Postbiotics Production of Candidate-Probiotic Lactiplantibacillus plantarum AC131 with Renewable Bio Resources
Abstract
:1. Introduction
2. Materials and Methods
2.1. Dried Distillers’ Grains with Soluble (DDGS) as a Source of Reducing Sugars
2.2. Preparation of Wastewaters from the Industrial Cycle of Water-Steam Distillation of Rose Oil
2.3. Microorganisms, Culture Media, and Growth Conditions
2.4. Fermentation Processes and Lactic Acid Production
2.4.1. LA Production
2.4.2. Determination of Biomass Concentration
2.4.3. HPLC Analysis
2.4.4. In vitro Assessment of Antimicrobial Activity
Ls = area of well (mm2);
V = volume of samples (mL).
2.4.5. LAB Biofilm—Formation
3. Results and Discussion
3.1. Growth and Lactic Acid Production Using Sugars from DDGS
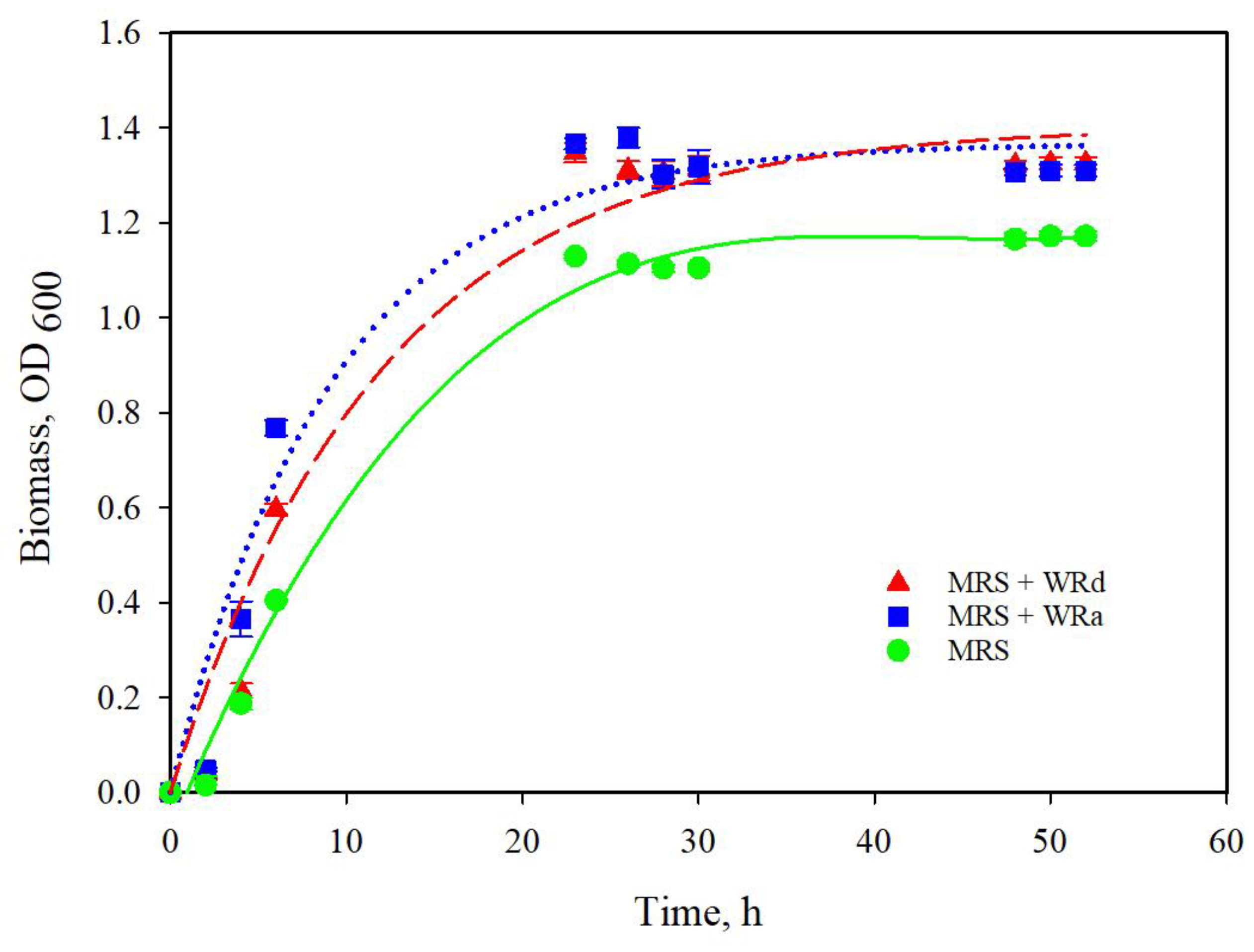
3.2. Growth of L. plantarum in Modified Media Supplemented with a Roses Flowers Distillation Wastewater (RWW)
3.3. In Vitro Assessment of Biological Activity of L. plantarum AC131 Postbiotics Obtained during the Fermentation
4. Conclusions
Author Contributions
Funding
Institutional Review Board Statement
Informed Consent Statement
Data Availability Statement
Conflicts of Interest
References
- Hill, C.; Guarner, F.; Reid, G.; Gibson, G.R.; Merenstein, D.J.; Pot, B.; Morelli, L.; Canani, R.B.; Flint, H.J.; Salminen, S.; et al. The International Scientific Association for Probiotics and Prebiotics consensus statement on the scope and appropriate use of the term probiotic. Nat. Rev. Gastroenterol. Hepatol. 2014, 11, 506–514. [Google Scholar] [CrossRef] [PubMed]
- Bäckhed, F.; Fraser, C.M.; Ringel, Y.; Sanders, M.E.; Sartor, R.B.; Sherman, P.M.; Versalovic, J.; Young, V.; Finlay, B.B. Defining a Healthy Human Gut Microbiome: Current Concepts, Future Directions, and Clinical Applications. Cell Host Microbe 2012, 12, 611–622. [Google Scholar] [CrossRef] [PubMed]
- Fedorak, R.N.; Madsen, K.L. Probiotics and prebiotics in gastrointestinal disorders. Curr. Opin. Gastroenterol. 2004, 20, 146–155. [Google Scholar] [CrossRef]
- Taverniti, V.; Guglielmetti, S. The immunomodulatory properties of probiotic microorganisms beyond their viability (ghost probiotics: Proposal of paraprobiotic concept). Genes Nutr. 2011, 6, 261–274. [Google Scholar] [CrossRef] [PubMed]
- Salminen, S.; Collado, M.C.; Endo, A.; Hill, C.; Lebeer, S.; Quigley, E.M.M.; Sanders, M.E.; Shamir, R.; Swann, J.R.; Szajewska, H.; et al. The International Scientific Association of Probiotics and Prebiotics (ISAPP) consensus statement on the definition and scope of postbiotics. Nat. Rev. Gastroenterol. Hepatol. 2021, 18, 649–667. [Google Scholar] [CrossRef] [PubMed]
- Danova, S. Biodiversity and Probiotic Potential of Lactic Acid Bacteria from Different Ecological Niches. Ph.D. Thesis, The Stephan Angeloff Institute of Microbiology, Sofia, Bulgaria, 2015. [Google Scholar]
