The Ecophysiological Response of Olive Trees under Different Fruit Loads
Abstract
1. Introduction
2. Materials and Methods
2.1. Experimental Orchard
2.2. Olive Bearing Cycle
2.3. Monitoring of Soil Water Content and Meteorological Parameters
2.4. Measurement of Ecophysiological and Hydrodynamic Parameters
2.5. Leaf Area Measurements
2.6. Measurement of Soluble Sugars and Starch Concentration
2.7. Measurement of the Carbon-Stable Isotope Ratio
2.8. Statistical Analysis
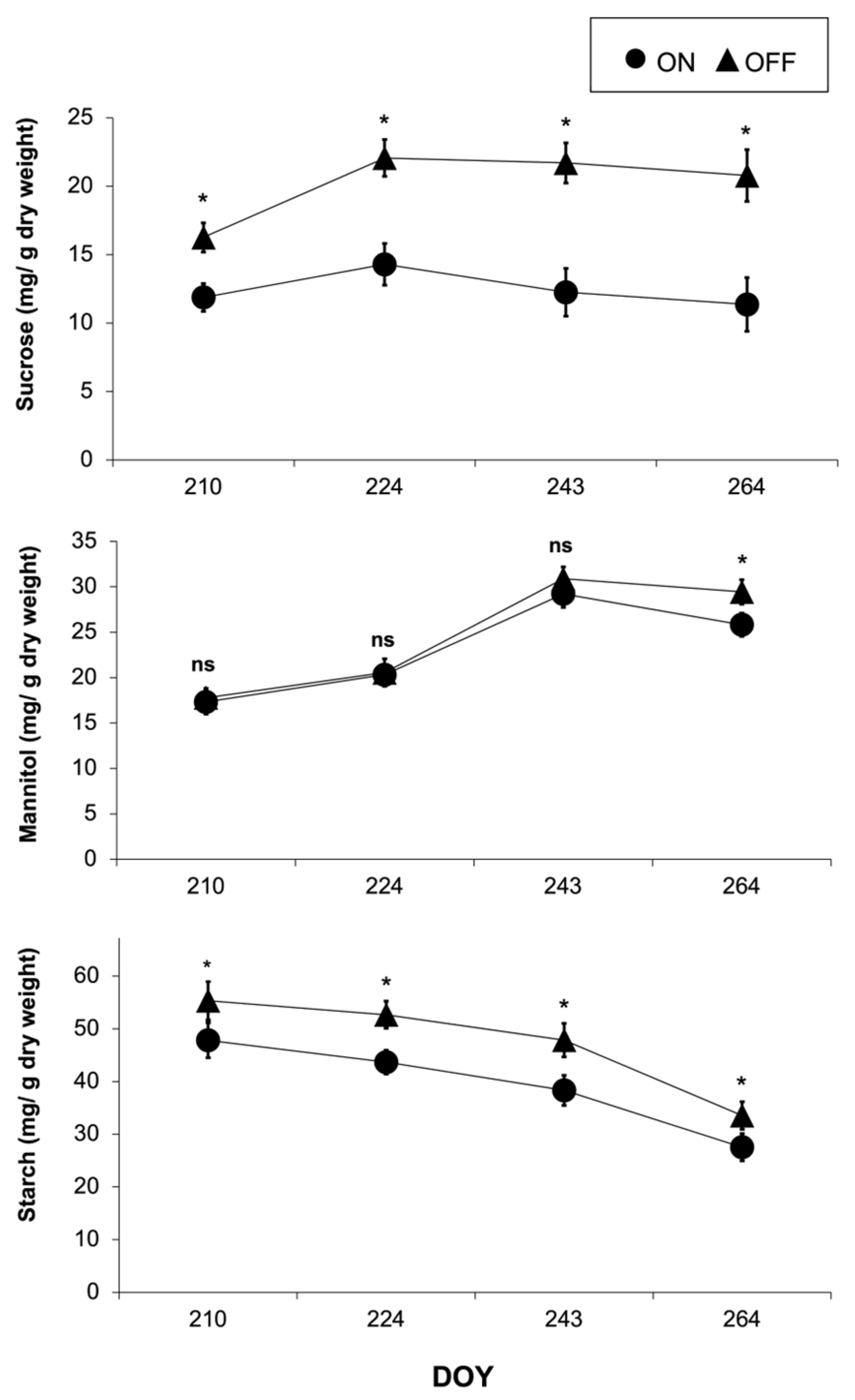
3. Results
3.1. Environmental Parameters and Tree Growth Pattern
3.2. Soil Moisture Content and Sap Flow Dynamics
3.3. Assessment of Plant Water Status
4. Discussion
5. Conclusions
Author Contributions
Funding
Data Availability Statement
Conflicts of Interest
References
- Steduto, P.; Hsiao, T.C.; Fereres, E.; Raes, D. Crop Yield Response to Water; FAO: Rome, Italy, 2012; ISBN 9789251072745. [Google Scholar]
- Famiani, F.; Farinelli, D.; Gardi, T.; Rosati, A. The Cost of Flowering in Olive (Olea europaea L.). Sci. Hortic. 2019, 252, 268–273. [Google Scholar] [CrossRef]
- Smith, H.M.; Samach, A. Constraints to Obtaining Consistent Annual Yields in Perennial Tree Crops. I: Heavy Fruit Load Dominates over Vegetative Growth. Plant Sci. 2013, 207, 158–167. [Google Scholar] [CrossRef]
- Kozlowski, T.; Pallardy, S. Chapter 5: Photosynthesis. In Physiology of Woody Plants; Academic Press: San Diego, CA, USA, 1997; pp. 87–133. ISBN 0-12-424162-X. [Google Scholar]
- Baïram, E.; leMorvan, C.; Delaire, M.; Buck-Sorlin, G. Fruit and Leaf Response to Different Source–Sink Ratios in Apple, at the Scale of the Fruit-Bearing Branch. Front. Plant Sci. 2019, 10, 1039. [Google Scholar] [CrossRef] [PubMed]
- Fan, P.G.; Li, L.S.; Duan, W.; Li, W.D.; Li, S.H. Photosynthesis of Young Apple Trees in Response to Low Sink Demand under Different Air Temperatures. Tree Physiol. 2010, 30, 313–325. [Google Scholar] [CrossRef]
- Wünsche, J.N.; Greer, D.H.; Laing, W.A.; Palmer, J.W. Physiological and Biochemical Leaf and Tree Responses to Crop Load in Apple. Tree Physiol. 2005, 25, 1253–1263. [Google Scholar] [CrossRef] [PubMed]
- Silber, A.; Israeli, Y.; Levi, M.; Keinan, A.; Chudi, G.; Golan, A.; Noy, M.; Levkovitch, I.; Narkis, K.; Naor, A.; et al. The Roles of Fruit Sink in the Regulation of Gas Exchange and Water Uptake: A Case Study for Avocado. Agric. Water Manag. 2013, 116, 21–28. [Google Scholar] [CrossRef]
- Andrade, D.; Covarrubias, M.P.; Benedetto, G.; Pereira, E.G.; Almeida, A.M. Differential Source–Sink Manipulation Affects Leaf Carbohydrate and Photosynthesis of Early- and Late-Harvest Nectarine Varieties. Theor. Exp. Plant Physiol. 2019, 31, 341–356. [Google Scholar] [CrossRef]
