures of Cardiac Vagal Control. Diabetologia 2013, 56, 1436–1443. [Google Scholar] [CrossRef]
- Watkins, L.L.; Surwit, R.S.; Grossman, P.; Sherwood, A. Is There a Glycemic Threshold for Impaired Autonomic Control? Diabetes Care 2000, 23, 826–830. [Google Scholar] [CrossRef]
- Mundinger, T.O.; Cooper, E.; Coleman, M.P.; Taborsky, G.J. Short-Term Diabetic Hyperglycemia Suppresses Celiac Ganglia Neurotransmission, Thereby Impairing Sympathetically Mediated Glucagon Responses. Am. J. Physiol. Endocrinol. Metab. 2015, 309, E246–E255. [Google Scholar] [CrossRef] [PubMed]
- Lenasi, H. Assessment of Human Skin Microcirculation and Its Endothelial Function Using Laser Doppler Flowmetry. In Medical Imaging; InTech: London, UK, 2011. [Google Scholar] [CrossRef]
- Kralj, L.; Lenasi, H. Wavelet Analysis of Laser Doppler Microcirculatory Signals: Current Applications and Limitations. Front. Physiol. 2023, 13, 1076445. [Google Scholar] [CrossRef] [PubMed]
- Braverman, I.M. The Cutaneous Microcirculation: Ultrastructure and Microanatomical Organization. Microcirculation 1997, 4, 329–340. [Google Scholar] [CrossRef] [PubMed]
- Tikhonova, I.V.; Tankanag, A.V.; Chemeris, N.K. Time–Amplitude Analysis of Skin Blood Flow Oscillations during the Post-Occlusive Reactive Hyperemia in Human. Microvasc. Res. 2010, 80, 58–64. [Google Scholar] [CrossRef] [PubMed]
- Yvonne-Tee GB, R.A.H.A.W.A.R.A. Method Optimization on the Use of Postocclusive Hyperemia Model to Assess Microvascular Function. Clin. Hemorheol. Microcirc. 2008, 38, 119–133. [Google Scholar] [PubMed]
- Grassi, G.; Esler, M. How to Assess Sympathetic Activity in Humans. J. Hypertens. 1999, 17, 719–734. [Google Scholar] [CrossRef] [PubMed]
- Eckberg, D.L. Point:Counterpoint: Respiratory Sinus Arrhythmia Is Due to a Central Mechanism vs. Respiratory Sinus Arrhythmia Is Due to the Baroreflex Mechanism. J. Appl. Physiol. 2009, 106, 1740–1742. [Google Scholar] [CrossRef] [PubMed]
- Reyes del Paso, G.A.; Langewitz, W.; Mulder, L.J.M.; van Roon, A.; Duschek, S. The Utility of Low Frequency Heart Rate Variability as an Index of Sympathetic Cardiac Tone: A Review with Emphasis on a Reanalysis of Previous Studies. Psychophysiology 2013, 50, 477–487. [Google Scholar] [CrossRef]
- Lenasi, H.; Rihar, E.; Filipič, J.; Klemenc, M.; Fister, P. The Effect of Caffeine on Heart Rate Variability in Newborns: A Pilot Study. Life 2023, 13, 1459. [Google Scholar] [CrossRef]
- Makowski, D.; Pham, T.; Lau, Z.J.; Brammer, J.C.; Lespinasse, F.; Pham, H.; Schölzel, C.; Chen, S.H.A. NeuroKit2: A Python Toolbox for Neurophysiological Signal Processing. Behav. Res. Methods 2021, 53, 1689–1696. [Google Scholar] [CrossRef]
- Goldstein, D.S.; Bentho, O.; Park, M.-Y.; Sharabi, Y. Low-Frequency Power of Heart Rate Variability Is Not a Measure of Cardiac Sympathetic Tone but May Be a Measure of Modulation of Cardiac Autonomic Outflows by Baroreflexes. Exp. Physiol. 2011, 96, 1255–1261. [Google Scholar] [CrossRef] [PubMed]
- The Jamovi Project; 2019. Available online: https://www.jamovi.org/cloud.html (accessed on 22 December 2023).
