Evaluation of Rice Straw, Corncob, and Soybean Straw as Substrates for the Cultivation of Lepista sordida
Abstract
1. Introduction
2. Materials and Methods
2.1. Lepista Sordida Strain
2.2. Molecular Biological Verification of the Wild Strain
2.3. Substrate Preparation
2.4. Proximate Components of the Main Substrates
2.5. Cultivation Methods and Investigation of Agronomic Traits
2.6. Chemical Analysis
2.7. Statistical Analysis
3. Results
3.1. Strain Identification and Phylogeny
3.2. Components of the Main Substrates
3.3. Mycelial Growth and Development
3.4. Fruiting of Lepista sordida Grown on Different Substrates
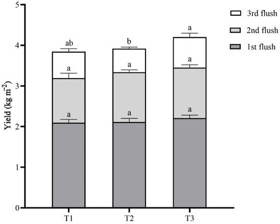
3.5. Yield and Biological Efficiency
3.6. Nutritional Components of the Lepista sordida Mushrooms
3.7. The Heavy Metal Composition of the Mushrooms
4. Discussion
5. Conclusions
Supplementary Materials
Author Contributions
Funding
Institutional Review Board Statement
Informed Consent Statement
Data Availability Statement
Acknowledgments
Conflicts of Interest
References
- Atik, R. Newly recorded Lepista sordida (Schumach.) Singer (Agaricales: Tricholomataceae) for Indonesia. Floribunda 2019, 6, 81–84. [Google Scholar]
- De, J.; Nandi, S.; Acharya, K. A review on blewit mushrooms (Lepista sp.) transition from farm to pharm. J. Food Process. Preserv. 2022, 46, 17028. [Google Scholar] [CrossRef]
- Thongbai, B.; Wittstein, K.; Richter, C.; Steven, L.M.; Kevin, D.H.; Naritsada, T.; Namphung, K.; Ekachai, C.; Marc, S. Successful cultivation of a valuable wild strain of Lepista sordida from Thailand. Mycol. Prog. 2017, 16, 311–323. [Google Scholar] [CrossRef]
- Li, Y.; Li, T.H.; Yang, Z.L.; Bau, T.; Dai, Y.C. Atlas of Chinese Macrofungal Resources, 1st ed.; Zhongyuan Farmers Publishing House: Zhengzhou, China, 2015; pp. 907–908. [Google Scholar]
- Putra, I.P.; Hermawan, R.; Sibero, M.T.; Sari, A.A.P.; Nurhayat, O.D. Morphological and molecular study of Lepista sordida in Indonesia. Philipp. J. Sci. 2022, 151, 1333–1336. [Google Scholar] [CrossRef]
- El-Fallal, A.A.; El- Sayed, A.K.A.; El-Gharabawy, H.M. First record of Lepista sordida (Schumach.) Singer in eastern north Africa. Egypt. J. Bot. 2017, 57, 111–118. [Google Scholar] [CrossRef][Green Version]
- Wang, S.Y.; Guo, H.B.; Li, J.J.; Li, W.; Wang, Q.; Yu, X.D. Evaluation of five regions as DNA barcodes for identification of Lepista species (Tricholomataceae, Basidiomycota) from China. PeerJ 2019, 7, 7307. [Google Scholar] [CrossRef]
- Luo, X.Y.; Hong, J.; Zhang, Y.M. Study of trace elements in Lepista sordida. Edible Fungi China 2003, 22, 43–44. [Google Scholar]
- Li, H.; Zhang, X.W.; Bao, J.; Cai, F.G.; Niu, L.L. Analysis and evaluation of nutritional contents in Lepista sordid cultivated with tea tree sawdust. Edible Fungi China 2023, 42, 62–67. [Google Scholar]
- Zhang, J.X.; Cai, W.M.; Huang, C.Y. The Cultivation of Edible Fungi in China, 1st ed.; China Agricultural Press: Beijing, China, 2020; pp. 3–24. [Google Scholar]
- Lu, C.Y.; Li, H.M.; Zhong, Y.J. Biological research on Lepista sordida cultivation. Chin. J. Ecol. 1994, 4, 37–41. [Google Scholar]
- Xiao, Y.Z.; Zhao, J.Z. Techniques for artificial culture of mushroom (Lepista sordida). J. Northeast. Agric. Univ. 1995, 26, 7–12. [Google Scholar]
- Tian, G.T.; Yang, Q.F.; Xu, X.Z. A study on the domestication cultivation of Lepista sordida. Acta Edulis Fungi 2003, 10, 52–56. [Google Scholar]
