Novel Nanoconjugate of Apamin and Ceftriaxone for Management of Diabetic Wounds
Abstract
:1. Introduction
2. Materials and Methods
2.1. Materials
2.2. Methods
2.2.1. CTX–APA Nanoconjugate Preparation and Optimization
2.2.2. Characterization of the Prepared CTX–APA Nanoconjugation Formulations
Particle Size and Zeta Potential Measurements
Stability of the Prepared Optimized CTX–APA Nanoconjugate
Transmission Electron Microscope Imaging of Optimized CTX–APA Nanoformulation
2.2.3. Preparation of CTX–APA Nanoconjugate-Loaded Hydrogel Formulations
2.2.4. In Vivo Animal Handling
2.2.5. Skin Irritation Test
2.2.6. Induction of Diabetes
2.2.7. Wound Excision
2.2.8. Wound Measurement
2.2.9. Preparation of Tissue Homogenate
2.2.10. Histological Examination
2.2.11. Biochemical Analyses
2.2.12. RT-qPCR of Excised Tissue
2.2.13. Immunohistochemical Assessments
2.2.14. Statistical Analysis
3. Results
3.1. Box–Behnken Design Statistical Analysis
3.1.1. Model Fit Statistics
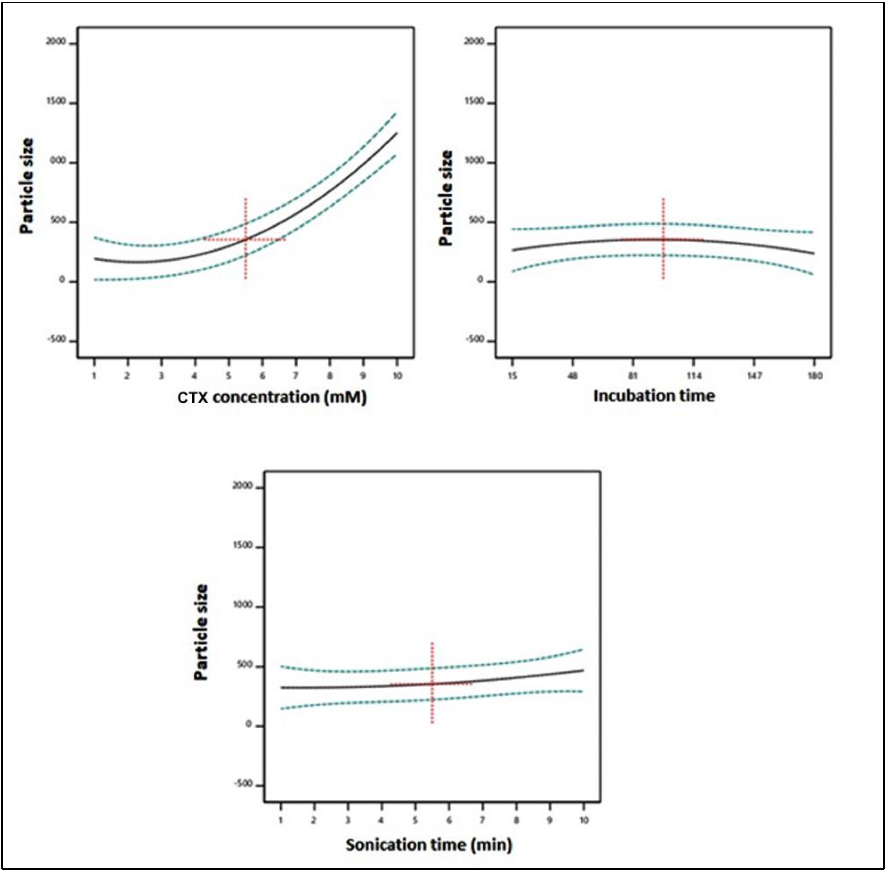
3.1.2. Variable Influence on Particle Size (Y1)
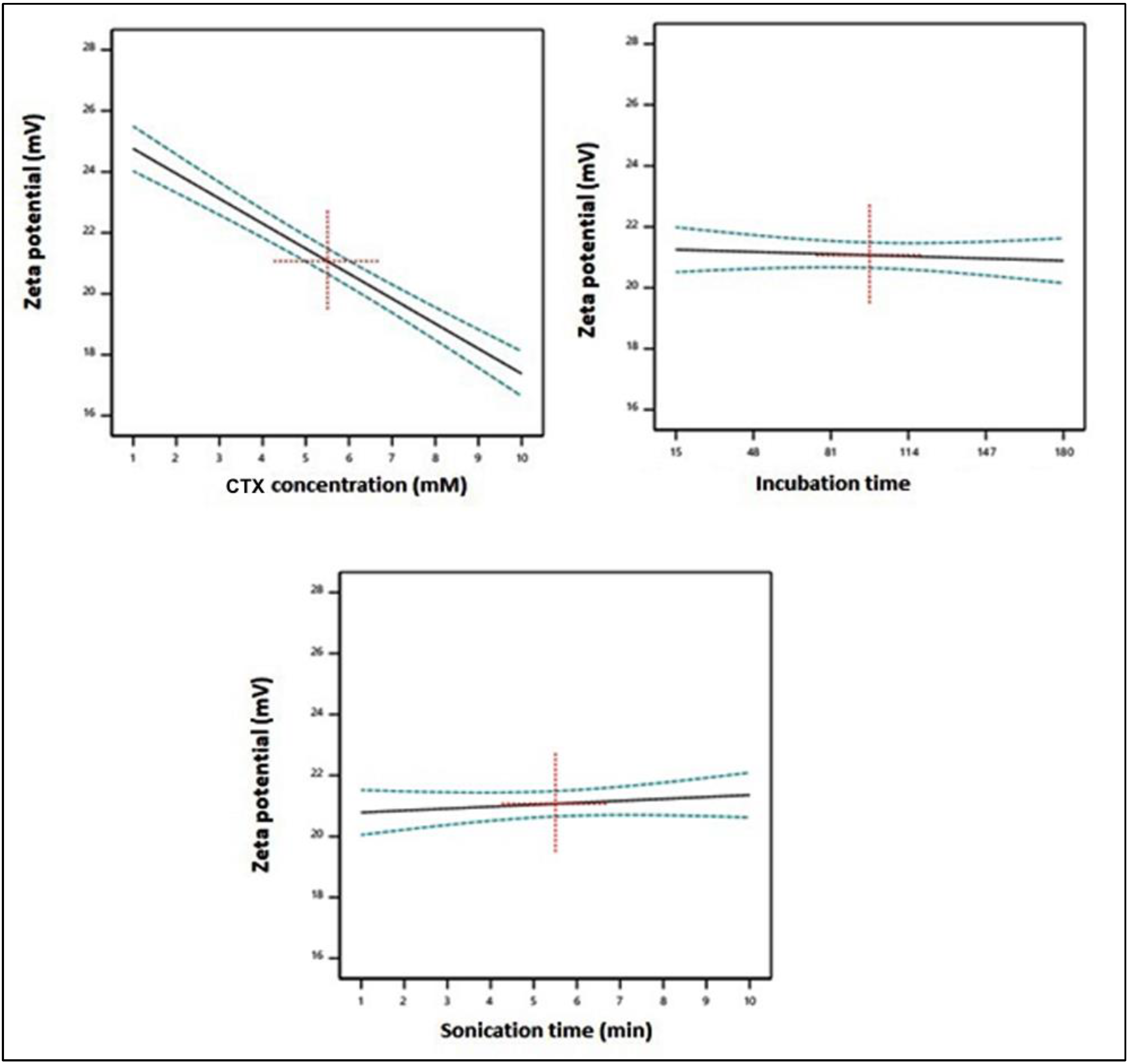
3.1.3. Variable Influence on Zeta Potential (Y2)
3.2. Optimization
3.3. TEM Investigation of Optimized CTX–APA
3.4. Assessment of Wound Healing
3.5. Histopathological Assessment of Wound Tissues Stained with H&E and MT
3.6. Effect of Optimized CTX–APA on Oxidative Status on Day 21
3.7. Effect of CTX–APA on Inflammation on Day 21
3.8. Effect of CTX–APA on Collagen Formation on Day 21
3.9. Effect of CTX–APA on Immunohistochemical Expression of TGF-β1, HIF-1α, and VEGF on Day 21
4. Discussion
5. Conclusions
Author Contributions
Funding
Institutional Review Board Statement
Informed Consent Statement
Data Availability Statement
Acknowledgments
Conflicts of Interest
References
- American Diabetes Association. Diagnosis and classification of diabetes mellitus. Diabetes Care 2009, 32 (Suppl. S1), S62–S67. [Google Scholar] [CrossRef] [PubMed] [Green Version]