- Petrova, M.; Georgieva, R.; Dimitonova, S.; Ivanovska, N.; Hadjieva, N.; Danova, S.J.B.; Equipment, B. Inhibitory activity of vaginal lactobacilli against human pathogens. Biotechnol. Biotechnol. Equip. 2009, 23, 627–631. [Google Scholar] [CrossRef]
- Nikolova, D.; Hoxha, R.; Atanasov, N.; Trifonova, E.; Dobreva, L.; Nemska, V.; Evstatieva, Y.; Danova, S. From Traditional Bulgarian Dairy Products to Functional Foods. In Dairy Processing—From Basics to Advances; Salam, I., Ed.; IntechOpen: Rijeka, Croatia, 2022; p. 5. [Google Scholar] [CrossRef]
- Yankov, D. Fermentative Lactic Acid Production from Lignocellulosic Feedstocks: From Source to Purified Product. Front. Chem. 2022, 10, 823005. [Google Scholar] [CrossRef]
- Sasaki, C.; Okumura, R.; Asakawa, A.; Asada, C.; Nakamura, Y. Production of D-lactic acid from sugarcane bagasse using steam-explosion. J. Phys. Conf. Ser. 2012, 352, 012054. [Google Scholar] [CrossRef]
- Saito, K.; Hasa, Y.; Abe, H. Production of lactic acid from xylose and wheat straw by Rhizopus oryzae. J. Biosci. Bioeng. 2012, 114, 166–169. [Google Scholar] [CrossRef]
- de la Torre, I.; Acedos, M.G.; Ladero, M.; Santos, V.E. On the use of resting L. delbrueckii spp. delbrueckii cells for D-lactic acid production from orange peel wastes hydrolysates. Biochem. Eng. J. 2019, 145, 162–169. [Google Scholar] [CrossRef]
- Kim, J.-w.; Jang, J.H.; Yeo, H.J.; Seol, J.; Kim, S.R.; Jung, Y.H. Lactic Acid Production from a Whole Slurry of Acid-Pretreated Spent Coffee Grounds by Engineered Saccharomyces cerevisiae. Appl. Biochem. Biotechnol. 2019, 189, 206–216. [Google Scholar] [CrossRef]
- Nagarajan, D.; Oktarina, N.; Chen, P.-T.; Chen, C.-Y.; Lee, D.-J.; Chang, J.-S. Fermentative lactic acid production from seaweed hydrolysate using Lactobacillus sp. and Weissella sp. Bioresour. Technol. 2022, 344, 126166. [Google Scholar] [CrossRef]
- Slavov, A.; Vasileva, I.; Stefanov, L.; Stoyanova, A. Valorization of wastes from the rose oil industry. Rev. Environ. Sci. Bio/Technol. 2017, 16, 309–325. [Google Scholar] [CrossRef]
- Wedler, J.; Rusanov, K.; Atanassov, I.; Butterweck, V. A Polyphenol-Enriched Fraction of Rose Oil Distillation Wastewater Inhibits Cell Proliferation, Migration and TNF-α-Induced VEGF Secretion in Human Immortalized Keratinocytes. Planta Medica 2016, 82, 1000–1008. [Google Scholar] [CrossRef] [PubMed]
- Yankov, D.; Dobreva, E.; Beschkov, V.; Emanuilova, E. Study of optimum conditions and kinetics of starch hydrolysis by means of thermostable α-amylase. Enzym. Microb. Technol. 1986, 8, 665–667. [Google Scholar] [CrossRef]
- Georgieva, A.; Ilieva, Y.; Kokanova-Nedialkova, Z.; Zaharieva, M.M.; Nedialkov, P.; Dobreva, A.; Kroumov, A.; Najdenski, H.; Mileva, M. Redox-Modulating Capacity and Antineoplastic Activity of Wastewater Obtained from the Distillation of the Essential Oils of Four Bulgarian Oil-Bearing Roses. Antioxidants 2021, 10, 1615. [Google Scholar] [CrossRef] [PubMed]
