Interplay Impact of Exogenous Application of Abscisic Acid (ABA) and Brassinosteroids (BRs) in Rice Growth, Physiology, and Resistance under Sodium Chloride Stress
Abstract
1. Introduction
2. Materials and Methods
2.1. Growth Conditions
2.2. Treatment Plan
2.3. Hormone Application
2.4. Fertilizer Application
2.5. Measurement of Rice Growth Characteristics
2.6. Photosynthesis Parameters and Leaf Area
2.7. Quantification of the Hormones Produced in the Rice Flag Leaf
2.8. Measurement of Pollen Viability and Spikelet Sterility
2.9. 1000-Grain Weight and Rice Grain Yield Per Plant
2.10. Statistical Analysis
3. Results
3.1. Effects of Exogenous Hormonal Treatments on Rice Agronomic Traits at Full Heading Stage under Salinity Stress
3.2. Effects of Exogenous Hormones on Photosynthesis Attributes of Rice Flag Leaf under Salinity
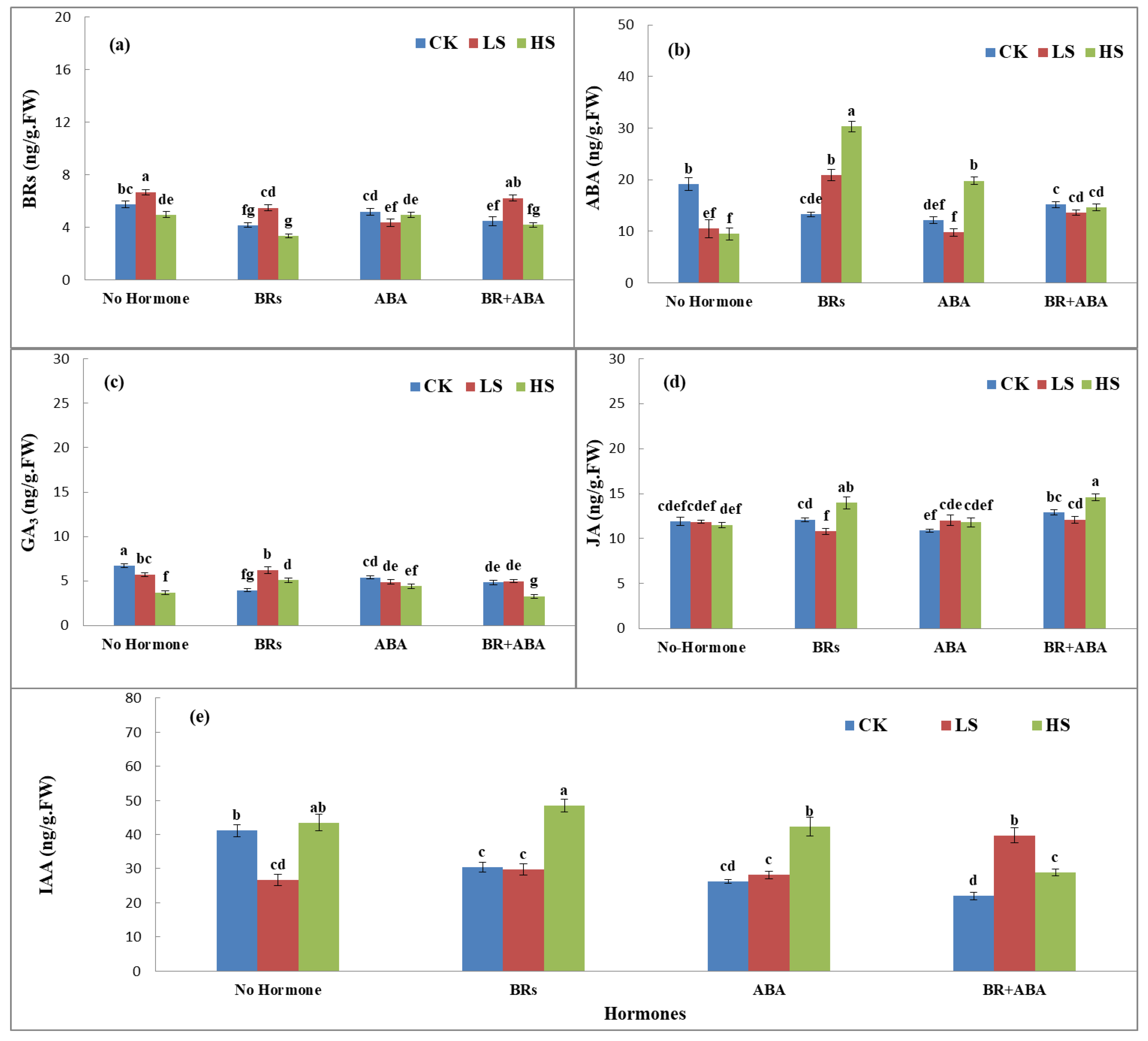
3.3. Effects of ABA and BRs on Phytohormonal Dynamics under Salinity
3.4. Pollen Viability and Spikelet Sterility
3.5. Effects of ABA and BRs on Rice Grain Weight under Salinity Stress
3.6. Effects of ABA and BRs on Rice Grain Yield and Its Attributes under Salinity Stress
4. Discussion
5. Conclusions
Author Contributions
Funding
Institutional Review Board Statement
Informed Consent Statement
Data Availability Statement
Acknowledgments
Conflicts of Interest
References
- FAO. Feeding the world in 2050. In World Agricultural Summit on Food Security 16–18 November 2009; Food and Agriculture Organization of the United Nations: Rome, Italy, 2009. [Google Scholar]
- Wei, X.; Huang, X. Origin, taxonomy, and phylogenetics of rice. In Rice (Fourth Edition) Chemistry and Technology; AACC International Press: Washington, DC, USA, 2019; pp. 1–29. [Google Scholar] [CrossRef]
- Ray, D.K.; Gerber, J.S.; Macdonald, G.K.; West, P.C. Climate variation explains a third of global crop yield variability. Nat. Commun. 2015, 6, 5989. [Google Scholar] [CrossRef]
- Zeng, L.; Shannon, M.C. Effects of salinity on grain yield and yield components of rice at different seeding densi-ties. Agron. J. 2001, 92, 418–423. [Google Scholar] [CrossRef]
- Eraslan, F.; Inal, A.; Gunes, A.; Alpaslan, M. Impact of exogenous salicylic acid on the growth, antioxidant activity and physiology of carrot plants subjected to combined salinity and boron toxicity. Sci. Horti. 2007, 113, 120–128. [Google Scholar] [CrossRef]
- Hussain, S.; Zhong, C.; Cao, X.; Zhu, L.; Yu, S.; Fahad, S.; Hussain, A.; James, A.B.; Zhang, J.; Jin, Q. Effects of 1-methylcyclopropene on rice growth characteristics and superior and inferior spikelets development under salt stress. J. Plant Growth Regul. 2018, 37, 1368–1384. [Google Scholar] [CrossRef]