- Alotaibi, A.; Perry, L.; Gholizadeh, L.; Al-Ganmi, A. Incidence and prevalence rates of diabetes mellitus in Saudi Arabia: An overview. J. Epidemiol. Glob. Health 2017, 7, 211–218. [Google Scholar] [CrossRef] [PubMed]
- Punthakee, Z.; Goldenberg, R.; Katz, P. Definition, Classification and Diagnosis of Diabetes, Prediabetes and Metabolic Syndrome. Can. J. Diabetes 2018, 42, S10–S15. [Google Scholar] [CrossRef] [PubMed] [Green Version]
- Abdulaziz Al Dawish, M.; Alwin Robert, A.; Braham, R.; Abdallah Al Hayek, A.; Al Saeed, A.; Ahmed Ahmed, R.; Sulaiman Al Sabaan, F. Diabetes Mellitus in Saudi Arabia: A Review of the Recent Literature. Curr. Diabetes Rev. 2016, 12, 359–368. [Google Scholar] [CrossRef]
- Mariadoss, A.V.A.; Sivakumar, A.S.; Lee, C.-H.; Kim, S.J. Diabetes mellitus and diabetic foot ulcer: Etiology, biochemical and molecular based treatment strategies via gene and nanotherapy. Biomed. Pharmacother. 2022, 151, 113134. [Google Scholar] [CrossRef]
- Modarresi, M.; Farahpour, M.R.; Baradaran, B. Topical application of Mentha piperita essential oil accelerates wound healing in infected mice model. Inflammopharmacology 2019, 27, 531–537. [Google Scholar] [CrossRef]
- Khezri, K.; Farahpour, M.R.; Mounesi Rad, S. Accelerated infected wound healing by topical application of encapsulated Rosemary essential oil into nanostructured lipid carriers. Artif. Cells Nanomed. Biotechnol. 2019, 47, 980–988. [Google Scholar] [CrossRef] [Green Version]
- Guo, S.; DiPietro, L.A. Critical review in oral biology & medicine: Factors affecting wound healing. J. Dent. Res. 2010, 89, 219–229. [Google Scholar] [CrossRef]
- Gomes, A.; Teixeira, C.; Ferraz, R.; Prudencio, C.; Gomes, P. Wound-Healing Peptides for Treatment of Chronic Diabetic Foot Ulcers and Other Infected Skin Injuries. Molecules 2017, 22, 1743. [Google Scholar] [CrossRef] [Green Version]