- Wei, D.; Li, S.H.; Fan, P.G.; Wang, L.J.; Li, W.D.; Yan, S.T. Photosynthetic Response to Low Sink Demand after Fruit Removal in Relation to Photoinhibition and Photoprotection in Peach Trees. Tree Physiol. 2008, 28, 123–132. [Google Scholar]
- Nebauer, S.G.; Renau-Morata, B.; Guardiola, J.L.; Molina, R.V.; Pereira, J. Photosynthesis Down-Regulation Precedes Carbohydrate Accumulation under Sink Limitation in Citrus. Tree Physiol. 2011, 31, 169–177. [Google Scholar] [CrossRef]
- Syvertsen, J.P.; Goñi, C.; Otero, A. Fruit Load and Canopy Shading Affect Leaf Characteristics and Net Gas Exchange of ‘Spring’ Navel Orange Trees. Tree Physiol. 2003, 23, 899–906. [Google Scholar] [CrossRef]
- Greer, D.H. Short-Term Temperature Dependency of the Photosynthetic and PSII Photochemical Responses to Photon Flux Density of Leaves of Vitis Vinifera Cv. Shiraz Vines Grown in Field Conditions with and without Fruit. Funct. Plant Biol. 2019, 46, 634–648. [Google Scholar] [CrossRef]
- Greer, D.H. Changes in the Temperature-Dependency of the Photosynthetic Response to Chloroplast CO2 Concentrations of Outdoor-Grown Vitis Vinifera Cv. Shiraz Vines with a Mid-Season Crop Removal. Environ. Exp. Bot. 2020, 169, 103914. [Google Scholar] [CrossRef]
- Naor, A.; Gal, Y.; Bravdo, B. Crop Load Affects Assimilation Rate, Stomatal Conductance, Stem Water Potential and Water Relations of Field-Grown Sauvignon Blanc Grapevines. J. Exp. Bot. 1997, 48, 1675–1680. [Google Scholar] [CrossRef]
- Haouari, A.; Van Labeke, M.-C.; Steppe, K.; Mariem, F.B.; Braham, M.; Chaieb, M. Fruit Thinning Affects Photosynthetic Activity, Carbohydrate Levels, and Shoot and Fruit Development of Olive Trees Grown under Semiarid Conditions. Funct. Plant Biol. 2013, 40, 1179–1186. [Google Scholar] [CrossRef] [PubMed]
- Perez-Arcoiza, A.; Diaz-Espejo, A.; Fernandez-Torres, R.; Perez-Romero, L.F.; Hernandez-Santana, V. Dual Effect of the Presence of Fruits on Leaf Gas Exchange and Water Relations of Olive Trees. Tree Physiol. 2023, 43, 277–287. [Google Scholar] [CrossRef]
- Proietti, P.; Nasini, L.; Famiani, F. Effect of Different Leaf-to-Fruit Ratios on Photosynthesis and Fruit Growth in Olive (Olea europaea L.). Photosynthetica 2006, 44, 275–285. [Google Scholar] [CrossRef]
- Rosati, A.; Paoletti, A.; Al Hariri, R.; Morelli, A.; Famiani, F. Resource Investments in Reproductive Growth Proportionately Limit Investments in Whole-Tree Vegetative Growth in Young Olive Trees with Varying Crop Loads. Tree Physiol. 2018, 38, 1267–1277. [Google Scholar] [CrossRef] [PubMed]
- Kasai, M. Regulation of Leaf Photosynthetic Rate Correlating with Leaf Carbohydrate Status and Activation State of Rubisco under a Variety of Photosynthetic Source/Sink Balances. Physiol. Plant 2008, 134, 216–226. [Google Scholar] [CrossRef]
- Körner, C. Carbon Limitation in Trees. J. Ecol. 2003, 91, 4–17. [Google Scholar] [CrossRef]