- Shereen, A.; Mumtaz, S.; Raza, S.; Khan, M.A.; Solangi, S. Salinity effects on seedling growth and yield components of different inbred rice lines. Pak. J. Bot. 2005, 37, 131–139. [Google Scholar]
- Munns, R. Comparative physiology of salt and water stress. Plant Cell Environ. 2002, 25, 239–250. [Google Scholar] [CrossRef] [PubMed]
- Abdullah, Z.; Khan, M.A.; Flowers, T.J. Causes of sterility in seed set of rice under salinity stress. J. Agron. Crop Sci. 2001, 187, 25–32. [Google Scholar] [CrossRef]
- Cuicui, Y.; Honglei, Z.; Beibei, X.; Wenxiao, H.; Shaohua, W.; Yanfeng, D.; Zhenghui, L.; Ganghua, L.; Lin, C.; Chengqiang, D.; et al. Effect of Removing Superior Spikelets on Grain Filling of Inferior Spikelets in Rice. Front. Plant Sci. 2016, 7, 1161. [Google Scholar] [CrossRef]
- Hasanuzzaman, M.; Alhaithloul, H.A.S.; Parvin, K.; Bhuyan, M.H.M.B.; Tanveer, M.; Mohsin, S.M.; Nahar, K.; Soliman, M.H.; Al Mahmud, J.; Fujita, M. Polyamine action under metal/metalloid stress: Regulation of biosynthesis, metabolism, and molecular interactions. Int. J. Mol. Sci. 2019, 20, 3215. [Google Scholar] [CrossRef]
- Hussain, S.; Zhong, C.; Cao, X.; Bai, Z.; Huang, J.; Zhu, L.; Khaskheli, M.A.; Zhang, J.; Jin, Q.Y. 1-Methylcyclopropene modulates physiological, biochemical, and antioxidant responses of rice to different salt stress levels. Front. Plant Sci. 2019, 10, 124. [Google Scholar] [CrossRef]
- Javid, M.G.; Ali, S.; Foad, M.; Seyed, A.M.M.S.; Iraj, A. The role of phytohormones in alleviating salt stress in crop plants. Aust. J. Crop Sci. 2011, 5, 726–734. [Google Scholar]
- Khan, M.I.R.; Khan, N.A. Salicylic acid and jasmonates: Approaches in abiotic stress tolerance. J. Plant Biochem. Physiol. 2013, 1, 113. [Google Scholar] [CrossRef]
- Fahad, S.; Hussain, S.; Matloob, A.; Khan, F.A.; Khaliq, A.; Saud, A.; Hassan, S.; Shan, D.; Khan, F.; Ullah, N.; et al. LPhytohormones and plant responses to salinity stress: A review. Plant Growth Regul. 2014, 75, 391–404. [Google Scholar] [CrossRef]
- Hussain, S.; Huang, J.; Zhu, L.; Zhu, C.; Cao, X.; Nanda, S.; Saddam, H.; Ashraf, M.; Khaskheli, M.A.; Liang, Q.; et al. Pyridoxal 5′-phosphate enhances the growth and morpho-physiological characteristics of rice cultivars by mitigating the ethylene accumulation under salinity stress. Plant Physiol. Biochem. 2020, 154, 782–795. [Google Scholar] [CrossRef]
- Vishwakarma, K.; Upadhyay, N.; Kumar, N.; Yadav, G.; Singh, J.; Mishra, R.K.; Kumar, V.; Verma, R.; Upadhyay, R.G.; Pandey, M.; et al. Abscisic acid signaling and abiotic stress tolerance in plants: A review on current knowledge and future prospects. Front. Plant Sci. 2017, 8, 161. [Google Scholar] [CrossRef]