- Lun, Z.M. Artificial Cultivation and Polysaccharide Structure Analysis of Lepista sordida. Ph.D. Thesis, Northeast Forestry University, Harbin, China, 2014. [Google Scholar]
- Li, W.S.; Lue, Y.S.; Wu, T.Y.; Tsai, S.J.; Chen, M.H. Domestication of native Lepista sordida (Fr.) Singer in Taiwan. J. Taiwan Agric. Res. 2014, 63, 216–224. [Google Scholar]
- Zhou, H.M.; Zhang, Y.Z.; Chai, H.M.; Zhang, X.L.; Luo, W.D.; Liu, D.Q.; Ji, L.J. Biological characteristics and cultivation of a wild-type Lepista sordida strain. Acta Edulis Fungi 2017, 24, 39–44. [Google Scholar] [CrossRef]
- Xu, D.; Zhao, H.; Li, B.; Sun, C.Q.; Wang, Z.D.; Ma, J. Artificial cultivation of a novel wild strain of Lepista sordida (sowerby) pat from south west China. Bangladesh J. Bot. 2021, 50, 813–818. [Google Scholar] [CrossRef]
- Sheng, C.G.; Pan, C.L.; Wang, Y.F.; Ma, Y.P.; Wang, F.; Shi, L.; Wang, S.R.; Wang, J.H.; Liu, S.Q.; Zhang, P.; et al. Turn waste into treasure: Spent substrates of Auricularia heimuer can be used as the substrate for Lepista sordida cultivation. Horticulturae 2023, 9, 1074. [Google Scholar] [CrossRef]
- Zhang, T.P. Study on Comprehensive Utilization Status and Development Strategy of Crop Straws in Heilongjiang Province. Master’s Thesis, Northeast Agricultural University, Harbin, China, 2021. [Google Scholar]
- Zhou, Y.; Li, Z.; Xu, C.; Pan, J.; Zhang, H.; Hu, Q.; Zou, Y. Evaluation of corn stalk as a substrate to cultivate King Oyster Mushroom (Pleurotus eryngii). Horticulturae 2023, 9, 319. [Google Scholar] [CrossRef]
- Xu, S.; Wang, F.; Fu, Y.; Li, D.; Sun, X.; Li, C.; Li, Y. Effects of Mixed Agro-residues (corn crop waste) on Lignin-degrading Enzyme Activities, Growth, and Quality of Lentinula edodes. RSC Adv. 2020, 10, 9798–9807. [Google Scholar] [CrossRef]
- Dundar, A.; Acay, H.; Yildiz, A. Effect of using different lignocellulosic wastes for cultivation of Pleurotus ostreatus (Jacq.) P. Kumm. on mushroom yield, chemical composition and nutritional value. Afr. J. Biotechnol. 2009, 8, 662–666. [Google Scholar]
- Van Soest, P.J.; Robertson, J.B.; Lewis, B.A. Methods for dietary fiber, neutral detergent fiber and non-starch polysaccharides in relation to animal nutrition. J. Dairy Sci. 1991, 74, 3583–3597. [Google Scholar] [CrossRef]
- Van Soest, P.J. Collaborative study of acid-detergent fiber and lignin. J. Assoc. Off. Anal. Chem. 1973, 56, 781–784. [Google Scholar] [CrossRef]
- NY/T 1676–2023; Determination of Crude Polysaccharides in Edible Mushrooms by Spectrophotometry. China Agriculture Press: Beijing, China, 2023.
- GB 5009.6; National Food Safety Standard—Determination of Fat in Food. China Agriculture Press: Beijing, China, 2016.
- GB/T 5009.10; Determination of Crude Fiber in Plant-Based Foods. Standards Press of China: Beijing, China, 2003.
- GB 5009.5; National Food Safety Standard—Determination of Protein in Food. Standards Press of China: Beijing, China, 2016.
- GB 5009.4; National Food Safety Standard—Determination of Ash Content in Food. Standards Press of China: Beijing, China, 2016.
- Li, X.Y.; Chen, G.S.; Li, X.J.; Yao, F.J. Three Pleurotus mushroom species cultivated in a mixed Phragmites australis substrate differ in nutrient utilization capacity. J. Food Compos. Anal. 2023, 115, 104924. [Google Scholar] [CrossRef]
- GB 5009.12; National Food Safety Standard—Determination of Lead in Food. Standards Press of China: Beijing, China, 2023.