- Bustan, A.; Avni, A.; Lavee, S.; Zipori, I.; Yeselson, Y.; Schaffer, A.A.; Riov, J.; Dag, A. Role of Carbohydrate Reserves in Yield Production of Intensively Cultivated Oil Olive (Olea europaea L.) Trees. Tree Physiol. 2011, 31, 519–530. [Google Scholar] [CrossRef]
- Gómez-González, S.; Ruiz-Jiménez, J.; Priego-Capote, F.; Luque de Castro, M.D. Qualitative and Quantitative Sugar Profiling in Olive Fruits, Leaves, and Stems by Gas Chromatography−Tandem Mass Spectrometry (GC-MS/MS) after Ultrasound-Assisted Leaching. J. Agric. Food Chem. 2010, 58, 12292–12299. [Google Scholar] [CrossRef] [PubMed]
- Connor, D.J.; Fereres, E. The Physiology of Adaptation and Yield Expression in Olive. In Horticultural Reviews; John Wiley & Sons: Hoboken, NJ, USA, 2005; Volume 31, pp. 155–229. ISBN 9780470650882. [Google Scholar]
- Mpelasoka, B.; Behboudian, M.H.; Mills, T. Water Relations, Photosynthesis, Growth, Yield and Fruit Size of ‘Braeburn’ Apple: Responses to Deficit Irrigation and to Crop Load. J. Hortic. Sci. Biotechnol. 2001, 76, 150–156. [Google Scholar] [CrossRef]
- Naor, A.; Naschitz, S.; Peres, M.; Gal, Y. Responses of Apple Fruit Size to Tree Water Status and Crop Load. Tree Physiol. 2008, 28, 1255–1261. [Google Scholar] [CrossRef] [PubMed]
- Naor, A.; Hupert, H.; Greenblat, Y.; Peres, M.; Kaufman, A.; Klein, I. The Response of Nectarine Fruit Size and Midday Stem Water Potential to Irrigation Level in Stage III and Crop Load. J. Am. Soc. Hortic. Sci. 2001, 126, 140–143. [Google Scholar] [CrossRef]
- Marsal, J.; Girona, J. Relationship between Leaf Water Potential and Gas Exchange Activity at Different Phenological Stages and Fruit Loads in Peach Trees. J. Am. Soc. Hortic. Sci. 1997, 122, 415–421. [Google Scholar] [CrossRef]
- Intrigliolo, D.S.; Castel, J.R. Crop Load Affects Maximum Daily Trunk Shrinkage of Plum Trees. Tree Physiol. 2007, 27, 89–96. [Google Scholar] [CrossRef]
- Conejero, W.; Ortuño, M.F.; Mellisho, C.D.; Torrecillas, A. Influence of Crop Load on Maximum Daily Trunk Shrinkage Reference Equations for Irrigation Scheduling of Early Maturing Peach Trees. Agric. Water Manag. 2010, 97, 333–338. [Google Scholar] [CrossRef]
- Naor, A.; Schneider, D.; Ben-Gal, A.; Zipori, I.; Dag, A.; Kerem, Z.; Birger, R.; Peres, M.; Gal, Y. The Effects of Crop Load and Irrigation Rate in the Oil Accumulation Stage on Oil Yield and Water Relations of “Koroneiki” Olives. Irrig. Sci. 2013, 31, 781–791. [Google Scholar] [CrossRef]
- Bustan, A.; Dag, A.; Yermiyahu, U.; Erel, R.; Presnov, E.; Agam, N.; Kool, D.; Iwema, J.; Zipori, I.; Ben-Gal, A. Fruit Load Governs Transpiration of Olive Trees. Tree Physiol. 2016, 36, 380–391. [Google Scholar] [CrossRef]