- Limberg, J.K.; Soares, R.N.; Padilla, J. Role of the Autonomic Nervous System in the Hemodynamic Response to Hyperinsulinemia—Implications for Obesity and Insulin Resistance. Curr. Diab Rep. 2022, 22, 169–175. [Google Scholar] [CrossRef] [PubMed]
- Kramer, C.K.; Vuksan, V.; Choi, H.; Zinman, B.; Retnakaran, R. Emerging Parameters of the Insulin and Glucose Response on the Oral Glucose Tolerance Test: Reproducibility and Implications for Glucose Homeostasis in Individuals with and without Diabetes. Diabetes Res. Clin. Pract. 2014, 105, 88–95. [Google Scholar] [CrossRef] [PubMed]
- Paolisso; Manzella; Rizzo; Barbieri; Gambardella. Varricchio Effects of Glucose Ingestion on Cardiac Autonomic Nervous System in Healthy Centenarians: Differences with Aged Subjects. Eur. J. Clin. Investig. 2000, 30, 277–284. [Google Scholar] [CrossRef]
- Jansson, P.A.; Fowelin, J.; Smith, U.; Lonnroth, P. Characterization by Microdialysis of Intracellular Glucose Level in Subcutaneous Tissue in Humans. Am. J. Physiol. Endocrinol. Metab. 1988, 255, E218–E220. [Google Scholar] [CrossRef] [PubMed]
- Gheysens, O.; Postnov, A.; Deroose, C.M.; Vandermeulen, C.; de Hoon, J.; Declercq, R.; Dennie, J.; Mixson, L.; De Lepeleire, I.; Van Laere, K.; et al. Quantification, Variability, and Reproducibility of Basal Skeletal Muscle Glucose Uptake in Healthy Humans Using 18 F-FDG PET/CT. J. Nucl. Med. 2015, 56, 1520–1526. [Google Scholar] [CrossRef] [PubMed]
- Iredahl, F.; Högstedt, A.; Henricson, J.; Sjöberg, F.; Tesselaar, E.; Farnebo, S. Skin Glucose Metabolism and Microvascular Blood Flow during Local Insulin Delivery and after an Oral Glucose Load. Microcirculation 2016, 23, 597–605. [Google Scholar] [CrossRef] [PubMed]
- Schroeder, E.B.; Chambless, L.E.; Liao, D.; Prineas, R.J.; Evans, G.W.; Rosamond, W.D.; Heiss, G. Diabetes, Glucose, Insulin, and Heart Rate Variability. Diabetes Care 2005, 28, 668–674. [Google Scholar] [CrossRef]
- Horton, W.B.; Jahn, L.A.; Hartline, L.M.; Aylor, K.W.; Patrie, J.T.; Barrett, E.J. Hyperglycemia Does Not Inhibit Insulin’s Effects on Microvascular Perfusion in Healthy Humans: A Randomized Crossover Study. Am. J. Physiol. Endocrinol. Metab. 2020, 319, E753–E762. [Google Scholar] [CrossRef]
- Roberts-Thomson, K.M.; Parker, L.; Betik, A.C.; Wadley, G.D.; Della Gatta, P.A.; Marwick, T.H.; Keske, M.A. Oral and Intravenous Glucose Administration Elicit Opposing Microvascular Blood Flow Responses in Skeletal Muscle of Healthy People: Role of Incretins. J. Physiol. 2022, 600, 1667–1681. [Google Scholar] [CrossRef]
- Parker, L.; Morrison, D.J.; Betik, A.C.; Roberts-Thomson, K.; Kaur, G.; Wadley, G.D.; Shaw, C.S.; Keske, M.A. High-Glucose Mixed-Nutrient Meal Ingestion Impairs Skeletal Muscle Microvascular Blood Flow in Healthy Young Men. Am. J. Physiol. Endocrinol. Metab. 2020, 318, E1014–E1021. [Google Scholar] [CrossRef] [PubMed]
