Reliability and Responsiveness of a Novel Device to Evaluate Tongue Force
Abstract
1. Introduction
2. Materials and Methods
2.1. Subjects
2.2. Instrumentation
2.3. Procedure
2.4. Analysis and Sample Size
3. Results
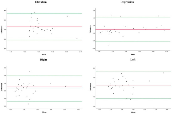
3.1. Intrarater Reliability Results
3.2. Inter-Rater Reliability Results
4. Discussion
4.1. Limitations
4.2. Clinical Implications
5. Conclusions
Author Contributions
Funding
Institutional Review Board Statement
Informed Consent Statement
Data Availability Statement
Acknowledgments
Conflicts of Interest
References
- Inoue, T.; Nakayama, K.; Ihara, Y.; Tachikawa, S.; Nakamura, S.; Mochizuki, A.; Takahashi, K.; Iijima, T. Coordinated control of the tongue during suckling-like activity and respiration. J. Oral Sci. 2017, 59, 183–188. [Google Scholar] [CrossRef]
- Sanders, I.; Mu, L. A Three-dimensional atlas of human tongue muscles. Anat. Rec. 2013, 296, 1102–1114. [Google Scholar] [CrossRef]
- Dotiwala, A.K.; Samra, N.S. Anatomy, Head and Neck, Tongue; StatPearls Publishing: Tampa, FL, USA, 2018. [Google Scholar]
- Bordoni, B.; Morabito, B.; Mitrano, R.; Simonelli, M.; Toccafondi, A. The Anatomical Relationships of the Tongue with the Body System. Cureus 2018, 10, e3695. [Google Scholar] [CrossRef] [PubMed]
- Van den Steen, L.; Van Gestel, D.; Vanderveken, O.; Vanderwegen, J.; Lazarus, C.; Daisne, J.F.; Van Laer, C.; Specenier, P.; Van Rompaey, D.; Mariën, S.; et al. Evolution of self-perceived swallowing function, tongue strength and swallow-related quality of life during radiotherapy in head and neck cancer patients. Head Neck. 2019, 41, 2197–2207. [Google Scholar] [CrossRef]
- Crincoli, V.; Fatone, L.; Fanelli, M.; Rotolo, R.P.; Chialà, A.; Favia, G.; Lapadula, G. Orofacial Manifestations and Temporomandibular Disorders of Systemic Scleroderma: An Observational Study. Int. J. Mol. Sci. 2016, 17, 1189. [Google Scholar] [CrossRef]
- Pitts, L.L.; Morales, S.; Stierwalt, J.A.G. Lingual pressure as a clinical indicator of swallowing function in Parkinson’s disease. J. Speech Lang. Heart Res. 2018, 61, 257–265. [Google Scholar] [CrossRef] [PubMed]
- Melchior, M.d.O.; Magri, L.V.; Mazzetto, M.O. Orofacial myofunctional disorder, a possible complicating factor in the management of painful temporomandibular disorder. Braz. J. Pain 2018, 1, 80–86. [Google Scholar]
- Pizolato, A.R.; Fernandes, F.S.D.F.; Gavião, M.B.D. Deglutition and temporomandibular disorders in children. Minerva Dent. Oral Sci. 2009, 58, 567–576. [Google Scholar]
- Yamaguchi, K.; Hara, K.; Nakagawa, K.; Yoshimi, K.; Ariya, C.; Nakane, A.; Furuya, J.; Tohara, H. Ultrasonography Shows Age-related Changes and Related Factors in the Tongue and Suprahyoid Muscles. J. Am. Med. Dir. Assoc. 2020, 22, 766–772. [Google Scholar] [CrossRef] [PubMed]