- Bibi, S.; Mir, S.; Rehman, W.; Menaa, F.; Gul, A.; Alaryani, F.S.S.; Alqahtani, A.M.; Haq, S.; Abdellatif, M.H. Synthesis and In Vitro/Ex Vivo Characterizations of Ceftriaxone-Loaded Sodium Alginate/poly(vinyl alcohol) Clay Reinforced Nanocomposites: Possible Applications in Wound Healing. Materials 2022, 15, 3885. [Google Scholar] [CrossRef]
- Mahlapuu, M.; Håkansson, J.; Ringstad, L.; Björn, C. Antimicrobial peptides: An emerging category of therapeutic agents. Front. Cell. Infect. Microbiol. 2016, 6, 1–12. [Google Scholar] [CrossRef] [PubMed] [Green Version]
- Chen, W.Y.; Chang, H.Y.; Lu, J.K.; Huang, Y.C.; Harroun, S.G.; Tseng, Y.T.; Li, Y.J.; Huang, C.C.; Chang, H.T. Self-Assembly of Antimicrobial Peptides on Gold Nanodots: Against Multidrug-Resistant Bacteria and Wound-Healing Application. Adv. Funct. Mater. 2015, 25, 7189–7199. [Google Scholar] [CrossRef]
- Son, D.J.; Lee, J.W.; Lee, Y.H.; Song, H.S.; Lee, C.K.; Hong, J.T. Therapeutic application of anti-arthritis, pain-releasing, and anti-cancer effects of bee venom and its constituent compounds. Pharmacol. Ther. 2007, 115, 246–270. [Google Scholar] [CrossRef] [PubMed]
- El-Seedi, H.; El-Wahed, A.A.; Yosri, N.; Musharraf, S.G.; Chen, L.; Moustafa, M.; Zou, X.; Al-Mousawi, S.; Guo, Z.; Khatib, A.; et al. Antimicrobial properties of apis mellifera’s bee venom. Toxins 2020, 12, 451. [Google Scholar] [CrossRef]
- Tavakoli, S.; Klar, A.S. Advanced hydrogels as wound dressings. Biomolecules 2020, 10, 1169. [Google Scholar] [CrossRef]
- Laverty, G.; Gorman, S.P.; Gilmore, B.F. Antimicrobial peptide incorporated poly(2-hydroxyethyl methacrylate) hydrogels for the prevention of Staphylococcus epidermidis-associated biomaterial infections. J. Biomed. Mater. Res. Part A 2012, 100A, 1803–1814. [Google Scholar] [CrossRef] [Green Version]
- Gustafson, C.T.; Boakye-Agyeman, F.; Brinkman, C.L.; Reid, J.M.; Patel, R.; Bajzer, Z.; Dadsetan, M.; Yaszemski, M.J. Controlled delivery of vancomycin via charged hydrogels. PLoS ONE 2016, 11, e0146401. [Google Scholar] [CrossRef] [Green Version]