- GB 5009.11; National Food Safety Standard—Determination of Total Arsenic and Inorganic Arsenic in Food. Standards Press of China: Beijing, China, 2014.
- GB 5009.17; National Food Safety Standard—Determination of Total Mercury and Organic Mercury in Food. Standards Press of China: Beijing, China, 2021.
- GB 5009.15; National Food Safety Standard—Determination of Cadmium in Food. Standards Press of China: Beijing, China, 2014.
- Ejigu, N.; Sitotaw, B.; Girmay, S.; Assaye, H. Evaluation of oyster mushroom (Pleurotus ostreatus) production using water hyacinth (Eichhornia crassipes) biomass supplemented with agricultural wastes. Int. J. Food Sci. 2022, 2022, 9289043. [Google Scholar] [CrossRef] [PubMed]
- Mahari, W.A.W.; Peng, W.X.; Nam, W.L.; Yang, H.; Lee, X.Y.; Lee, Y.K.; Liew, R.K.; Ma, N.L.; Mohammad, A.; Sonne, C.; et al. A review on valorization of oyster mushroom and waste generated in the mushroom cultivation industry. J. Hazard. Mater. 2020, 400, 123156. [Google Scholar] [CrossRef] [PubMed]
- Shen, M.; Yuan, Y.; Song, X.Y.; Wang, B.J.; Zheng, Q.P.; Wang, R.S.; Zhang, M.; Yao, X.T. Analysis of nutrient composition of 6 kinds of forest and fruittrees sawdust and its effect on the growth of edible fungi. Acta Agric. Shanghai 2021, 37, 74–80. [Google Scholar] [CrossRef]
- Zhang, Y.F.; Yang, X.B. Comparison of growth of Grifola frondosa mycelium on substrate with different ratios of carbon to nitrogen. North. Hortic. 2017, 3, 151–155. [Google Scholar] [CrossRef]
- Ma, L.; Yang, C.; Xiao, D.L.; Liu, X.Y.; Jiang, X.L.; Ying, Z.H.; Lin, Y.Q. Effects of different substrate carbon to nitrogen ratio (C/N) on the growth and development of Sparassis latifolia. Mycosystema 2021, 40, 3196–3213. [Google Scholar]
- Rizki, M.; Tamai, Y. Effects of different nitrogen rich substrates and their combination to the yield performance of oyster mushroom (Pleurotus ostreatus). World J. Microbiol. Biotechnol. 2011, 27, 1695–1702. [Google Scholar] [CrossRef]
- Miao, S.S.; Mao, X.H.; Pei, R.; Miao, S.P.; Xiang, C.; Lv, Y.J.; Yang, X.G.; Sun, J.; Jia, S.S.; Liu, Y.P. Lepista sordida polysaccharide induces apoptosis of Hep-2 cancer cells via mitochondrial pathway. Int. J. Biol. Macromol. 2013, 61, 97–101. [Google Scholar] [CrossRef]
- Luo, Q.; Sun, Q.; Wu, L.S.; Yang, Z.R. Structural characterization of an immunoregulatory polysaccharide from the fruiting bodies of Lepista sordida. Carbohyd. Polym. 2012, 88, 820–824. [Google Scholar] [CrossRef]
- Zhong, W.Q.; Liu, N.; Xie, Y.G. Antioxidant and anti-aging activities of mycelial polysaccharides from Lepista sordida. Int. J. Biol. Macromol. 2013, 60, 355–359. [Google Scholar] [CrossRef]
- Xu, Y.Y.; Li, Y.H.; Lu, Y.X.; Feng, X.B.; Tian, G.T.; Liu, Q.H. Antioxidative and hepatoprotective activities of a novel polysaccharide (LSAP) from Lepista sordida mycelia. Food Sci. Hum. Well. 2021, 10, 536–544. [Google Scholar] [CrossRef]
- Li, X.Y.; Chen, G.S.; Ezemaduka, A.N.; Luo, N.N.; Yu, H. The yields and quality of golden oyster mushroom cultivated on common reed substrates. J. Food Compos. Anal. 2023, 121, 105331. [Google Scholar] [CrossRef]
