Validation of the NAT Chagas IVD Kit for the Detection and Quantification of Trypanosoma cruzi in Blood Samples of Patients with Chagas Disease
Abstract
1. Introduction
2. Materials and Methods
3. Results
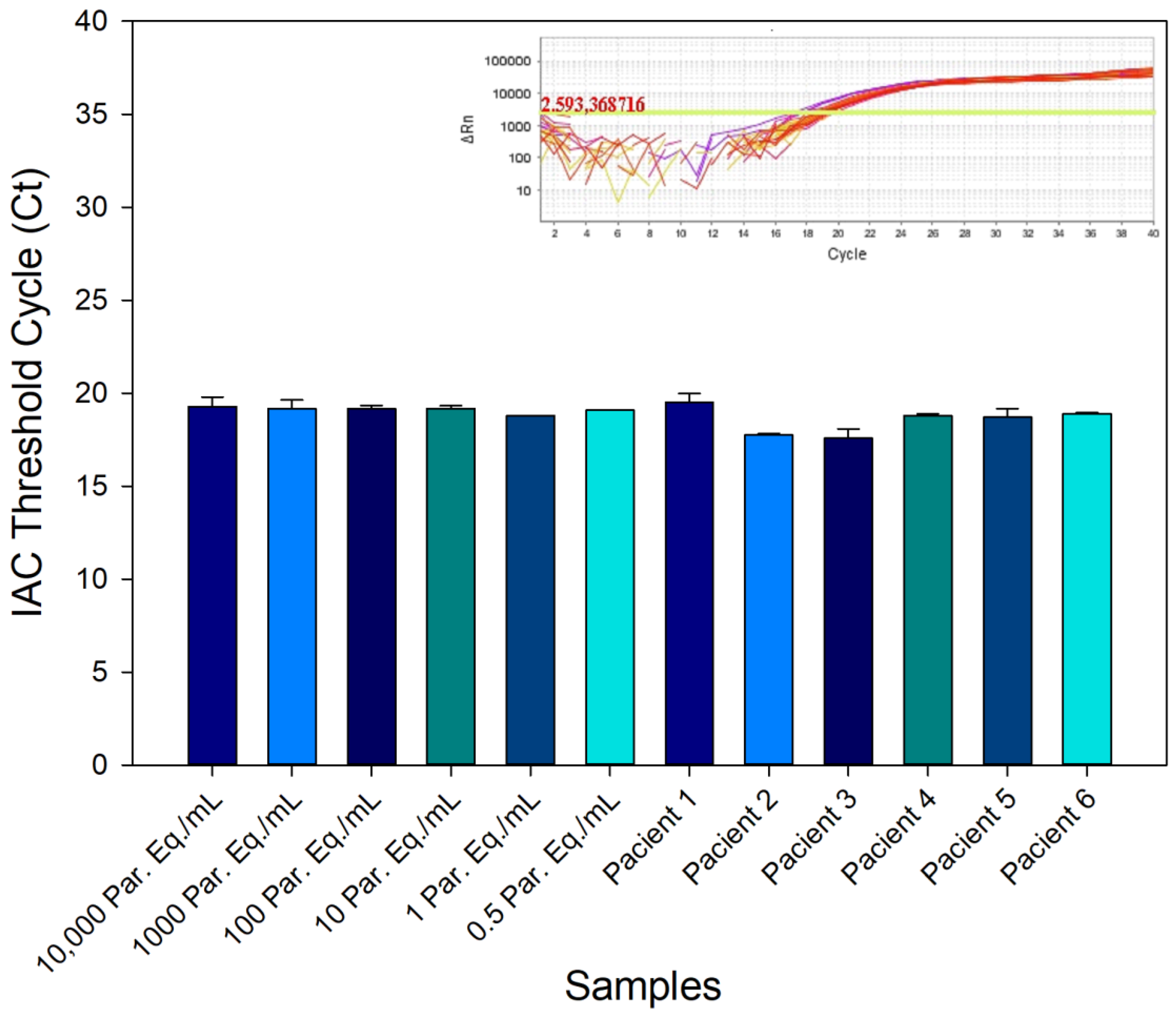
3.1. Analytical Validation
3.2. Clinical Validation
4. Discussion
5. Conclusions
Supplementary Materials
Author Contributions
Funding
Institutional Review Board Statement
Informed Consent Statement
Data Availability Statement
Acknowledgments
Conflicts of Interest
References
- World Health Organization. Chagas Disease (American Trypanosomiasis). Available online: https://www.who.int/health-topics/chagas-disease (accessed on 29 November 2022).