- Zhu, J.K. Abiotic stress signaling and responses in plants. Cell 2016, 167, 313–324. [Google Scholar] [CrossRef] [PubMed]
- Bajguz, A. Metabolism of brassinosteroids in plants. Plant Physiol. Biochem. 2007, 45, 95–107. [Google Scholar] [CrossRef] [PubMed]
- Hadiarto, T.; Tran, L.S. Progress studies of drought-responsive genes in rice. Plant Cell Rep. 2011, 30, 297–310. [Google Scholar] [CrossRef]
- Abbas, S.; Latif, H.H.; ES Elsherbiny, E.A. Effect of 24-Epibrassinolide on the Physiological and Genetic Changes on Two Varieties of Pepper under Salt Stress Conditions. Pak. J. Bot. 2013, 45, 1273–1284. [Google Scholar]
- Talaat, N.B.; Shawky, B.T. 24-Epibrassinolide alleviates salt-induced inhibition of productivity by increasing nutrients and compatible solutes accumulation and enhancing antioxidant system in wheat (Triticum aestivum L.). Acta Physiol. Plant. 2013, 35, 729–740. [Google Scholar] [CrossRef]
- Shahid, M.A.; Pervez, M.A.; Balal, R.M.; Mattson, N.S.; Rashid, A.; Ahmad, R.; Ayyub, C.M.; Abbas, T. Brassinosteroid (24-epibrassinolide) enhances growth and alleviates the deleterious effects induced by salt stress in pea (Pisum sativum L.). Aust. J. Crop Sci. 2011, 5, 500–510. [Google Scholar]
- Bajguz, A.; Tretyn, A. The chemical characteristic and distribution of brassinosteroids in plants. Phytochemistry 2003, 62, 1027–1046. [Google Scholar] [CrossRef] [PubMed]
- Gui, J.; Zheng, S.; Liu, C.; Shen, J.; Li, J.; Li, L. OsREM4.1 interacts with OsSERK1 to coordinate the interlinking between abscisic acid and brassinosteroid signaling in rice. Dev. Cell. 2016, 38, 201–213. [Google Scholar] [CrossRef]
- Clouse, S.D. Brassinosteroid/abscisic acid antagonism in balancing growth and stress. Dev. Cell. 2016, 38, 118–120. [Google Scholar] [CrossRef] [PubMed]
- Nolan, T.; Chen, J.; Yin, Y. Cross-talk of Brassinosteroid signaling in controlling growth and stress responses. Biochem. J. 2017, 474, 2641–2661. [Google Scholar] [CrossRef]
- Parihar, P.; Singh, S.; Singh, R.; Singh, V.P.; Prasad, S.M. Effect of salinity stress on plants and its tolerance strategies: A review. Environ. Sci. Pollut. Res. 2015, 22, 4056–4075. [Google Scholar] [CrossRef]
- Glick, B.R. Bacteria with ACC deaminase can promote plant growth and help to feed the world. Microbiol. Res. 2014, 169, 30–39. [Google Scholar] [CrossRef]
- Akram, N.A.; Ashraf, M. Regulation in plant stress tolerance by a potential plant growth regulator, 5-aminolevulinic acid. J. Plant Growth Regul. 2013, 32, 663–679. [Google Scholar] [CrossRef]