- Scott, E.M.; Greenwood, J.P.; Gilbey, S.G.; Stoker, J.B.; Mary, D. AWater Ingestion Increases Sympathetic Vasoconstrictor Discharge in Normal Human Subjects. Clin. Sci. 2001, 100, 335–342. [Google Scholar] [CrossRef]
- Posada-Quintero, H.F.; Chon, K.H. Innovations in Electrodermal Activity Data Collection and Signal Processing: A Systematic Review. Sensors 2020, 20, 479. [Google Scholar] [CrossRef] [PubMed]
- Brown, C.M.; Barberini, L.; Dulloo, A.G.; Montani, J.-P. Cardiovascular Responses to Water Drinking: Does Osmolality Play a Role? Am. J. Physiol. Regul. Integr. Comp. Physiol. 2005, 289, R1687–R1692. [Google Scholar] [CrossRef] [PubMed]
- Ajaj, W.; Goehde, S.C.; Schneemann, H.; Ruehm, S.G.; Debatin, J.F.; Lauenstein, T.C. Dose Optimization of Mannitol Solution for Small Bowel Distension in MRI. J. Magn. Reson. Imaging 2004, 20, 648–653. [Google Scholar] [CrossRef]
- Lages, M.; Barros, R.; Moreira, P.; Guarino, M.P. Metabolic Effects of an Oral Glucose Tolerance Test Compared to the Mixed Meal Tolerance Tests: A Narrative Review. Nutrients 2022, 14, 2032. [Google Scholar] [CrossRef]
- Joy, N.G.; Perkins, J.M.; Mikeladze, M.; Younk, L.; Tate, D.B.; Davis, S.N. Comparative Effects of Acute Hypoglycemia and Hyperglycemia on Pro-Atherothrombotic Biomarkers and Endothelial Function in Non-Diabetic Humans. J. Diabetes Complicat. 2016, 30, 1275–1281. [Google Scholar] [CrossRef]
- Morris, C.; O’Grada, C.; Ryan, M.; Roche, H.M.; Gibney, M.J.; Gibney, E.R.; Brennan, L. Identification of Differential Responses to an Oral Glucose Tolerance Test in Healthy Adults. PLoS ONE 2013, 8, e72890. [Google Scholar] [CrossRef]



| Median (Q1–Q3) | |
|---|---|
| Resting | |
| RR (ms) | 968 (921–995) |
| SP (mmHg) | 115.0 (108.0–122.0) |
| MP (mmHg) | 81.5 (77.5–87.6) |
| DP (mmHg) | 65.7 (60.1–69.4) |
| PP (mmHg) | 51.6 (43.9–54.8) |
| LDrest-fp (PU) | 244 (174–329) |
| LDrest-vf (PU) | 5.9 (4.7–7.5) |
| LF (n.u.) | 34.8 (21.3–54.9) |
| HF (n.u.) | 54.0 (41.5–66.5) |
| LF/HF | 0.57 (0.34–1.33) |
| PORH, volar forearm | |
| LDpeak (PU) | 41 (30–50) |
| LDbase (PU) | 6.3 (5.3–10.7) |
| tpeak (s) | 10.6 (6.8–12.1) |
| AUC (PU2) | 941 (694–1138) |
| PORH, finger pulp | |
| LDpeak (PU) | 336 (281–454) |
| LDbase (PU) | 196 (153–258) |
| tpeak (s) | 25.8 (18.5–39.6) |
| AUC (PU2) | 4477 (2261–11,824) |
| OGTT | Water | p | CI (95%) | |
|---|---|---|---|---|
| Resting | ||||
| ΔRR (ms) | −16 (−50; 6) | 26 (−26; 57) | 0.120 | −58; 8 |
| ΔSP (mmHg) | 10.2 (−0.5; 18.7) § | 11.6 (6.9; 16.3) § | 0.284 | −9.6; 3.8 |
| ΔMP (mmHg) | 4.1 (−2.9; 9.1) | 6.4 (4.3; 11.0) | 0.145 | −8.6; 1.5 |
| ΔDP (mmHg) | 0.7 (−3.6; 5.6) | 6.2. (2.3; 7.2) § | 0.045 * | −7.9; −0.2 |
| ΔPP (mmHg) | 7.3 (3.3; 11.7) § | 5.9 (1.4; 9.2) § | 0.890 | −3.2; 5.0 |
| ΔLDrest-fp (PU) | −54 (−117; −11) § | −56 (−74; −17) § | 0.734 | −45; 40 |
| ΔLDrest-vf (PU) | 0.7 (−0.5; 1.9) | 0.5 (−0.3; 1.0) | 0.304 | −0.6; 3.1 |
| ΔLF (n.u.) | 2.4 (−3.1; 13.0) | 7.2 (2.2; 14.2) § | 0.022 * | −17.1; −1.0 |