- Alarcón de Noya, B.; Jackson, Y. Chagas Disease Epidemiology: From Latin America to the World. In Chagas Disease; Pinazo Delgado, M.J., Gascón, J., Eds.; Springer: Cham, Switzerland, 2020; pp. 27–36. [Google Scholar]
- Rassi, A.; Rassi, A.; Marcondes de Rezende, J. American Trypanosomiasis (Chagas Disease). Infect. Dis. Clin. N. Am. 2012, 26, 275–291. [Google Scholar] [CrossRef]
- Antinori, S.; Corbellino, M. Chagas Disease in Europe: A Long Way to Go. Eur. J. Intern. Med. 2018, 48, e29–e30. [Google Scholar] [CrossRef]
- Bern, C.; Messenger, L.A.; Whitman, J.D.; Maguire, J.H. Chagas Disease in the United States: A Public Health Approach. Clin. Microbiol. Rev. 2019, 33, e00023-19. [Google Scholar] [CrossRef]
- Dias, J.C.P.; Ramos, A.N.; Gontijo, E.D.; Luquetti, A.; Shikanai-Yasuda, M.A.; Coura, J.R.; Torres, R.M.; Melo, J.R.D.C.; De Almeida, E.A.; De Oliveira Junior, W.; et al. 2nd Brazilian Consensus on Chagas Disease, 2015. Rev. Soc. Bras. Med. Trop. 2016, 25, 7–86. [Google Scholar]
- Schijman, A.G.; Alonso-Padilla, J.; Longhi, S.A.; Picado, A. Parasitological, Serological and Molecular Diagnosis of Acute and Chronic Chagas Disease: From Field to Laboratory. Mem. Inst. Oswaldo Cruz 2021, 117, e200444. [Google Scholar] [CrossRef]
- Ordóñez, D.; Fernández-Soto, P.; Fernández-Martín, A.M.; Crego-Vicente, B.; Febrer-Sendra, B.; Diego, J.G.B.; Vicente, B.; López-Abán, J.; Belhassen-García, M.; Muro, A.; et al. A Trypanosoma cruzi Genome Tandem Repetitive Satellite DNA Sequence as a Molecular Marker for a LAMP Assay for Diagnosing Chagas’ Disease. Dis. Markers 2020, 2020, 8074314. [Google Scholar] [CrossRef]
- PAHO—Organización Panamericana de la Salud. Síntesis de evidencia: Guía para el diagnóstico y el tratamiento de la enfermedad de Chagas. Rev. Panam. Salud Publica 2020, 44, e28. [Google Scholar]
- Moser, D.R.; Kirchhoff, L.V.; Donelson, J.E. Detection of Trypanosoma cruzi by DNA Amplification Using the Polymerase Chain Reaction. J. Clin. Microbiol. 1989, 27, 1477–1482. [Google Scholar] [CrossRef]
- Avila, H.A.; Pereira, J.B.; Thiemann, O.; De Paiva, E.; Degrave, W.; Morel, C.M.; Simpson, L. Detection of Trypanosoma cruzi in Blood Specimens of Chronic Chagasic Patients by Polymerase Chain Reaction Amplification of Kinetoplast Minicircle DNA: Comparison with Serology and Xenodiagnosis. J. Clin. Microbiol. 1993, 31, 2421–2426. [Google Scholar] [CrossRef]
- Britto, C.; Cardoso, M.A.; Ravel, C.; Santoro, A.; Pereira, J.B.; Coura, J.R.; Morel, C.M.; Wincker, P. Trypanosoma cruzi: Parasite Detection and Strain Discrimination in Chronic Chagasic Patients from Northeastern Brazil Using PCR Amplification of Kinetoplast DNA and Nonradioactive Hybridization. Exp. Parasitol. 1995, 81, 462–471. [Google Scholar] [CrossRef]
- Britto, C.C. Usefulness of PCR-Based Assays to Assess Drug Efficacy in Chagas Disease Chemotherapy: Value and Limitations. Mem. Inst. Oswaldo Cruz 2009, 104, 122–135. [Google Scholar] [CrossRef]