- Lakes, A.L.; Peyyala, R.; Ebersole, J.L.; Puleo, D.A.; Hilt, J.Z.; Dziubla, T.D. Synthesis and characterization of an antibacterial hydrogel containing covalently bound vancomycin. Biomacromolecules 2014, 15, 3009–3018. [Google Scholar] [CrossRef]
- Veiga, A.S.; Sinthuvanich, C.; Gaspar, D.; Franquelim, H.G.; Castanho, M.A.R.B.; Schneider, J.P. Arginine-rich self-assembling peptides as potent antibacterial gels. Biomaterials 2012, 33, 8907–8916. [Google Scholar] [CrossRef] [Green Version]
- Thapa, R.K.; Diep, D.B.; Tønnesen, H.H. Topical antimicrobial peptide formulations for wound healing: Current developments and future prospects. Acta Biomater. 2020, 103, 52–67. [Google Scholar] [CrossRef]
- Wang, L.; Hu, C.; Shao, L. The antimicrobial activity of nanoparticles: Present situation and prospects for the future. Int. J. Nanomed. 2017, 12, 1227–1249. [Google Scholar] [CrossRef] [PubMed] [Green Version]
- Yudaev, P.; Mezhuev, Y.; Chistyakov, E. Nanoparticle-Containing Wound Dressing: Antimicrobial and Healing Effects. Gels 2022, 8, 329. [Google Scholar] [CrossRef] [PubMed]
- Bui, V.K.H.; Park, D.; Lee, Y.-C. Chitosan Combined with ZnO, TiO₂ and Ag Nanoparticles for Antimicrobial Wound Healing Applications: A Mini Review of the Research Trends. Polymers 2017, 9, 21. [Google Scholar] [CrossRef] [Green Version]
- Badr-Eldin, S.M.; Aldawsari, H.M.; Ahmed, O.A.A.; Alhakamy, N.A.; Neamatallah, T.; Okbazghi, S.Z.; Fahmy, U.A. Optimized semisolid self-nanoemulsifying system based on glyceryl behenate: A potential nanoplatform for enhancing antitumor activity of raloxifene hydrochloride in MCF-7 human breast cancer cells. Int. J. Pharm. 2021, 600, 120493. [Google Scholar] [CrossRef] [PubMed]
- Apamin—ALX-151-013—Enzo Life Sciences. Available online: https://www.enzolifesciences.com/ALX-151-013/apamin/ (accessed on 15 January 1980).