- Gucci, R.; Lodolini, E.; Rapoport, H.F. Productivity of Olive Trees with Different Water Status and Crop Load. J. Hortic. Sci. Biotechnol. 2007, 82, 648–656. [Google Scholar] [CrossRef]
- Trentacoste, E.R.; Sadras, V.O.; Puertas, C.M. Effects of the Source:Sink Ratio on the Phenotypic Plasticity of Stem Water Potential in Olive (Olea europaea L.). J. Exp. Bot. 2011, 62, 3535–3543. [Google Scholar] [CrossRef] [PubMed]
- Fernández, J.E. Understanding Olive Adaptation to Abiotic Stresses as a Tool to Increase Crop Performance. Environ. Exp. Bot. 2014, 103, 158–179. [Google Scholar] [CrossRef]
- Fernández, J.E.; Diaz-espejo, A.; Romero, R.; Hernandez-santana, V.; García, J.M.; Padilla-díaz, C.M.; Cuevas, M.V. Precision Irrigation in Olive (Olea europaea L.) Tree Orchards. In Water Scaricity and Sustainable Agriculture in Semiarid Environment; Garcia Tejero, I., Duaran Zuazo, V., Eds.; Academic Press: Cambridge, MA, USA, 2018; pp. 179–217. ISBN 9780128131640. [Google Scholar]
- Allen, R.G.; Pereira, L.S.; Raes, D.; Smith, M. FAO Irrigation and Drainage Paper No. 56-Crop Evapotranspiration; Food and Agriculture Organisation of the United Nations: Rome, Italy, 1998. [Google Scholar]
- Kokkotos, E.; Zotos, A.; Patakas, A. Evaluation of Water Stress Coefficient Ks in Different Olive Orchards. Agronomy 2020, 10, 1594. [Google Scholar] [CrossRef]
- Rallo, G.; Baiamonte, G.; Manzano Juárez, J.; Provenzano, G. Improvement of FAO-56 Model to Estimate Transpiration Fluxes of Drought Tolerant Crops under Soil Water Deficit: Application for Olive Groves. J. Irrig. Drain. Eng. 2014, 140, A4014001. [Google Scholar] [CrossRef]
- Xiloyannis, C.; Montanaro, G.; Dichio, B. Irrigation in Mediterranean Fruit Tree Orchards. In Irrigation Systems and Practices in Challenging Environments; Lee, T.S., Ed.; InTech: Rijeka, Croatia, 2012; ISBN 978-95351-0420-9. [Google Scholar]
- Lang, A.R.G. Osmotic Coefficients and Water Potentials of Sodium Chloride Solutions from 0 to 40 °C. Aust. J. Chem. 1967, 20, 2017–2023. [Google Scholar] [CrossRef]
- Ahumada-Orellana, L.; Ortega-Farías, S.; Poblete-Echeverría, C.; Searles, P.S. Estimation of Stomatal Conductance and Stem Water Potential Threshold Values for Water Stress in Olive Trees (Cv. Arbequina). Irrig. Sci. 2019, 37, 461–467. [Google Scholar] [CrossRef]
- Fernandez, J.E.; Palomo, M.J.; Diaz-Espejo, A.; Clothier, B.E.; Green, S.R.; Giron, I.F.; Moreno, F. Heat-Pulse Measurements of Sap Flow in Olives for Automating Irrigation: Tests, Root Ow and Diagnostics of Water Stress. Agric. Water Manag. 2001, 51, 99–123. [Google Scholar] [CrossRef]
- Burgess, S.S.O.; Adams, M.A.; Turner, N.C.; Beverly, C.R.; Ong, C.K.; Khan, A.A.H.; Bleby, T.M. An Improved Heat Pulse Method to Measure Low and Reverse Rates of Sap Flow in Woody Plants. Tree Physiol. 2001, 21, 589–598. [Google Scholar] [CrossRef]