- Balouz, V.; Agüero, F.; Buscaglia, C.A. Chagas Disease Diagnostic Applications: Present Knowledge and Future Steps. Adv. Parasitol. 2017, 97, 1–45. [Google Scholar]
- Schijman, A.G.; Altcheh, J.; Burgos, J.M.; Biancardi, M.; Bisio, M.; Levin, M.J.; Freilij, H. Aetiological Treatment of Congenital Chagas’ Disease Diagnosed and Monitored by the Polymerase Chain Reaction. J. Antimicrob. Chem. 2003, 52, 441–449. [Google Scholar] [CrossRef]
- Bua, J.; Volta, B.J.; Perrone, A.E.; Scollo, K.; Velázquez, E.B.; Ruiz, A.M.; De Rissio, A.M.; Cardoni, R.L. How to Improve the Early Diagnosis of Trypanosoma cruzi Infection: Relationship between Validated Conventional Diagnosis and Quantitative DNA Amplification in Congenitally Infected Children. PLoS Negl. Trop. Dis. 2013, 7, e2476. [Google Scholar] [CrossRef]
- Cura, C.I.; Ramírez, J.C.; Rodríguez, M.; Lopez-Albízu, C.; Irazu, L.; Scollo, K.; Sosa-Estani, S. Comparative Study and Analytical Verification of PCR Methods for the Diagnosis of Congenital Chagas Disease. J. Mol. Diag. 2017, 19, 673–681. [Google Scholar] [CrossRef]
- Shikanai-Yasuda, M.A.; Carvalho, N.B. Oral Transmission of Chagas Disease. Clin. Infec. Dis. 2012, 54, 845–852. [Google Scholar] [CrossRef]
- de Noya, B.A.; González, O.N. An Ecological Overview on the Factors That Drives to Trypanosoma cruzi Oral Transmission. Acta Trop. 2015, 151, 94–102. [Google Scholar] [CrossRef]
- Ferreira, R.T.B.; Cabral, M.L.; Martins, R.S.; Araujo, P.F.; Da Silva, S.A.; Britto, C.; Branquinho, M.R.; Cardarelli-Leite, P.; Moreira, O.C. Detection and Genotyping of Trypanosoma cruzi from Açai Products Commercialized in Rio de Janeiro and Pará, Brazil. Parasites Vectors 2018, 11, 233. [Google Scholar] [CrossRef]
- Finamore-Araujo, P.; Faier-Pereira, A.; Ramon do Nascimento Brito, C.; Gomes Peres, E.; Kazumy de Lima Yamaguchi, K.; Trotta Barroso Ferreira, R.; Moreira, O.C. Validation of a novel multiplex real-time PCR assay for Trypanosoma cruzi detection and quantification in açai pulp. PLoS ONE 2021, 16, e0246435. [Google Scholar] [CrossRef]
- Diez, M.; Favaloro, L.; Bertolotti, A.; Burgos, J.M.; Vigliano, C.; Lastra, M.P.; Levin, M.J.; Arnedo, A.; Nagel, C.; Schijman, A.G.; et al. Usefulness of PCR strategies for early diagnosis of Chagas’ disease reactivation and treatment follow-up in heart transplantation. Am. J. Transplant. 2007, 7, 1633–1640. [Google Scholar] [CrossRef]
- Cura, C.I.; Lattes, R.; Nagel, C.; Gimenez, M.J.; Blanes, M.; Calabuig, E.; Iranzo, A.; Barcan, L.A.; Anders, M.; Schijman, A.G. Early molecular diagnosis of acute Chagas disease after transplantation with organs from Trypanosoma cruzi-infected donors. Am. J. Transplant. 2013, 13, 3253–3261. [Google Scholar] [CrossRef] [PubMed]