- Singh, N.K.; Larosa, P.C.; Handa, A.K.; Hasegawa, P.M.; Bressan, R.A. Hormonal regulation of protein synthesis associated with salt tolerance in plant cells. Proc. Natl. Acad. Sci. USA 1987, 84, 739–743. [Google Scholar] [CrossRef]
- Ashraf, M.; Akram, N.A.; Arteca, R.N.; Foolad, M.R. The physiological, biochemical and molecular roles of brassinosteroids and salicylic acid in plant processes and salt tolerance. Crit. Rev. Plant Sci. 2010, 29, 162–190. [Google Scholar] [CrossRef]
- Zhang, J.; Lin, Y.J.; Zhu, L.F.; Yu, M.; Sanjoy, K.K.; Jin, Q.Y. Effects of 1-methylcyclopropene on function of flag leaf and development of superior and inferior spikelets in rice cultivars differing in panicle types. Field Crops Res. 2015, 177, 64–74. [Google Scholar] [CrossRef]




| Rice Cultivar | Sowing Date dd/mm | Seedlings Per Pot | Transplanting Stage dd/mm | Maximum Tillering dd/mm | Full Heading dd/mm | Maturity dd/mm |
|---|---|---|---|---|---|---|
| Liangyoupiejiu | 30/05 | 6 Seedlings | 30/06 | 06/08 | 23/08 | 25/10 |
| Hormones Levels | Salt Levels | Net Photosynthesis Rate (µmol CO2 m−2 s−1) | Stomatal Conductance (mol m−2 s−1) | Transpiration Rate (mmol m−2 s−1) | SPAD Value |
|---|---|---|---|---|---|
| no hormone | CK | 28.67 ± 2.19 abc | 0.82 ± 0.01 a | 88.0 ± 1.52 a | 41.4 ± 0.25 abc |
| LS | 25.67 ± 0.88 bcd | 0.62 ± 0.14 abc | 73.7 ± 8.7 abc | 38.0 ± 0.7 cd | |
| HS | 23.0 ± 1.53 cd | 0.33 ± 0.07 cd | 54.3 ± 8.6 bcd | 37.0 ± 0.8 d | |
| BRs | CK | 28.67 ± 0.88 abc | 0.66 ± 0.09 abc | 81.7 ± 1.3 ab | 40.2 ± 0.2 abcd |
| LS | 23.67 ± 0.67 cd | 0.38 ± 0.1 bcd | 60.7 ± 8.7 abcd | 40.2 ± 0.5 abcd | |
| HS | 22.33 ± 0.88 cd | 0.27 ± 0.04 d | 47.7 ± 3.0 cd | 43.3 ± 0.7 a | |
| ABA | CK | 33.0 ± 2.08 a | 0.92 ± 0.03 a | 87.0 ± 1.2 a | 41.8 ± 1.3 ab |
| LS | 25.0 ± 1.15 bcd | 0.44 ± 0.03 bcd | 64.7 ± 2.2 abcd | 40.0 ± 0.5 abcd | |
| HS | 21.0 ± 1.0 d | 0.43 ± 0.02 bcd | 56.0 ± 8.5 bcd | 40.2 ± 0.8 abcd | |
| ABA+BRs | CK | 32.0 ± 2.08 ab | 0.73 ± 0.07 ab | 81.7 ± 3.8 ab | 42.0 ± 0.5 ab |
| LS | 25.86 ± 0.71 bc | 0.52 ± 0.04 bc | 66.6 ± 2.8 abc | 40.6 ± 0.4 abc | |
| HS | 23.67 ± 1.33 cd | 0.43 ± 0.05 bcd | 62.3 ± 2.0 abcd | 40.3 ± 0.3 abc |
| Treatments | Salt Levels | 1000-Grain Weight (g) | Yield Per Plant (g) | Seed Setting Rate (%) | Total Above-Ground Biomass Per Plant (g) |
|---|---|---|---|---|---|
| no hormone | CK | 25.67 ± 0.17 a | 25.47 ± 1.26 a | 59.2 ± 0.21 ab | 244.45 ± 20.9 ab |
| LS | 24.54 ± 0.16 a | 23.9 ± 0.89 a | 57.2 ± 0.50 ab | 223.76 ± 8.18 b | |
| HS | 19.33 ± 0.19 b | 5.33 ± 0.85 b | 43.0 ± 0.74 b | 122.21 ± 16.6 d | |
| BRs | CK | 25.10 ± 0.61 a | 25.50 ± 0.42 a | 67.8 ± 0.35 a | 238.5 ± 13.6 ab |
| LS | 23.89 ± 0. 17 a | 25.40 ± 4.5 a | 57.7 ± 1.14 ab | 245.2 ± 24.1 ab | |