- Zou, Y.J.; Du, F.; Zhang, H.J.; Hu, Q.X. Evaluation of Korshinsk Peashrub (Caragana korshinskii Kom.) as a substrate for the cultivation of Pleurotus eryngii. Waste Biomass Valori. 2019, 10, 2879–2885. [Google Scholar] [CrossRef]
- Guo, X.; Li, Z.J.; Liu, J.Y.; Du, B.L.; Wang, G. Fungus chaff study on cultivation technology of Oudemansiella raphanipes. For. Sci. Technol. 2019, 44, 47–49. [Google Scholar]
- Meng, L.; Fu, Y.; Li, D.; Sun, X.; Chen, Y.; Li, X.; Li, Y. Effects of corn stalk cultivation substrate on the growth of the slippery mushroom (Pholiota microspora). RSC Adv. 2019, 9, 5347–5353. [Google Scholar] [CrossRef] [PubMed]
- Lu, C.Y.; Zhong, Y.J.; Rao, L.Q. The nutrient constituents analyses on three species of wild edible mushrooms domesticated. Jishou Univ. Nat. Sci. Ed. 1993, 14, 38–41. [Google Scholar]
- Reis, F.S.; Barros, L.; Martins, A.; Ferreira, I.C.F.R. Chemical composition and nutritional value of the most widely appreciated cultivated mushrooms: An inter-species comparative study. Food Chem. Toxicol. 2012, 50, 191–197. [Google Scholar] [CrossRef] [PubMed]
- Gupta, A.; Sharma, S.; Saha, S.; Walia, S. Yield and nutritional content of Pleurotus sajor caju on wheat straw supplemented with raw and detoxified mahua cake. Food Chem. 2013, 141, 4231–4239. [Google Scholar] [CrossRef]
- Kumar, V.; Kumar, P.; Singh, J.; Kumar, P. Use of sugar mill wastewater for Agaricus bisporus cultivation: Prediction models for trace metal uptake and health risk assessment. Environ. Sci. Pollut. Res. 2021, 28, 26923–26934. [Google Scholar] [CrossRef]
- Skalicka-Woźniak, K.; Szypowski, J.; Łoś, R.; Siwulski, M.; Sobieralski, K.; Głowniak, K.; Malm, A. Evaluation of polysaccharides content in fruit bodies and their antimicrobial activity of four Ganoderma lucidum (W Curt.: Fr.) P. Karst. strains cultivated on different wood type substrates. Acta Soc. Bot. 2012, 81, 17–21. [Google Scholar] [CrossRef]
- Abou Fayssal, S.; El Sebaaly, Z.; Alsanad, M.A.; Najjar, R.; Bohme, M.; Yordanova, M.H.; Sassine, Y.N. Combined effect of olive pruning residues and spent coffee grounds on Pleurotus ostreatus production, composition, and nutritional value. PLoS ONE 2021, 16, 0255794. [Google Scholar] [CrossRef] [PubMed]
- Xu, F.; Li, Z.M.; Liu, Y.; Rong, C.B.; Wang, S.X. Evaluation of edible mushroom Oudemansiella canarii cultivation on different lignocellulosic substrates. Saudi J. Biol. Sci. 2016, 23, 607–613. [Google Scholar] [CrossRef] [PubMed]
- Svoboda, L.; Zimmermannová, K.; Kalač, P. Concentrations of mercury, cadmium, lead and copper in fruiting bodies of edible mushrooms in an emission area of a copper smelter and a mercury smelter. Sci. Total Environ. 2000, 246, 61–67. [Google Scholar] [CrossRef] [PubMed]
- Liu, B.R.; Huang, Q.; Cai, H.J.; Guo, X.; Wang, T.T.; Gui, M.Y. Study of heavy metal concentrations in wild edible mushrooms in Yunnan Province, China. Food Chem. 2015, 188, 294–300. [Google Scholar] [CrossRef]
- GB2762-2022; National Food Safety Standard—Limit of Pollutants in Food. Standards Press of China: Beijing, China, 2022.