- Burgos, J.M.; Diez, M.; Vigliano, C.; Bisio, M.; Risso, M.; Duffy, T.; Cura, C.; Brusses, B.; Favaloro, L.; Leguizamon, M.S.; et al. Molecular identification of Trypanosoma cruzi discrete typing units in end-stage chronic Chagas heart disease and reactivation after heart transplantation. Clin. Infect. Dis. 2010, 51, 485–495. [Google Scholar] [CrossRef] [PubMed]
- de Freitas, V.L.; da Silva, S.C.; Sartori, A.M.; Bezerra, R.C.; Westphalen, E.V.; Molina, T.D.; Teixeira, A.R.; Ibrahim, K.Y.; Shikanai-Yasuda, M.A. Real-time PCR in HIV/Trypanosoma cruzi coinfection with and without Chagas disease reactivation: Association with HIV viral load and CD4 level. PLoS Negl. Trop. Dis. 2011, 5, e1277. [Google Scholar] [CrossRef]
- Schijman, A.G. Molecular Diagnosis of Trypanosoma cruzi. Acta Trop. 2018, 184, 59–66. [Google Scholar] [CrossRef] [PubMed]
- CDC—Centers for Disease Control and Prevention. American Tripanosomiasis. Available online: https://www.cdc.gov/dpdx/trypanosomiasisAmerican/index.html (accessed on 29 November 2021).
- Brasil, P.E.; De Castro, L.; Hasslocher-Moreno, A.M.; Sangenis, L.H.; Braga, J.U. ELISA versus PCR for Diagnosis of Chronic Chagas Disease: Systematic Review and Meta-Analysis. BMC Infect. Dis. 2010, 10, 337. [Google Scholar] [CrossRef]
- Ramírez, J.D.; Guhl, F.; Umezawa, E.S.; Morillo, C.A.; Rosas, F.; Marin-Neto, J.A.; Restrepo, S. Evaluation of adult chronic Chagas’ heart disease diagnosis by molecular and serological methods. J. Clin. Microbiol. 2009, 47, 3945–3951. [Google Scholar] [CrossRef]
- Piron, M.; Fisa, R.; Casamitjana, N.; López-Chejade, P.; Puig, L.; Vergés, M.; Gascón, J.; Prat, J.G.i.; Portús, M.; Sauleda, S. Development of a Real-Time PCR Assay for Trypanosoma cruzi Detection in Blood Samples. Acta Trop. 2007, 103, 195–200. [Google Scholar] [CrossRef]
- Duffy, T.; Bisio, M.; Altcheh, J.; Burgos, J.M.; Diez, M.; Levin, M.J.; Favaloro, R.R.; Freilij, H.; Schijman, A.G. Accurate Real-Time PCR Strategy for Monitoring Bloodstream Parasitic Loads in Chagas Disease Patients. PLoS Negl. Trop. Dis. 2009, 3, e419. [Google Scholar] [CrossRef]
- Duffy, T.; Cura, C.I.; Ramirez, J.C.; Abate, T.; Cayo, N.M.; Parrado, R.; Bello, Z.D.; Velazquez, E.; Muñoz-Calderon, A.; Juiz, N.A.; et al. Analytical Performance of a Multiplex Real-Time PCR Assay Using TaqMan Probes for Quantification of Trypanosoma cruzi Satellite DNA in Blood Samples. PLoS Negl. Trop. Dis. 2013, 7, e2000. [Google Scholar] [CrossRef]
- Moreira, O.C.; Ramírez, J.D.; Velázquez, E.; Melo, M.F.A.D.; Lima-Ferreira, C.; Guhl, F.; Sosa-Estani, S.; Marin-Neto, J.A.; Morillo, C.A.; Britto, C. Towards the Establishment of a Consensus Real-Time QPCR to Monitor Trypanosoma cruzi Parasitemia in Patients with Chronic Chagas Disease Cardiomyopathy: A Substudy from the BENEFIT Trial. Acta Trop. 2013, 125, 23–31. [Google Scholar] [CrossRef]