- OECD 404 Guidelines for the Testing of Chemicals. Acute Dermal Irritation/Corrosion. OECD Guideline for Testing of Chemicals. 2015. Available online: https://www.oecd-ilibrary.org/docserver/9789264242678-en.pdf?expires=1658147739&id=id&accname=guest&checksum=B8B9CB93EDF8D380EB1D0FF04783E628 (accessed on 28 July 2015).
- Zatroch, K.K.; Knight, C.G.; Reimer, J.N.; Pang, D.S.J. Refinement of intraperitoneal injection of sodium pentobarbital for euthanasia in laboratory rats (Rattus norvegicus). BMC Vet. Res. 2017, 13, 4–10. [Google Scholar] [CrossRef] [Green Version]
- Fahmy, U.A.; Badr-Eldin, S.M.; Ahmed, O.A.A.; Aldawsari, H.M.; Tima, S.; Asfour, H.Z.; Al-Rabia, M.W.; Negm, A.A.; Sultan, M.H.; Madkhali, O.A.A.; et al. Intranasal Niosomal in Situ Gel as a Promising Approach for Enhancing Flibanserin Bioavailability and Brain Delivery: In Vitro Optimization and Ex Vivo/In Vivo Evaluation. Pharmaceutics 2020, 12, 485. [Google Scholar] [CrossRef]
- Sharp, A.; Diabetes, C.J. Diabetes and its effects. Nurs. Stand. 2011, 25, 41–47. [Google Scholar] [CrossRef]
- Labib, R.M.; Ayoub, I.M.; Michel, H.E.; Mehanny, M.; Kamil, V.; Hany, M.; Magdy, M.; Moataz, A.; Maged, B.; Mohamed, A. Appraisal on the wound healing potential of Melaleuca alternifolia and Rosmarinus officinalis L. Essential oil-loaded chitosan topical preparations. PLoS ONE 2019, 14, e0219561. [Google Scholar] [CrossRef]
- Ahmed, O.A.A.; Afouna, M.I.; El-say, K.M.; Abdel-naim, A.B.; Khedr, A.; Banjar, Z.M. Optimization of self- nanoemulsifying systems for the enhancement of in vivo hypoglycemic efficacy of glimepiride transdermal patches. Expert Opin. Drug Deliv. 2014, 11, 1005–1013. [Google Scholar] [CrossRef]
- Han, H. The effect of nanoparticle size on in vivo pharmacokinetics and cellular interaction. Nanomedicine 2016, 11, 673–692. [Google Scholar]
- Cells, H.; Al-wahaibi, L.H.; Al-saleem, M.S.M.; Ahmed, O.A.A. Optimized Conjugation of Fluvastatin to HIV-1 TAT Displays Enhanced Pro-Apoptotic Activity in hepg2 cells. Int. J. Mol. Sci. 2020, 21, 4138. [Google Scholar]
- Alhakamy, N.A.; Caruso, G.; Eid, B.G.; Fahmy, U.A.; Ahmed, O.A.A.; Abdel-Naim, A.B.; Alamoudi, A.J.; Alghamdi, S.A.; Sadoun, H.A.; Eldakhakhny, B.M.; et al. Ceftriaxone and Melittin Synergistically Promote Wound Healing in Diabetic Rats. Pharmaceutics 2021, 13, 1622. [Google Scholar] [CrossRef] [PubMed]
- Kurilko, N.L.; Kiyamov, A.K.; Ivanova, M.A.; Pashkov, E.P.; Aleksandrov, M.T.; Sorokoumova, G.M.; Shvets, V.I. Impact of liposomes and ceftriaxone-entrapped liposomes on skin wound healing in rats. Antibiot. Khimioterapiya 2009, 54, 25–30. [Google Scholar]