| ΔHF (n.u.) | −2.3 (−11.3; 3.5) | −8.3 (−13.3; −1.9) § | 0.107 | −1.3; 10.3 |
| ΔLF/HF | 0.05 (−0.17; 0.40) | 0.205 (0.03; 0.62) § | 0.022 * | −0.93; −0.04 |
| PORH, volar forearm | ||||
| ΔLDpeak (PU) | −1 (−4; 6) | 3 (−1; 6) | 0.485 | −8; 3 |
| ΔLDbase (PU) | 0.2 (−0.7; 1.2) | 0.3 (−0.7; 1.2) | 1.000 | −1.1; 1.5 |
| Δtpeak (s) | −0.2 (−2.2; 3.6) | −1.2 (−2.3; 0.4) § | 0.119 | −0.6; 4.9 |
| ΔAUC (PU2) | 97 (−146; 243) | 126 (−104; 246) | 0.442 | −171; 369 |
| PORH, finger pulp | ||||
| ΔLDpeak (PU) | −32 (−70; −9) § | −18 (−37; 4) | 0.071 | −74; 3 |
| ΔLDbase (PU) | −13.0 (−53.1; 3.4) § | −34.2 (−73.1; −22.1) § | 0.468 | −85.0; 39.8 |
| Δtpeak (s) | 1.2 (−5.7; 20.8) | 5.4 (−7.2; 14.0) | 0.734 | −15.4; 23.2 |
| ΔAUC (PU2) | 2170 (−813; 3932) | 962 (−1786; 3528) | 0.963 | −3812; 3955 |
| r | p | |
|---|---|---|
| HRV | ||
| LF | 0.488 | 0.040 * |
| HF | −0.528 | 0.024 * |
| LF/HF | 0.542 | 0.020 * |
| PORH, volar forearm | ||
| ΔLDpeak | −0.619 | 0.004 * |
| Δtpeak | −0.196 | 0.408 |
| ΔAUC | −0.408 | 0.074 |
| PORH, finger pulp | ||
| ΔLDpeak | −0.126 | 0.597 |
| Δtpeak | 0.012 | 0.961 |
| ΔAUC | −0.358 | 0.132 |
| Time (min) | Δcglc-VB (mM) | p | Δcins-VB (µUml−1) | p |
|---|---|---|---|---|
| 30 | 1.7 ± 1.3 | 0.017 * | 20.2 ± 21.7 | 0.007 * |
| 50 | 1.5 ± 1.7 | 0.034 * | 28.1 ± 28.9 | 0.000 * |
| 90 | 0.9 ± 1.2 | 0.560 | 32.6 ± 21.5 | 0.000 * |
Disclaimer/Publisher’s Note: The statements, opinions and data contained in all publications are solely those of the individual author(s) and contributor(s) and not of MDPI and/or the editor(s). MDPI and/or the editor(s) disclaim responsibility for any injury to people or property resulting from any ideas, methods, instructions or products referred to in the content. |
© 2023 by the authors. Licensee MDPI, Basel, Switzerland. This article is an open access article distributed under the terms and conditions of the Creative Commons Attribution (CC BY) license (https://creativecommons.org/licenses/by/4.0/).
Share and Cite
Šorli, J.; Lenasi, H. The Effect of Acute Hyperglycaemia Induced by Oral Glucose Load on Heart Rate Variability and Skin Microvascular Reactivity in Young Adults. Life 2024, 14, 56. https://doi.org/10.3390/life14010056
Šorli J, Lenasi H. The Effect of Acute Hyperglycaemia Induced by Oral Glucose Load on Heart Rate Variability and Skin Microvascular Reactivity in Young Adults. Life. 2024; 14(1):56. https://doi.org/10.3390/life14010056
Chicago/Turabian StyleŠorli, Jernej, and Helena Lenasi. 2024. "The Effect of Acute Hyperglycaemia Induced by Oral Glucose Load on Heart Rate Variability and Skin Microvascular Reactivity in Young Adults" Life 14, no. 1: 56. https://doi.org/10.3390/life14010056
APA StyleŠorli, J., & Lenasi, H. (2024). The Effect of Acute Hyperglycaemia Induced by Oral Glucose Load on Heart Rate Variability and Skin Microvascular Reactivity in Young Adults. Life, 14(1), 56. https://doi.org/10.3390/life14010056