- Qvarnstrom, Y.; Schijman, A.G.; Veron, V.; Aznar, C.; Steurer, F.; da Silva, A.J. Sensitive and Specific Detection of Trypanosoma cruzi DNA in Clinical Specimens Using a Multi-Target Real-Time PCR Approach. PLoS Negl. Trop. Dis. 2012, 6, e1689. [Google Scholar] [CrossRef] [PubMed]
- Schijman, A.G.; Bisio, M.; Orellana, L.; Sued, M.; Duffy, T.; Mejia Jaramillo, A.M.; Cura, C.; Auter, F.; Veron, V.; Qvarnstrom, Y.; et al. International Study to Evaluate PCR Methods for Detection of Trypanosoma cruzi DNA in Blood Samples from Chagas Disease Patients. PLoS Negl. Trop. Dis. 2011, 5, e931. [Google Scholar] [CrossRef] [PubMed]
- Ramírez, J.C.; Cura, C.I.; Da Cruz Moreira, O.; Lages-Silva, E.; Juiz, N.; Velázquez, E.; Ramírez, J.D.; Alberti, A.; Pavia, P.; Flores-Chávez, M.D.; et al. Analytical Validation of Quantitative Real-Time PCR Methods for Quantification of Trypanosoma cruzi DNA in Blood Samples from Chagas Disease Patients. J. Mol. Diag. 2015, 17, 605–615. [Google Scholar] [CrossRef]
- Porrás, A.I.; Yadon, Z.E.; Altcheh, J.; Britto, C.; Chaves, G.C.; Flevaud, L.; Martins-Filho, O.A.; Ribeiro, I.; Schijman, A.G.; Shikanai-Yasuda, M.A.; et al. Target Product Profile (TPP) for Chagas Disease Point-of-Care Diagnosis and Assessment of Response to Treatment. PLoS Negl. Trop. Dis. 2015, 9, e0003697. [Google Scholar] [CrossRef] [PubMed]
- Alonso-Padillaid, J.; Abril, M.; de Noya, B.A.; Almeida, I.C.; Angheben, A.; Jorge, T.A.; Chatelain, E.; Esteva, M.; Gascón, J.; Grijalva, M.J.; et al. Target Product Profile for a Test for the Early Assessment of Treatment Efficacy in Chagas Disease Patients: An Expert Consensus. PLoS Negl. Trop. Dis. 2020, 14, e0008035. [Google Scholar]
- Muñoz-Calderón, A.; Silva-Gomes, N.L.; Apodaca, S.; Alarcón de Noya, B.; Díaz-Bello, Z.; Souza, L.R.Q.; Costa, A.D.T.; Britto, C.; Moreira, O.C.; Schijman, A.G. Toward the Establishment of a Single Standard Curve for Quantification of Trypanosoma cruzi Natural Populations Using a Synthetic Satellite Unit DNA Sequence. J. Mol. Diag. 2021, 23, 521–531. [Google Scholar] [CrossRef]
- Santos, F.F.; Nascimento, H.; Muccioli, C.; Costa, D.F.; Rizzo, L.V.; Commodaro, A.G.; Belfort, R., Jr. Detection of Toxoplasma Gondii DNA in Peripheral Blood and Aqueous Humor of Patients with Toxoplasmic Active Focal Necrotizing Retinochoroiditis Using Real-Time PCR. Arq. Bras. Oftalmol. 2015, 78, 356–358. [Google Scholar] [CrossRef]
- Franzen, C.; Altfeld, M.; Hegener, P.; Hartmann, P.; Arendt, G.; Jablonowski, H.; Rockstroh, J.; Diehl, V.; Salzberger, B.; Fätkenheuer, G. Limited Value of PCR for Detection of Toxoplasma Gondii in Blood from Human Immunodeficiency Virus-Infected Patients. J. Clin. Microbiol. 1997, 35, 2639–2641. [Google Scholar] [CrossRef]
- Ajzenberg, D.; Lamaury, I.; Demar, M.; Vautrin, C.; Cabié, A.; Simon, S.; Nicolas, M.; Desbois-Nogard, N.; Boukhari, R.; Riahi, H.; et al. Performance Testing of PCR Assay in Blood Samples for the Diagnosis of Toxoplasmic Encephalitis in AIDS Patients from the French Departments of America and Genetic Diversity of Toxoplasma gondii: A Prospective and Multicentric Study. PLoS Negl. Trop. Dis. 2016, 10, e0004790. [Google Scholar] [CrossRef]