- Nadezhdina, N.; Nadezhdin, V.; Ferreira, M.I.; Pitacco, A. Variability with Xylem Depth in Sap Flow in Trunks and Branches of Mature Olive Trees. Tree Physiol. 2007, 27, 105–113. [Google Scholar] [CrossRef]
- López-Bernal, Á.; Alcántara, E.; Testi, L.; Villalobos, F.J. Spatial Sap Flow and Xylem Anatomical Characteristics in Olive Trees under Different Irrigation Regimes. Tree Physiol. 2010, 30, 1536–1544. [Google Scholar] [CrossRef]
- Moreno, F.; Fernández, J.E.; Clothier, B.E.; Green, S.R. Transpiration and Root Water Uptake by Olive Trees. Plant Soil. 1996, 184, 85–96. [Google Scholar] [CrossRef]
- Fuentes, S.; Mahadevan, M.; Bonada, M.; Skewes, M.A.; Cox, J.W. Night-Time Sap Flow Is Parabolically Linked to Midday Water Potential for Field-Grown Almond Trees. Irrig. Sci. 2013, 31, 1265–1276. [Google Scholar] [CrossRef]
- López-Bernal, Á.; García-Tejera, O.; Vega, V.A.; Hidalgo, J.C.; Testi, L.; Orgaz, F.; Villalobos, F.J. Using Sap Flow Measurements to Estimate Net Assimilation in Olive Trees under Different Irrigation Regimes. Irrig. Sci. 2015, 33, 357–366. [Google Scholar] [CrossRef]
- Hernandez-Santana, V.; Fernández, J.E.; Rodriguez-Dominguez, C.M.; Romero, R.; Diaz-Espejo, A. The Dynamics of Radial Sap Flux Density Reflects Changes in Stomatal Conductance in Response to Soil and Air Water Deficit. Agric. For. Meteorol. 2016, 218–219, 92–101. [Google Scholar] [CrossRef]
- Villalobos, F.J.; Orgaz, F.; Mateos, L. Non-Destructive Measurement of Leaf Area in Olive (Olea europaea L.) Trees Using a Gap Inversion Method. Agric. For. Meteorol. 1995, 73, 29–42. [Google Scholar] [CrossRef]
- Kokkotos, E.; Zotos, A.; Tsirogiannis, G.; Patakas, A. Prediction of Olive Tree Water Requirements under Limited Soil Water Availability, Based on Sap Flow Estimations. Agronomy 2021, 11, 1318. [Google Scholar] [CrossRef]
- Diaz-Espejo, A.; Buckley, T.N.; Sperry, J.S.; Cuevas, M.v.; de Cires, A.; Elsayed-Farag, S.; Martin-Palomo, M.J.; Muriel, J.L.; Perez-Martin, A.; Rodriguez-Dominguez, C.M.; et al. Steps toward an Improvement in Process-Based Models of Water Use by Fruit Trees: A Case Study in Olive. Agric. Water Manag. 2012, 114, 37–49. [Google Scholar] [CrossRef]
- Ma, B.; Chen, J.; Zheng, H.; Fang, T.; Ogutu, C.; Li, S.; Han, Y.; Wu, B. Comparative Assessment of Sugar and Malic Acid Composition in Cultivated and Wild Apples. Food Chem. 2015, 172, 86–91. [Google Scholar] [CrossRef]
- Schaffer, A.A.; Nerson, H.; Zamski, E. Premature Leaf Chlorosis in Cucumber Associated with High Starch Accumulation. J. Plant Physiol. 1991, 138, 186–190. [Google Scholar] [CrossRef]
- Thomatou, A.A.; Psarra, E.; Mazarakioti, E.C.; Katerinopoulou, K.; Tsirogiannis, G.; Zotos, A.; Kontogeorgos, A.; Patakas, A.; Ladavos, A. Stable Isotope Analysis for the Discrimination of the Geographical Origin of Greek Bottarga ‘Avgotaracho Messolongiou’: A Preliminary Research. Foods 2022, 11, 2960. [Google Scholar] [CrossRef] [PubMed]