- Dobreva, L.; Danova, S.; Georgieva, V.; Georgieva, S.; Koprinarova, M. Anti-salmonella activity of lactobacilli from different habitats. Bulg. J. Vet. Med. 2022, 25, 564–577. [Google Scholar] [CrossRef]
- Maulidayanti, S.; Mubarik, N.R. Characterisation of a bacteriocin produced by Lactobacillus rhamnosus IN13 isolated from inasua, a fermented fish product from Central Maluku, Indonesia. Int. Food Res. J. 2019, 26, 1557–1563. [Google Scholar]
- Georgiev, Y.N.; Dzhambazov, B.M.; Batsalova, T.G.; Vasicek, O.; Dobreva, L.I.; Denev, P.N.; Danova, S.T.; Simova, S.D.; Wold, C.W.; Ognyanov, M.H.; et al. Structural characterization of polysaccharides from Geranium sanguineum L. and their immunomodulatory effects in response to inflammatory agents. J. Ethnopharmacol. 2022, 294, 115390. [Google Scholar] [CrossRef] [PubMed]
- Yilmaz, B.; Bangar, S.P.; Echegaray, N.; Suri, S.; Tomasevic, I.; Manuel Lorenzo, J.; Melekoglu, E.; Rocha, J.M.; Ozogul, F. The Impacts of Lactiplantibacillus plantarum on the Functional Properties of Fermented Foods: A Review of Current Knowledge. Microorganisms 2022, 10, 826. [Google Scholar] [CrossRef]
- Dobreva, L.; Nemska, V.; Tropcheva, R.; Danova, S. Autochthonous Microbiota of Katak as A Promising Source of Beneficial Bacteria. In Jubilee Edition “75 Years Stephan Angeloff Institute of Microbiology”; Petrova, P., Angelova, M., Krumova, E., Kabaivanova, L., Eds.; Farrago: Sofia, Bulgaria, 2022; p. 39. [Google Scholar]
- Georgieva, R.; Iliev, I.; Chipeva, V.; Dimitonova, S.; Samelis, J.; Danova, S. Identification and in vitro characterisation of Lactobacillus plantarum strains from artisanal Bulgarian white brined cheeses. J. Basic Microbiol. 2008, 48, 234–244. [Google Scholar] [CrossRef]
- Tropcheva, R.; Nikolova, D.; Evstatieva, Y.; Danova, S. Antifungal activity and identification of Lactobacilli, isolated from traditional dairy product “katak”. Anaerobe 2014, 28, 78–84. [Google Scholar] [CrossRef]
- Tropcheva, R.; Georgieva, R.; Danova, S. Adhesion Ability of Lactobacillus Plantarum AC131. Biotechnol. Biotechnol. Equip. 2011, 25, 121–124. [Google Scholar] [CrossRef]
- Mussatto, S.I.; Fernandes, M.; Mancilha, I.M.; Roberto, I.C. Effects of medium supplementation and pH control on lactic acid production from brewer’s spent grain. Biochem. Eng. J. 2008, 40, 437–444. [Google Scholar] [CrossRef]
- Pejin, J.; Radosavljević, M.; Kocić-Tanackov, S.; Djukić-Vuković, A.; Mojović, L. Lactic acid fermentation of brewer’s spent grain hydrolysate by Lactobacillus rhamnosus with yeast extract addition and pH control. J. Inst. Brew. 2017, 123, 98–104. [Google Scholar] [CrossRef]
- Djukić-Vuković, A.P.; Mojović, L.V.; Vukašinović-Sekulić, M.S.; Rakin, M.B.; Nikolić, S.B.; Pejin, J.D.; Bulatović, M.L. Effect of different fermentation parameters on l-lactic acid production from liquid distillery stillage. Food Chem. 2012, 134, 1038–1043. [Google Scholar] [CrossRef] [PubMed]