- Kurek-Górecka, A.; Komosinska-Vassev, K.; Rzepecka-Stojko, A.; Olczyk, P. Bee Venom in Wound Healing. Molecules 2020, 26, 148. [Google Scholar] [CrossRef] [PubMed]
- Eid, B.G.; Alhakamy, N.A.; Fahmy, U.A.; Ahmed, O.A.A.; Md, S.; Abdel-Naim, A.B.; Caruso, G.; Caraci, F. Melittin and diclofenac synergistically promote wound healing in a pathway involving TGF-β1. Pharmacol. Res. 2022, 175, 105993. [Google Scholar] [CrossRef]
- Kim, H.; Hong, J.Y.; Lee, J.; Jeon, W.J.; Ha, I.H. Apamin enhances neurite outgrowth and regeneration after laceration injury in cortical neurons. Toxins 2021, 13, 603. [Google Scholar] [CrossRef]
- Schäfer, M.; Werner, S. Oxidative stress in normal and impaired wound repair. Pharmacol. Res. 2008, 58, 165–171. [Google Scholar] [CrossRef]
- Deng, L.; Du, C.; Song, P.; Chen, T.; Rui, S.; Armstrong, D.G.; Deng, W. The Role of Oxidative Stress and Antioxidants in Diabetic Wound Healing. Oxid. Med. Cell. Longev. 2021, 2021, 8852759. [Google Scholar] [CrossRef]
- Kim, J.Y.; Leem, J.; Park, K.K. Antioxidative, antiapoptotic, and anti-inflammatory effects of Apamin in a murine model of lipopolysaccharide-induced acute kidney injury. Molecules 2020, 25, 5717. [Google Scholar] [CrossRef]
- Sobral, F.; Sampaio, A.; Falcão, S.; Queiroz, M.J.R.P.; Calhelha, R.C.; Vilas-Boas, M.; Ferreira, I.C.F.R. Chemical characterization, antioxidant, anti-inflammatory and cytotoxic properties of bee venom collected in Northeast Portugal. Food Chem. Toxicol. 2016, 94, 172–177. [Google Scholar] [CrossRef] [Green Version]
- Abdel-Daim, M.M.; El-Ghoneimy, A. Synergistic protective effects of ceftriaxone and ascorbic acid against subacute deltamethrin-induced nephrotoxicity in rats. Ren. Fail. 2015, 37, 297–304. [Google Scholar] [CrossRef] [PubMed] [Green Version]
- Bisht, R.; Kaur, B.; Gupta, H.; Prakash, A. Ceftriaxone mediated rescue of nigral oxidative damage and motor deficits in MPTP model of Parkinson’s disease in rats. Neurotoxicology 2014, 44, 71–79. [Google Scholar] [CrossRef] [PubMed]
- Kaur, B.; Prakash, A. Ceftriaxone attenuates glutamate-mediated neuro-inflammation and restores BDNF in MPTP model of Parkinson’s disease in rats. Pathophysiology 2017, 24, 71–79. [Google Scholar] [CrossRef] [PubMed]
- Hussein, A.M.; Ghalwash, M.; Magdy, K.; Abulseoud, O.A. Beta Lactams Antibiotic Ceftriaxone Modulates Seizures, Oxidative Stress and Connexin 43 Expression in Hippocampus of Pentylenetetrazole Kindled Rats. J. Epilepsy Res. 2016, 6, 8–15. [Google Scholar] [CrossRef]
- Pawełczyk, E.; Płotkowiak, Z.; Helska, M. Kinetics of talampicillin decomposition in solutions. Acta Pol. Pharm. Drug Res. 2002, 59, 25–29. [Google Scholar] [CrossRef]