- Miserere, A.; Searles, P.S.; Manchó, G.; Maseda, P.H.; Rousseaux, M.C. Sap Flow Responses to Warming and Fruit Load in Young Olive Trees. Front. Plant Sci. 2019, 10, 1199. [Google Scholar] [CrossRef] [PubMed]
- Blanke, M.M. Regulatory Mechanisms in Source Sink Relationships in Plants-a Review. In Proceedings of the International Symposium on Source-Sink Relationships in Plants, Kaliningrad, Russia, 21–26 May 2007; Ron’zhina, E.S., Blanke, M., Eds.; ISHS, Acta Horticulturae 835. pp. 13–20. [Google Scholar]
- Martín-Vertedor, A.I.; Rodríguez, J.M.P.; Losada, H.P.; Castiel, E.F. Interactive Responses to Water Deficits and Crop Load in Olive (Olea europaea L., Cv. Morisca). II: Water Use, Fruit and Oil Yield. Agric. Water Manag. 2011, 98, 950–958. [Google Scholar] [CrossRef]
- Sandras, V.O.; Collins, M.; Soar, C.J. Modelling Variety-Dependent Dynamics of Soluble Solids and Water in Berries of Vitis Vinifera. Aust. J. Grape Wine Res. 2008, 14, 250–259. [Google Scholar] [CrossRef]
- Damatta, F.M.; Cunha, R.L.; Antunes, W.C.; Martins, S.C.V.; Araujo, W.L.; Fernie, A.R.; Moraes, G.A.B.K.; Damatta, F.M. In Field-Grown Coffee Trees Source-Sink Manipulation Alters Photosynthetic Rates, Independently of Carbon Metabolism, via Alterations in Stomatal Function. New Phytol. 2008, 178, 348–357. [Google Scholar] [CrossRef]
- Girona, J.; Behboudian, M.H.; Mata, M.; Del Campo, J.; Marsal, J. Exploring Six Reduced Irrigation Options under Water Shortage for ‘Golden Smoothee’ Apple: Responses of Yield Components over Three Years. Agric. Water Manag. 2010, 98, 370–375. [Google Scholar] [CrossRef]
- Naschitz, S.; Naor, A.; Genish, S.; Wolf, S.; Goldschmidt, E.E. Internal Management of Non-Structural Carbohydrate Resources in Apple Leaves and Branch Wood under a Broad Range of Sink and Source Manipulations. Tree Physiol. 2010, 30, 715–727. [Google Scholar] [CrossRef] [PubMed]
- Lopez, G.; Mata, M.; Arbones, A.; Solans, J.R.; Girona, J.; Marsal, J. Mitigation of Effects of Extreme Drought during Stage III of Peach Fruit Development by Summer Pruning and Fruit Thinning. Tree Physiol. 2006, 26, 469–477. [Google Scholar] [CrossRef] [PubMed]
- Dichio, B.; Xiloyannis, C.; Angelopoulos, K.; Nuzzo, V.; Bufo, S.A.; Celano, G. Drought-Induced Variations of Water Relations Parameters in Olea europaea. Plant Soil. 2003, 257, 381–389. [Google Scholar] [CrossRef]
- Moriana, A.; Orgaz, F.; Pastor, M.; Fereres, E. Yield Responses of a Mature Olive Orchard to Water Deficits. J. Am. Soc. Hortic. Sci. Jashs 2003, 128, 425–431. [Google Scholar] [CrossRef]