| HS | 20.77 ± 0.85 b | 9.40 ± 1.42 b | 53.2 ± 0.66 ab | 177.3 ± 9.9 c | |
| ABA | CK | 26.21 ± 0.43 a | 22.37 ± 0.55 a | 48.7 ± 0.11 ab | 258.7 ± 21.4 ab |
| LS | 24.98 ± 0.69 a | 20.97 ± 0.72 a | 53.7 ± 0.54 ab | 231.2 ± 8.6 ab | |
| HS | 19.09 ± 1.74 b | 8.13 ± 0.38 b | 49.7 ± 0.46 ab | 136.06 ± 5.2 cd | |
| ABA+BRs | CK | 25.59 ± 0.18 a | 23.40 ± 0.35 a | 46.9 ± 032 b | 273.0 ± 14.6 a |
| LS | 24.86 ± 0.22 a | 22.50 ± 0.75 a | 41.6 ± 0.94 b | 271.1 ± 2.3 ab | |
| HS | 16.58 ± 0.70 c | 6.0 ± 0.06 b | 39.8 ± 0.40 b | 135.0 ± 11.8 cd |
Disclaimer/Publisher’s Note: The statements, opinions and data contained in all publications are solely those of the individual author(s) and contributor(s) and not of MDPI and/or the editor(s). MDPI and/or the editor(s) disclaim responsibility for any injury to people or property resulting from any ideas, methods, instructions or products referred to in the content. |
© 2023 by the authors. Licensee MDPI, Basel, Switzerland. This article is an open access article distributed under the terms and conditions of the Creative Commons Attribution (CC BY) license (https://creativecommons.org/licenses/by/4.0/).
Share and Cite
Hussain, S.; Nanda, S.; Ashraf, M.; Siddiqui, A.R.; Masood, S.; Khaskheli, M.A.; Suleman, M.; Zhu, L.; Zhu, C.; Cao, X.; et al. Interplay Impact of Exogenous Application of Abscisic Acid (ABA) and Brassinosteroids (BRs) in Rice Growth, Physiology, and Resistance under Sodium Chloride Stress. Life 2023, 13, 498. https://doi.org/10.3390/life13020498
Hussain S, Nanda S, Ashraf M, Siddiqui AR, Masood S, Khaskheli MA, Suleman M, Zhu L, Zhu C, Cao X, et al. Interplay Impact of Exogenous Application of Abscisic Acid (ABA) and Brassinosteroids (BRs) in Rice Growth, Physiology, and Resistance under Sodium Chloride Stress. Life. 2023; 13(2):498. https://doi.org/10.3390/life13020498
Chicago/Turabian StyleHussain, Sajid, Satyabrata Nanda, Muhammad Ashraf, Ali Raza Siddiqui, Sajid Masood, Maqsood Ahmed Khaskheli, Muhammad Suleman, Lianfeng Zhu, Chunquan Zhu, Xiaochuang Cao, and et al. 2023. "Interplay Impact of Exogenous Application of Abscisic Acid (ABA) and Brassinosteroids (BRs) in Rice Growth, Physiology, and Resistance under Sodium Chloride Stress" Life 13, no. 2: 498. https://doi.org/10.3390/life13020498
APA StyleHussain, S., Nanda, S., Ashraf, M., Siddiqui, A. R., Masood, S., Khaskheli, M. A., Suleman, M., Zhu, L., Zhu, C., Cao, X., Kong, Y., Jin, Q., & Zhang, J. (2023). Interplay Impact of Exogenous Application of Abscisic Acid (ABA) and Brassinosteroids (BRs) in Rice Growth, Physiology, and Resistance under Sodium Chloride Stress. Life, 13(2), 498. https://doi.org/10.3390/life13020498