- Bland, J.M.; Altman, D.G. Statistical methods for assessing agreement between two methods of clinical measurement. Lancet 1986, 1, 307–310. [Google Scholar] [CrossRef]
- Sturm, N.R.; Degrave, W.; Morel, C.; Simpson, L. Sensitive Detection and Schizodeme Classification of Trypanosoma cruzi Cells by Amplification of Kinetoplast Minicircle DNA Sequences: Use in Diagnosis of Chagas’ Disease. Mol. Biochem. Parasitol. 1989, 33, 205–214. [Google Scholar] [CrossRef]
- Avila, H.A.; Sigman, D.S.; Cohen, L.M.; Millikan, R.C.; Simpson, L. Polymerase Chain Reaction Amplification of Trypanosoma cruzi Kinetoplast Minicircle DNA Isolated from Whole Blood Lysates: Diagnosis of Chronic Chagas’ Disease. Mol. Biochem. Parasitol. 1991, 48, 211–221. [Google Scholar] [CrossRef] [PubMed]
- Britto, C.; Cardoso, M.A.; Wincker, P.; Morel, C.M. A Simple Protocol for the Physical Cleavage of Trypanosoma cruzi Kinetoplast DNA Present in Blood Samples and Its Use in Polymerase Chain Reaction (PCR)-Based Diagnosis of Chronic Chagas Disease. Mem. Inst. Oswaldo Cruz 1993, 88, 171–172. [Google Scholar] [CrossRef] [PubMed]
- Wincker, P.; Britto, C.; Pereira, J.B.; Cardoso, M.A.; Oelemann, W.; Morel, C.M. Use of a simplified polymerase chain reaction procedure to detect Trypanosoma cruzi in blood samples from chronic chagasic patients in a rural endemic area. Am. J. Trop. Med. Hyg. 1994, 51, 771–777. [Google Scholar] [CrossRef] [PubMed]
- Abras, A.; Ballart, C.; Llovet, T.; Roig, C.; Gutiérrez, C.; Tebar, S.; Berenguer, P.; Pinazo, M.J.; Posada, E.; Gascón, J.; et al. Introducing Automation to the Molecular Diagnosis of Trypanosoma cruzi Infection: A Comparative Study of Sample Treatments, DNA Extraction Methods and Real-Time PCR Assays. PLoS ONE 2018, 13, e0195738. [Google Scholar] [CrossRef] [PubMed]
- Longoni, S.S.; Pomari, E.; Antonelli, A.; Formenti, F.; Silva, R.; Tais, S.; Scarso, S.; Rossolini, G.M.; Angheben, A.; Perandin, F. Performance Evaluation of a Commercial Real-Time PCR Assay and of an in-House Real-Time PCR for Trypanosoma cruzi DNA Detection in a Tropical Medicine Reference Center, Northern Italy. Microorganisms 2020, 8, 1692. [Google Scholar] [CrossRef]
- Benatar, A.F.; Danesi, E.; Besuschio, S.A.; Bortolotti, S.; Cafferata, M.L.; Ramirez, J.C.; Albizu, C.L.; Scollo, K.; Baleani, M.; Lara, L.; et al. Prospective Multicenter Evaluation of Real Time PCR Kit Prototype for Early Diagnosis of Congenital Chagas Disease. eBioMedicine 2021, 69, 103450. [Google Scholar] [CrossRef]
- Vargas, N.; Pedroso, A.; Zingales, B. Chromosomal Polymorphism, Gene Synteny and Genome Size in T. cruzi I and T. cruzi II Groups. Mol. Biochem. Parasitol. 2004, 138, 131–141. [Google Scholar] [CrossRef]