- Ilieva, Y.; Dimitrova, L.; Georgieva, A.; Vilhelmova-Ilieva, N.; Zaharieva, M.M.; Kokanova-Nedialkova, Z.; Dobreva, A.; Nedialkov, P.; Kussovski, V.; Kroumov, A.D.; et al. In Vitro Study of the Biological Potential of Wastewater Obtained after the Distillation of Four Bulgarian Oil-Bearing Roses. Plants 2022, 11, 1073. [Google Scholar] [CrossRef]
- Vemuri, R.; Gundamaraju, R.; Eri, R. Role of lactic acid probiotic bacteria in IBD. Curr. Pharm. Des. 2017, 23, 2352–2355. [Google Scholar] [CrossRef]
- Gateva, S.; Jovtchev, G.; Angelova, T.; Dobreva, A.; Mileva, M. The Anti-Genotoxic Activity of Wastewaters Produced after Water-Steam Distillation of Bulgarian Rosa damascena Mill. and Rosa alba L. Essential Oils. Life 2022, 12, 455. [Google Scholar] [CrossRef] [PubMed]
- Lee, J.-E.; Lee, N.-K.; Paik, H.-D. Antimicrobial and anti-biofilm effects of probiotic Lactobacillus plantarum KU200656 isolated from kimchi. J. Food Sci. Biotechnol. 2021, 30, 97–106. [Google Scholar] [CrossRef] [PubMed]
- Mekky, A.F.; Hassanein, W.A.; Reda, F.M.; Elsayed, H.M. Anti-biofilm potential of Lactobacillus plantarum Y3 culture and its cell-free supernatant against multidrug-resistant uropathogen Escherichia coli U12. Saudi J. Biol. Sci. 2022, 29, 2989–2997. [Google Scholar] [CrossRef] [PubMed]
- Musa, M.S. Study Inhibitory Effects of Lactobacillus plantarum Against Staphylococcus aureus Methicillin Resistance. J. Pharm. Negat. Results 2022, 13, 1755–1764. [Google Scholar]
- Fleming, D.; Rumbaugh, K.P. Approaches to Dispersing Medical Biofilms. Microorganisms 2017, 5, 15. [Google Scholar] [CrossRef] [PubMed]
- Lebeer, S.; De Keersmaecker, S.C.J.; Verhoeven, T.L.A.; Fadda, A.A.; Marchal, K.; Vanderleyden, J. Functional analysis of luxS in the probiotic strain Lactobacillus rhamnosus GG reveals a central metabolic role important for growth and biofilm formation. J. Bacteriol. 2007, 189, 860–871. [Google Scholar] [CrossRef]
- Costerton, J.W.; Stewart, P.S.; Greenberg, E.P. Bacterial Biofilms: A Common Cause of Persistent Infections. Sci. Robot. 1999, 284, 1318–1322. [Google Scholar] [CrossRef] [PubMed]
- Pratt, L.A.; Kolter, R. Genetic analysis of Escherichia coli biofilm formation: Roles of flagella, motility, chemotaxis and type I pili. J. Mol. Microbiol. 1998, 30, 285–293. [Google Scholar] [CrossRef]






| Components g | Cultural Media—the Control and Modified MRS Variants | |||
|---|---|---|---|---|
| MRS (Merck) | mMRS Var. 1 | mMRS Var. 2 | mMRS Var. 3 | |
| Peptone | 10.0 | 10.0 | 10 | 11 |
| Meat extract | 8.0 | - | - | - |
| Yeast extract | 4.0 | 5.0 | 4.0 | 4.5 |
| D (+) Glucose | 20.0 | 20.0 | - | - |
| Lactose monohydrate | - | - | 11.0 | |
| Reducing sugars | - | - | - | 10 -30 |
| K2HPO4 | 2.0 | 2.0 | 0.25 | 0.25 |
| KH2PO4 | - | - | 0.25 | 0.25 |
| Tween 80 | 1.0 | - | - | - |
| Ammonium citrate | 2.0 | 2.0 | - | - |
| CH3COONa | 5.0 | 5.0 | 10 | 10 |