- Angelopoulos, K.; Dichio, B.; Xiloyannis, C. Inhibition of Photosynthesis in Olive Trees (Olea europaea L.) during Water Stress and Rewatering. J. Exp. Bot. 1996, 47, 1093–1100. [Google Scholar] [CrossRef]
- Naor, A. Irrigation Scheduling and Evaluation of Tree Water Status in Deciduous Orchards. In Horticultural Reviews; John Wiley & Sons: Hoboken, NJ, USA, 2006; pp. 111–165. ISBN 9780470767986. [Google Scholar]
- Drossopoulos, J.B.; Niavis, C.A. Seasonal Changes of the Metabolites in the Leaves, Bark and Xylem Tissues of Olive Tree (Olea europaea L.) II. Carbohydrates. Ann. Bot. 1988, 62, 321–327. [Google Scholar] [CrossRef]
- Li, W.D.; Li, S.H.; Yang, S.H.; Yang, J.M.; Zheng, X.B.; Li, X.D.; Yao, H.M. Photosynthesis in Response to Sink-Source Manipulations during Different Phenological Stages of Fruit Development in Peach Trees: Regulation by Stomatal Aperture and Leaf Temperature. J. Hortic. Sci. Biotechnol. 2005, 80, 481–487. [Google Scholar] [CrossRef]
- Smirnoff, N. Plant Resistance to Environmental Stress. Curr. Opin. Biotechnol. 1998, 9, 214–219. [Google Scholar] [CrossRef] [PubMed]
- Stoop, J.M.H.; Williamson, J.D.; Mason Pharr, D. Mannitol Metabolism in Plants: A Method for Coping with Stress. Trends Plant Sci. 1996, 1, 139–144. [Google Scholar] [CrossRef]
- Loescher, W.H.; Tyson, R.H.; Everard, J.D.; Redgwell, R.J.; Bieleski, R.L. Mannitol Synthesis in Higher Plants 1: Evidence for the Role and Characterization of a NADPH-Dependent Mannose 6-Phosphate Reductase. Plant Physiol. 1992, 98, 1396–1402. [Google Scholar] [CrossRef] [PubMed]
- Conde, C.; Silva, P.; Agasse, A.; Lemoine, R.; Delrot, S.; Tavares, R.; Gerós, H. Utilization and Transport of Mannitol in Olea europaea and Implications for Salt Stress Tolerance. Plant Cell Physiol. 2007, 48, 42–53. [Google Scholar] [CrossRef]
- Conde, C.; Delrot, S.; Gerós, H. Physiological, Biochemical and Molecular Changes Occurring during Olive Development and Ripening. J. Plant Physiol. 2008, 165, 1545–1562. [Google Scholar] [CrossRef]
- Kafkaletou, M.; Tsantili, E. Oil Content and Composition in Relation to Leaf Photosynthesis, Leaf Sugars and Fruit Sugars in Maturing Koroneiki Olives—The Mannitol Effect on Oil. J. Appl. Bot. Food Qual. 2016, 89, 1–10. [Google Scholar] [CrossRef]
- Ainsworth, E.A.; Rogers, A.; Nelson, R.; Long, S.P. Testing the “Source–Sink” Hypothesis of down-Regulation of Photosynthesis in Elevated [CO2] in the Field with Single Gene Substitutions in Glycine Max. Agric. For. Meteorol. 2004, 122, 85–94. [Google Scholar] [CrossRef]
- Sugiura, D.; Betsuyaku, E.; Terashima, I. Interspecific Differences in How Sink-Source Imbalance Causes Photosynthetic Downregulation among Three Legume Species. Ann. Bot. 2019, 123, 715–726. [Google Scholar] [CrossRef]