- Souza, R.T.; Lima, F.M.; Barros, R.M.; Cortez, D.R.; Santos, M.F.; Cordero, E.M.; Ruiz, J.C.; Goldenberg, S.; Teixeira, M.M.G.; da Silveira, J.F. Genome Size, Karyotype Polymorphism and Chromosomal Evolution in Trypanosoma cruzi. PLoS ONE 2011, 6, e23042. [Google Scholar] [CrossRef]
- Reis-Cunha, J.L.; Coqueiro-Dos-Santos, A.; Pimenta-Carvalho, S.A.; Marques, L.P.; Rodrigues-Luiz, G.F.; Baptista, R.P.; Almeida, L.V.; Honorato, N.R.M.; Lobo, F.P.; Fraga, V.G.; et al. Accessing the Variability of Multicopy Genes in Complex Genomes using Unassembled Next-Generation Sequencing Reads: The Case of Trypanosoma cruzi Multigene Families. mBio 2022, 13, e0231922. [Google Scholar] [CrossRef]
- Wang, W.; Peng, D.; Baptista, R.P.; Li, Y.; Kissinger, J.C.; Tarleton, R.L. Strain-specific genome evolution in Trypanosoma cruzi, the agent of Chagas disease. PLoS Pathog. 2021, 17, e1009254. [Google Scholar] [CrossRef]
- Reis-Cunha, J.L.; Rodrigues-Luiz, G.F.; Valdivia, H.O.; Baptista, R.P.; Mendes, T.A.; de Morais, G.L.; Guedes, R.; Macedo, A.M.; Bern, C.; Gilman, R.H.; et al. Chromosomal copy number variation reveals differential levels of genomic plasticity in distinct Trypanosoma cruzi strains. BMC Genom. 2015, 16, 499. [Google Scholar] [CrossRef]
- Brenière, S.F.; Waleckx, E.; Barnabé, C. Over Six Thousand Trypanosoma cruzi Strains Classified into Discrete Typing Units (DTUs): Attempt at an Inventory. PLoS Negl. Trop. Dis. 2016, 10, e0004792. [Google Scholar] [CrossRef]
- Zingales, B.; Miles, M.A.; Campbell, D.A.; Tibayrenc, M.; Macedo, A.M.; Teixeira, M.M.G.; Schijman, A.G.; Llewellyn, M.S.; Lages-Silva, E.; Machado, C.R.; et al. The Revised Trypanosoma cruzi Subspecific Nomenclature: Rationale, Epidemiological Relevance and Research Applications. Infect. Genet. Evol. 2012, 12, 240–253. [Google Scholar] [CrossRef]
- Zingales, B. Trypanosoma cruzi Genetic Diversity: Something New for Something Known about Chagas Disease Manifestations, Serodiagnosis and Drug Sensitivity. Acta Trop. 2018, 184, 38–52. [Google Scholar] [CrossRef]






| Target | Sequence (5′-3′) | Length of Fragment (bp) | Sequence ID NCBI | Description |
|---|---|---|---|---|
| Nuclear Satellite DNA | AGTCGGCTGATCGTTTTCGAGCGGCTGCTACATCACACGTTGTGGTCTAAATTTTTGTTTCCAATTATGAATGGTGGGAGTCAGAGGCACTCTCTGTCACTATCTGTTTGCGTGTTCACACACTGGACACCAAACAACCCTGAATTATCCGCTGCTTGGAGGAATT | 166 | XM_805618.1 | Trypanosoma cruzi strain CL Brener hypothetical protein Tc00.1047053508097.10 partial Mrna |
| Exogenous Internal Positive Control (IAC) | ACCGTCATGGAACAGCACGTACCGATTTATAAGATTGCTGGAGAAATGACTGGATTTGGAGCATCTGTTCTTGAAGGTGTTTTAGCTTTCGTCTTGGTTTATACTGTGTTCACGGCTAGCGATCCCAGACGTGGGCTACCTTTAGCAGTGGGACCTATATTTATAGGGTTTGTTGCGGGAG | 181 | NM_114612.3 | Arabidopsis thaliana putative aquaporin TIP5-1 mRNA, complete cds |
| In-House qPCR Assay × NAT Chagas | Serology × NAT Chagas | |||
|---|---|---|---|---|