- Nakazawa, Y.; Kikutani, T.; Igarashi, K.; Yajima, Y.; Tamura, F. Associations between tongue strength and skeletal muscle mass under dysphagia rehabilitation for geriatric out patients. J. Prosthodont. Res. 2019, 64, 188–192. [Google Scholar] [CrossRef]
- Printza, A.; Goutsikas, C.; Triaridis, S.; Kyrgidis, A.; Haidopoulou, K.; Constantinidis, J.; Pavlou, E. Dysphagia diagnosis with questionnaire, tongue strength measurement, and FEES in patients with childhood-onset muscular dystrophy. Int. J. Pediatr. Otorhinolaryngol. 2019, 117, 198–203. [Google Scholar] [CrossRef] [PubMed]
- Van den Steen, L.; Vanderwegen, J.; Guns, C.; Elen, R.; De Bodt, M.; Van Nuffelen, G. Tongue-Strengthening Exercises in Healthy Older Adults: Does Exercise Load Matter? A Randomized Controlled Trial. Dysphagia 2018, 34, 315–324. [Google Scholar] [CrossRef] [PubMed]
- Anil, M.A.; Balasubramaniam, R.K.; Babu, S.; Varghese, A.L.; Hussain, Z.R.; Dsouza, D.F. Does Tongue-Hold Maneuver Affect Respiratory–Swallowing Coordination? Evidence from Healthy Adults. J. Nat. Sci. Biol. Med. 2019, 10, 68–71. [Google Scholar] [CrossRef]
- Ulrich Sommer, J.; Birk, R.; Hörmann, K.; Stuck, B.A. Evaluation of the maximum isometric tongue force of healthy volunteers. Eur. Arch. Oto-Rhino-Laryngol. 2014, 271, 3077–3084. [Google Scholar] [CrossRef]
- Park, J.-S.; Kim, H.-J.; Oh, D.-H. Effect of tongue strength training using the Iowa Oral Performance Instrument in stroke patients with dysphagia. J. Phys. Ther. Sci. 2015, 27, 3631–3634. [Google Scholar] [CrossRef]
- McCormack, J.; Casey, V.; Conway, R.; Saunders, J.; Perry, A. OroPress a new wireless tool for measuring oro-lingual pressures: A pilot study in healthy adults. J. Neuroeng. Rehabil. 2015, 12, 32. [Google Scholar] [CrossRef]
- Ball, S.; Idel, O.; Cotton, S.; Perry, A. Comparison of Two Methods for Measuring Tongue Pressure During Swallowing in People with Head and Neck Cancer. Dysphagia 2006, 21, 28–37. [Google Scholar] [CrossRef] [PubMed]
- White, R.; Cotton, S.M.; Hind, J.; Robbins, J.; Perry, A. A Comparison of the Reliability and Stability of Oro-lingual Swallowing Pressures in Patients with Head and Neck Cancer and Healthy Adults. Dysphagia 2008, 24, 137–144. [Google Scholar] [CrossRef]
- Hewitt, A.; Hind, J.; Kays, S.; Nicosia, M.; Doyle, J.; Tompkins, W.; Gangnon, R.; Robbins, J. Standardized Instrument for Lingual Pressure Measurement. Dysphagia 2007, 23, 16–25. [Google Scholar] [CrossRef]
- Adams, V.; Mathisen, B.; Baines, S.; Lazarus, C.; Callister, R. A Systematic Review and Meta-analysis of Measurements of Tongue and Hand Strength and Endurance Using the Iowa Oral Performance Instrument (IOPI). Dysphagia 2013, 28, 350–369. [Google Scholar] [CrossRef]
- Berggren, K.N.; Hung, M.; Dixon, M.M.; Bounsanga, J.; Crockett, B.; Foye, M.D.; Gu, Y.; Campbell, C.; Butterfield, R.J.; Johnson, N.E. Orofacial strength, dysarthria, and dysphagia in congenital myotonic dystrophy. Muscle Nerve 2018, 58, 413–417. [Google Scholar] [CrossRef]