| Material | Treatment Group | ||
|---|---|---|---|
| T1 | T2 | T3 | |
| Rice straw | 56 | 0 | 0 |
| Corncob | 0 | 56 | 0 |
| Soybean straw | 0 | 0 | 56 |
| Cow dung | 40 | 40 | 40 |
| Lime | 2 | 2 | 2 |
| Gypsum | 1 | 1 | 1 |
| Calcium superphosphate | 1 | 1 | 1 |
| Material | Cellulose (%) | Hemicellulose (%) | Lignin (%) | C (%) | N (%) | C/N |
|---|---|---|---|---|---|---|
| Rice straw | 35.94 ± 1.58 | 26.27 ± 0.92 | 7.57 ± 0.47 | 41.50 ± 2.00 | 0.63 ± 0.03 | 65.87:1 |
| Corncob | 38.53± 1.38 | 21.73 ± 1.10 | 5.94 ± 0.59 | 30.80 ± 1.43 | 0.35 ± 0.03 | 88.00:1 |
| Soybean stalks | 33.13 ± 1.84 | 14.21 ± 0.56 | 27.65 ± 0.89 | 40.25 ± 0.95 | 1.24 ± 0.05 | 32.46:1 |
| Treatment Group | Fresh Weight of the Mushrooms by Flushes (kg m−2) | BE (%) | |||
|---|---|---|---|---|---|
| First Flush | Second Flush | Third Flush | Total Fresh Weight (kg m−2) | ||
| T1 | 2.10 ± 0.08 a | 1.10 ± 0.12 a | 0.65 ± 0.07 ab | 3.84 ± 0.12 b | 29.56 ± 0.89 b |
| T2 | 2.11 ± 0.09 a | 1.23 ± 0.06 a | 0.58 ± 0.04 b | 3.92 ± 0.12 ab | 30.15 ± 0.93 ab |
| T3 | 2.21 ± 0.08 a | 1.25 ± 0.07 a | 0.75 ± 0.10 a | 4.20 ± 0.23 a | 32.33 ± 1.78 a |
| Treatment Group | As (mg kg−1) | Pb (mg kg−1) | Cd (mg kg−1) | Hg (mg kg−1) |
|---|---|---|---|---|
| T1 | 0.37 ± 0.01 c | 0.30 ± 0.02 c | 0.44 ± 0.03 a | 0.039 ± 0.001 b |
| T2 | 0.53 ± 0.01 a | 0.55 ± 0.01 a | 0.46 ± 0.01 a | 0.143 ± 0.006 a |
| T3 | 0.47 ± 0.01 b | 0.43 ± 0.02 b | 0.45 ± 0.01 a | 0.140 ± 0.000 a |
Disclaimer/Publisher’s Note: The statements, opinions and data contained in all publications are solely those of the individual author(s) and contributor(s) and not of MDPI and/or the editor(s). MDPI and/or the editor(s) disclaim responsibility for any injury to people or property resulting from any ideas, methods, instructions or products referred to in the content. |
© 2024 by the authors. Licensee MDPI, Basel, Switzerland. This article is an open access article distributed under the terms and conditions of the Creative Commons Attribution (CC BY) license (https://creativecommons.org/licenses/by/4.0/).
Share and Cite
Sheng, C.; Wang, Y.; Pan, C.; Shi, L.; Wang, Y.; Ma, Y.; Wang, J.; Zhao, J.; Zhang, P.; Liu, Z.; et al. Evaluation of Rice Straw, Corncob, and Soybean Straw as Substrates for the Cultivation of Lepista sordida. Life 2024, 14, 101. https://doi.org/10.3390/life14010101
Sheng C, Wang Y, Pan C, Shi L, Wang Y, Ma Y, Wang J, Zhao J, Zhang P, Liu Z, et al. Evaluation of Rice Straw, Corncob, and Soybean Straw as Substrates for the Cultivation of Lepista sordida. Life. 2024; 14(1):101. https://doi.org/10.3390/life14010101
Chicago/Turabian StyleSheng, Chunge, Yanfeng Wang, Chunlei Pan, Lei Shi, Yuanhang Wang, Yinpeng Ma, Jinhe Wang, Jing Zhao, Peng Zhang, Zitong Liu, and et al. 2024. "Evaluation of Rice Straw, Corncob, and Soybean Straw as Substrates for the Cultivation of Lepista sordida" Life 14, no. 1: 101. https://doi.org/10.3390/life14010101
APA StyleSheng, C., Wang, Y., Pan, C., Shi, L., Wang, Y., Ma, Y., Wang, J., Zhao, J., Zhang, P., Liu, Z., Yu, H., Wang, F., Dong, X., & Yan, S. (2024). Evaluation of Rice Straw, Corncob, and Soybean Straw as Substrates for the Cultivation of Lepista sordida. Life, 14(1), 101. https://doi.org/10.3390/life14010101