| In-House + | In-House − | Serology + | Serology − | |
| NAT Chagas + | 19 (100%) | 0 (0%) | 19 (59.4%) | 0 (0%) |
| NAT Chagas − | 0 (0%) | 31 (100%) | 13 (40.6%) | 18 (100%) |
| Total | 19 | 31 | 32 | 18 |
| Product | Presentation (Reactions) | Price per Kit (USD) | Price per Reaction (USD) |
|---|---|---|---|
| A | 50 | 556.00 | 11.12 |
| B | 30 | 346.00 | 11.53 |
| C | 100 | 450.00 | 4.50 |
| D | 50 | 750.00 | 15.00 |
| E | 100 | 1600.00 | 16.00 |
| F | 150 | 841.00 | 5.61 |
| G | 150 | 2526.00 | 16.84 |
| NAT Chagas | 96 | 703.00 | 7.55 |
Disclaimer/Publisher’s Note: The statements, opinions and data contained in all publications are solely those of the individual author(s) and contributor(s) and not of MDPI and/or the editor(s). MDPI and/or the editor(s) disclaim responsibility for any injury to people or property resulting from any ideas, methods, instructions or products referred to in the content. |
© 2023 by the authors. Licensee MDPI, Basel, Switzerland. This article is an open access article distributed under the terms and conditions of the Creative Commons Attribution (CC BY) license (https://creativecommons.org/licenses/by/4.0/).
Share and Cite
Moreira, O.C.; Fernandes, A.G.; Gomes, N.L.d.S.; dos Santos, C.M.; Jacomasso, T.; Costa, A.D.T.; Nascimento, L.d.O.R.; Hasslocher-Moreno, A.M.; do Brasil, P.E.A.A.; Morello, L.G.; et al. Validation of the NAT Chagas IVD Kit for the Detection and Quantification of Trypanosoma cruzi in Blood Samples of Patients with Chagas Disease. Life 2023, 13, 1236. https://doi.org/10.3390/life13061236
Moreira OC, Fernandes AG, Gomes NLdS, dos Santos CM, Jacomasso T, Costa ADT, Nascimento LdOR, Hasslocher-Moreno AM, do Brasil PEAA, Morello LG, et al. Validation of the NAT Chagas IVD Kit for the Detection and Quantification of Trypanosoma cruzi in Blood Samples of Patients with Chagas Disease. Life. 2023; 13(6):1236. https://doi.org/10.3390/life13061236
Chicago/Turabian StyleMoreira, Otacilio C., Alice Gomes Fernandes, Natalia Lins da Silva Gomes, Carolina Messias dos Santos, Thiago Jacomasso, Alexandre Dias Tavares Costa, Lucas de O. Rossetti Nascimento, Alejandro Marcel Hasslocher-Moreno, Pedro Emmanuel Alvarenga Americano do Brasil, Luis Gustavo Morello, and et al. 2023. "Validation of the NAT Chagas IVD Kit for the Detection and Quantification of Trypanosoma cruzi in Blood Samples of Patients with Chagas Disease" Life 13, no. 6: 1236. https://doi.org/10.3390/life13061236
APA StyleMoreira, O. C., Fernandes, A. G., Gomes, N. L. d. S., dos Santos, C. M., Jacomasso, T., Costa, A. D. T., Nascimento, L. d. O. R., Hasslocher-Moreno, A. M., do Brasil, P. E. A. A., Morello, L. G., Marchini, F. K., Krieger, M. A., & Britto, C. (2023). Validation of the NAT Chagas IVD Kit for the Detection and Quantification of Trypanosoma cruzi in Blood Samples of Patients with Chagas Disease. Life, 13(6), 1236. https://doi.org/10.3390/life13061236