- Constantinescu, G.; Rieger, J.; Mummery, K.; Hodgetts, W. Flow and Grit by Design: Exploring Gamification in Facilitating Adherence to Swallowing Therapy. Am. J. Speech-Lang. Pathol. 2017, 26, 1296–1303. [Google Scholar] [CrossRef] [PubMed]
- Frändin, K.; Grönstedt, H.; Helbostad, J.L.; Bergland, A.; Andresen, M.; Puggaard, L.; Harms-Ringdahl, K.; Granbo, R.; Hellström, K. Long-Term Effects of Individually Tailored Physical Training and Activity on Physical Function, Well-Being and Cognition in Scandinavian Nursing Home Residents: A Randomized Controlled Trial. Gerontology 2016, 62, 571–580. [Google Scholar] [CrossRef] [PubMed]
- Diaz-Saez, M.C.; Beltran-Alacreu, H.; Gil-Castillo, J.; Navarro-Fernández, G.; Cebrián Carretero, J.L.; Gil-Martínez, A. Validity and Intra Rater Reliability of a New Device for Tongue Force Measurement. Int. J. Interact. Multimed. Artif. Intell. 2022. [Google Scholar] [CrossRef]
- Portney, L.G.W.M. Foundations of Clinical Research: Applications to Practice; Prentice-Hall: Englewood Cliffs, NJ, USA, 2000. [Google Scholar]
- Kottner, J.; Audigé, L.; Brorson, S.; Donner, A.; Gajewski, B.J.; Hróbjartsson, A.; Roberts, C.; Shoukri, M.; Streiner, D.L. Guidelines for Reporting Reliability and Agreement Studies (GRRAS) were proposed. J. Clin. Epidemiol. 2011, 64, 96–106. [Google Scholar] [CrossRef]
- Walter, S.D.; Eliasziw, M.; Donner, A. Sample size and optimal designs for reliability studies. Stat. Med. 1998, 17, 101–110. [Google Scholar] [CrossRef]
- Donner, A.; Eliasziw, M. Sample size requirements for reliability studies. Stat. Med. 1987, 6, 441–448. [Google Scholar] [CrossRef]
- Shoukri, M.M.; Asyali, M.H.; Donner, A. Sample size requirements for the design of reliability study: Review and new results. Stat. Methods Med. Res. 2004, 13, 251–271. [Google Scholar] [CrossRef]
- Adam Bujang, M.; Baharum, N. A simplified guide to determination of sample size requirements for estimating the value of intraclass correlation coefficient: A review. Arch. Orofac. Sci. 2017, 12, 1–11. [Google Scholar]
- State-of-the-Art Pointing Solutions for the OEM. Force Sensing Resistor Integration Guide and Evaluation Parts Catalog; Interlinks Electronics: Camarillo, CA, USA, 2002.
- Weir, J.P. Quantifying Test-Retest Reliability Using the Intraclass Correlation Coefficient and the SEM. J. Strength Cond. Res. 2005, 19, 231. [Google Scholar]
- Bunce, C. Correlation, Agreement, and Bland–Altman Analysis: Statistical Analysis of Method Comparison Studies. Am. J. Ophthalmol. 2009, 148, 4–6. [Google Scholar] [CrossRef] [PubMed]
- Bland, J.; Altman, D. Comparing methods of measurement: Why plotting difference against standard method is misleading. Lancet 1995, 346, 1085–1087. [Google Scholar] [CrossRef] [PubMed]
- Haley, S.M.; Fragala-Pinkham, M.A. Interpreting Change Scores of Tests and Measures Used in Physical Therapy. Phys. Ther. 2006, 86, 735–743. [Google Scholar] [CrossRef]