| MgSO4·5H2O | 0.2 | 0.2 | 0.1 | 0.1 |
| MnSO4 | 0.04 | 0.04 | 0.05 | 0.05 |
| FeSO4·7H2O | - | 0.05 | 0.05 | |
| dH20 | 1 L | 1 L | 1 L | 1 L |
| pH (at 25 °C) | 6.8 | 6.5 | 6.5 | 6.5 |
| Substrate Origin | Strain | Initial Sugars Concentration, g/L | LA Produced, g/L | Literature |
|---|---|---|---|---|
| Brown macroalgae | Lactiplantibaillus plantarum 23 | 15 | 11.65 | 14 |
| Bagasse | Lactobaillus delbrueckii | 21 | 16.5 | 10 |
| Wheat straw | Rhyzopus oryzae | 25 | 16.6 | 11 |
| Orange peel wastes | Lactobaillus delbrueckii | 10 | 8.7 | 12 |
| Spent coffee grounds | Sacharomyces cerevisiae | 17.2 | 11.2 | 13 |
| Brewer’s spent grains | L. delbrueckii UFVH2B20 | 51 | 35.5 | 27 |
| Brewer’s spent grains | Lacticaseibacillus rhamnosus ATCC 7469 | 54 | 44.4 | 28 |
| Distillery stillage | L. rhamnosus ATCC 7469 | 25 | 18.6 | 29 |
| Dry distillery grains | L. plantarum AC131 | 10 20 30 | 9.85 19.9 24.5 | This work |
| Microorganisms | Activity of the Variants Tested (AU/mL) | |||
|---|---|---|---|---|
| WF | aCFS-MRS | Lysates | MRS var. 3 + RS | |
| St. aureus | 291.43 | 1416.92 | 1134.32 | 16583.13 |
| Ps. aeruginosa | 2357.45 | 551.95 | nd | |
Disclaimer/Publisher’s Note: The statements, opinions and data contained in all publications are solely those of the individual author(s) and contributor(s) and not of MDPI and/or the editor(s). MDPI and/or the editor(s) disclaim responsibility for any injury to people or property resulting from any ideas, methods, instructions or products referred to in the content. |
© 2023 by the authors. Licensee MDPI, Basel, Switzerland. This article is an open access article distributed under the terms and conditions of the Creative Commons Attribution (CC BY) license (https://creativecommons.org/licenses/by/4.0/).
Share and Cite
Danova, S.; Yankov, D.; Dobreva, L.; Dobreva, A.; Armenova, N.; Apostolov, A.; Mileva, M. Postbiotics Production of Candidate-Probiotic Lactiplantibacillus plantarum AC131 with Renewable Bio Resources. Life 2023, 13, 2006. https://doi.org/10.3390/life13102006
Danova S, Yankov D, Dobreva L, Dobreva A, Armenova N, Apostolov A, Mileva M. Postbiotics Production of Candidate-Probiotic Lactiplantibacillus plantarum AC131 with Renewable Bio Resources. Life. 2023; 13(10):2006. https://doi.org/10.3390/life13102006
Chicago/Turabian StyleDanova, Svetla, Dragomir Yankov, Lili Dobreva, Ana Dobreva, Nadya Armenova, Apostol Apostolov, and Milka Mileva. 2023. "Postbiotics Production of Candidate-Probiotic Lactiplantibacillus plantarum AC131 with Renewable Bio Resources" Life 13, no. 10: 2006. https://doi.org/10.3390/life13102006
APA StyleDanova, S., Yankov, D., Dobreva, L., Dobreva, A., Armenova, N., Apostolov, A., & Mileva, M. (2023). Postbiotics Production of Candidate-Probiotic Lactiplantibacillus plantarum AC131 with Renewable Bio Resources. Life, 13(10), 2006. https://doi.org/10.3390/life13102006