- Sugiura, D.; Betsuyaku, E.; Terashima, I. Manipulation of the Hypocotyl Sink Activity by Reciprocal Grafting of Two Raphanus Sativus Varieties: Its Effects on Morphological and Physiological Traits of Source Leaves and Whole-Plant Growth. Plant Cell Environ. 2015, 38, 2629–2640. [Google Scholar] [CrossRef] [PubMed]
- Sugiura, D.; Watanabe, C.K.A.; Betsuyaku, E.; Terashima, I. Sink–Source Balance and Down-Regulation of Photosynthesis in Raphanus Sativus: Effects of Grafting, N and CO2. Plant Cell Physiol. 2017, 58, 2043–2056. [Google Scholar] [CrossRef] [PubMed]
- Farquhar, G.D.; O’Leary, M.H.; Berry, J.A. On the Relationship Between Carbon Isotope Discrimination and the Intercellular Carbon Dioxide Concentration in Leaves. Funct. Plant Biol. 1982, 9, 121–137. [Google Scholar] [CrossRef]
- Evans, J.R.; Caemmerer, S.V.; Setchell, B.A.; Hudson, G.S. The Relationship Between CO2 Transfer Conductance and Leaf Anatomy in Transgenic Tobacco with a Reduced Content of Rubisco. Funct. Plant Biol. 1994, 21, 475–495. [Google Scholar] [CrossRef]
- Ding, N.; Chen, Q.; Zhu, Z.; Peng, L.; Ge, S.; Jiang, Y. Effects of Crop Load on Distribution and Utilization of 13C and 15N and Fruit Quality for Dwarf Apple Trees. Sci. Rep. 2017, 7, 14172. [Google Scholar] [CrossRef]










| Experimental Year | Fruit Production (kg/Hectare) | LAI | Average ETo (mm) from DOY 204 to DOY 278 |
|---|---|---|---|
| 2021 | 3430 ± 158 | 2.80 | 5.22 ± 0.13 |
| 2022 | 20,400 ± 325 * | 2.82 ns | 4.83 ± 0.12 * |
Disclaimer/Publisher’s Note: The statements, opinions and data contained in all publications are solely those of the individual author(s) and contributor(s) and not of MDPI and/or the editor(s). MDPI and/or the editor(s) disclaim responsibility for any injury to people or property resulting from any ideas, methods, instructions or products referred to in the content. |
© 2024 by the authors. Licensee MDPI, Basel, Switzerland. This article is an open access article distributed under the terms and conditions of the Creative Commons Attribution (CC BY) license (https://creativecommons.org/licenses/by/4.0/).
Share and Cite
Kokkotos, E.; Zotos, A.; Patakas, A. The Ecophysiological Response of Olive Trees under Different Fruit Loads. Life 2024, 14, 128. https://doi.org/10.3390/life14010128
Kokkotos E, Zotos A, Patakas A. The Ecophysiological Response of Olive Trees under Different Fruit Loads. Life. 2024; 14(1):128. https://doi.org/10.3390/life14010128
Chicago/Turabian StyleKokkotos, Efthymios, Anastasios Zotos, and Angelos Patakas. 2024. "The Ecophysiological Response of Olive Trees under Different Fruit Loads" Life 14, no. 1: 128. https://doi.org/10.3390/life14010128
APA StyleKokkotos, E., Zotos, A., & Patakas, A. (2024). The Ecophysiological Response of Olive Trees under Different Fruit Loads. Life, 14(1), 128. https://doi.org/10.3390/life14010128