- Wyrwich, K.W. Minimal Important Difference Thresholds and the Standard Error of Measurement: Is There a Connection? J. Biopharm. Stat. 2004, 14, 97–110. [Google Scholar] [CrossRef] [PubMed]
- Adams, V.; Mathisen, B.; Baines, S.; Lazarus, C.; Callister, R. Reliability of Measurements of Tongue and Hand Strength and Endurance Using the Iowa Oral Performance Instrument with Healthy Adults. Dysphagia 2013, 29, 83–95. [Google Scholar] [CrossRef]
- Youmans, S.R.; Stierwalt, J.A.G. Measures of Tongue Function Related to Normal Swallowing. Dysphagia 2006, 21, 102–111. [Google Scholar] [CrossRef]
- Fei, T.; Cliffe, R.; Sarah, P.; Sonja, E.H.; Clemence MP pigeon Catriona, T. Age-related Differences in Tongue-Palate Pressures for Strength and Swallowing Tasks. Dysphagia 2013, 28, 575–581. [Google Scholar] [CrossRef]
- Jamari, J.; Ammarullah, M.I.; Santoso, G.; Sugiharto, S.; Supriyono, T.; Permana, M.S.; Winarni, T.I.; van der Heide, E. Adopted walking condition for computational simulation approach on bearing of hip joint prosthesis: Review over the past 30 years. Heliyon 2022, 8, e12050. [Google Scholar] [CrossRef]
- Yamada, Y.; Yamamura, K.; Inoue, M. Coordination of cranial motoneurons during mastication. Respir. Physiol. Neurobiol. 2005, 147, 177–189. [Google Scholar] [CrossRef]
- Diaz-Saez, M.C.; Beltran-Alacreu, H.; Gil-Castillo, J.; Gil-Martínez, A. Differences between Maximum Tongue Force in Women Suffering from Chronic and Asymptomatic Temporomandibular Disorders—An Observational Study. Life 2023, 13, 229. [Google Scholar] [CrossRef]





| Easy Portability | Individualized Exercises | Visual Feedback and Videogames | Home Training | Patient Follow-Up | Price of the Device | |
|---|---|---|---|---|---|---|
| NEW DEVICE | X | X | X | X | X | EUR 42,544 |
| IOPI | X | X | EUR 800–2000 | |||
| KSW | Not available | |||||
| MOST | X | Not available | ||||
| OROPRESS | X | X (feedback only) | Not available |
| Outcome Measurements (Newtons) | Mean ± SD | Mean ± SD | |||
|---|---|---|---|---|---|
| 1st Measure | 2nd Measure | ICC (95%CI) | SEM | MDC 90% | |
| Rater A | |||||
| Elevation | 6.92 ± 4.26 | 6.87 ± 3.94 | 0.97 (0.93–0.99) | 0.70 | 1.64 |
| Depression | 6.02 ± 3.39 | 6.09 ± 3.43 | 0.96 (0.91–0.98) | 0.68 | 1.58 |
| Right | 2.58 ± 1.77 | 2.45 ± 1.84 | 0.93 (0.85–0.97) | 0.47 | 1.10 |
| Left | 2.11 ± 1.21 | 2.25 ± 1.40 | 0.84 (0.68–0.92) | 0.52 | 1.21 |
| Rater B | |||||
| Elevation | 6.19 ± 4.78 | 6.46 ± 4.07 | 0.95 (0.89–0.98) | 0.98 | 2.30 |
| Depression | 5.17 ± 2.91 | 5.00 ± 2.87 | 0.94 (0.88–0.98) | 0.70 | 1.64 |
| Right | 2.12 ± 1.69 | 2.37 ± 1.69 | 0.94 (0.87–0.97) | 0.41 | 0.96 |
| Left | 1.83 ± 1.09 | 2.10 ± 1.22 | 0.82 (0.65–0.92) | 0.49 | 1.14 |
| Bland–Altman | |||||
| Mean difference ± SD | 95%CI | LOA (Inf-Sup) | |||
| Rater A | |||||
| Elevation | 0.06 ± 1.05 | (−0.34 to 0.46) | (−2.00 to 2.12) | ||
| Depression | −0.07 ± 0.98 | (−0.45 to 0.31) | (−2.00 to 1.85) | ||
| Right | 0.13 ± 0.68 | (−0.13 to 0.39) | (−1.20 to 1.46) | ||
| Left | −0.14 ± 0.73 | (−0.42 to 0.14) | (−1.57 to 1.29) | ||
| Rater B | |||||
| Elevation | −0.27 ± 1.42 | (−0.82 to 0.28) | (−3.05 to 2.51) | ||
| Depression | 0.16 ± 0.97 | (−0.21 to 0.53) | (−1.74 to 2.06) | ||
| Right | −0.24 ± 0.60 | (−0.47 to −0.01) | (−1.42 to 0.94) | ||
| Left | −0.27 ± 0.69 | (−0.54 to −0.005) | (−1.62 to 1.08) | ||
| Outcome Measurements (in Newtons) | Mean ± SD | Mean ± SD | |||
|---|---|---|---|---|---|
| Rater A | Rater B | ICC (95%CI) | SEM | MDC 90% | |
| Elevation | 6.89 ± 4.07 | 6.32 ± 4.38 | 0.94 (0.86–0.97) | 1.03 | 2.40 |
| Depression | 6.05 ± 3.37 | 5.08 ± 2.85 | 0.83 (0.57–0.93) | 1.29 | 3.01 |
| Right | 2.52 ± 1.77 | 2.24 ± 1.66 | 0.87 (0.73–0.94) | 0.61 | 1.43 |
| Left | 2.18 ± 1.26 | 1.97 ± 1.10 | 0.81 (0.63–0.91) | 0.51 | 1.20 |
| Bland–Altman | |||||
| Mean difference ± SD | 95%CI | LOA (Inf-Sup) | |||
| Elevation | 0.57 ± 1.43 | (0.02 to 1.12) | (−2.23 to 3.37) | ||
| Depression | 0.97 ± 1.65 | (0.33 to 1.60) | (−2.26 to 4.20) | ||
| Right | 0.27 ± 0.86 | (−0.06 to 0.60) | (−1.42 to 1.96) | ||
| Left | 0.21 ± 0.71 | (−0.06 to 0.48) | (−1.18 to 1.60) | ||
Disclaimer/Publisher’s Note: The statements, opinions and data contained in all publications are solely those of the individual author(s) and contributor(s) and not of MDPI and/or the editor(s). MDPI and/or the editor(s) disclaim responsibility for any injury to people or property resulting from any ideas, methods, instructions or products referred to in the content. |
© 2023 by the authors. Licensee MDPI, Basel, Switzerland. This article is an open access article distributed under the terms and conditions of the Creative Commons Attribution (CC BY) license (https://creativecommons.org/licenses/by/4.0/).
Share and Cite
Diaz-Saez, M.C.; Gil-Martínez, A.; Gadotti, I.C.; Navarro-Fernández, G.; Gil-Castillo, J.; Beltran-Alacreu, H. Reliability and Responsiveness of a Novel Device to Evaluate Tongue Force. Life 2023, 13, 1192. https://doi.org/10.3390/life13051192
Diaz-Saez MC, Gil-Martínez A, Gadotti IC, Navarro-Fernández G, Gil-Castillo J, Beltran-Alacreu H. Reliability and Responsiveness of a Novel Device to Evaluate Tongue Force. Life. 2023; 13(5):1192. https://doi.org/10.3390/life13051192
Chicago/Turabian StyleDiaz-Saez, Marta Carlota, Alfonso Gil-Martínez, Inae Caroline Gadotti, Gonzalo Navarro-Fernández, Javier Gil-Castillo, and Hector Beltran-Alacreu. 2023. "Reliability and Responsiveness of a Novel Device to Evaluate Tongue Force" Life 13, no. 5: 1192. https://doi.org/10.3390/life13051192
APA StyleDiaz-Saez, M. C., Gil-Martínez, A., Gadotti, I. C., Navarro-Fernández, G., Gil-Castillo, J., & Beltran-Alacreu, H. (2023). Reliability and Responsiveness of a Novel Device to Evaluate Tongue Force. Life, 13(5), 1192. https://doi.org/10.3390/life13051192