- Wei, J.; Pan, X.; Pei, Z.; Wang, W.; Qiu, W.; Shi, Z.; Xiao, G. The beta-lactam antibiotic, ceftriaxone, provides neuroprotective potential via anti-excitotoxicity and anti-inflammation response in a rat model of traumatic brain injury. J. Trauma Acute Care Surg. 2012, 73, 654–660. [Google Scholar] [CrossRef]
- Grandgirard, D.; Oberson, K.; Bühlmann, A.; Gäumann, R.; Leib, S.L. Attenuation of cerebrospinal fluid inflammation by the nonbacteriolytic antibiotic daptomycin versus that by ceftriaxone in experimental pneumococcal meningitis. Antimicrob. Agents Chemother. 2010, 54, 1323–1326. [Google Scholar] [CrossRef] [Green Version]
- Kim, J.Y.; Kim, K.H.; Lee, W.R.; An, H.J.; Lee, S.J.; Han, S.M.; Lee, K.G.; Park, Y.Y.; Kim, K.S.; Lee, Y.S.; et al. Apamin inhibits PDGF-BB-induced vascular smooth muscle cell proliferation and migration through suppressions of activated Akt and Erk signaling pathway. Vascul. Pharmacol. 2015, 70, 8–14. [Google Scholar] [CrossRef]
- Park, J.; Jang, K.M.; Park, K.K. Apamin suppresses LPS-induced neuroinflammatory responses by regulating SK channels and TLR4-mediated signaling pathways. Int. J. Mol. Sci. 2020, 21, 4319. [Google Scholar] [CrossRef]
- Lee, Y.M.; Cho, S.N.; Son, E.; Song, C.H.; Kim, D.S. Apamin from bee venom suppresses inflammation in a murine model of gouty arthritis. J. Ethnopharmacol. 2020, 257, 112860. [Google Scholar] [CrossRef]
- Sorg, H.; Tilkorn, D.J.; Hager, S.; Hauser, J.; Mirastschijski, U. Skin Wound Healing: An Update on the Current Knowledge and Concepts. Eur. Surg. Res. 2017, 58, 81–94. [Google Scholar] [CrossRef] [PubMed]
- Yao, C.; Markowicz, M.; Pallua, N.; Magnus Noah, E.; Steffens, G. The effect of cross-linking of collagen matrices on their angiogenic capability. Biomaterials 2008, 29, 66–74. [Google Scholar] [CrossRef] [PubMed]
- Marcello, E.; Caraci, F. Fluoxetine and Vortioxetine Reverse Depressive-Like Phenotype and Memory Deficits Induced by A β 1-42 Oligomers in Mice: A Key Role of Transforming Growth Factor-β 1. Front. Pharmacol. 2019, 10, 1–14. [Google Scholar] [CrossRef]
- Sader, F. Tgf-β superfamily and limb regeneration: Tgf-β to start and Bmp to end. Dev. Dyn. 2021, 251, 973–987. [Google Scholar] [CrossRef] [PubMed]
- Gazaerly, H.E.; Elbardisey, D.M.; Eltokhy, H.M.; Teaama, D.; Gazaerly, H. El Effect of Transforming Growth Factor Beta 1 on Wound Healing in Induced Diabetic Rats. Int. J. Health Sci. 2013, 7, 160–172. [Google Scholar]
- Moreira, H.R.; Marques, A.P. Vascularization in skin wound healing: Where do we stand and where do we go? Curr. Opin. Biotechnol. 2022, 73, 253–262. [Google Scholar] [CrossRef]
- Hong, W.X.; Hu, M.S.; Esquivel, M.; Liang, G.Y.; Rennert, R.C.; Mcardle, A.; Paik, K.J.; Duscher, D.; Gurtner, G.C.; Lorenz, H.P.; et al. The Role of Hypoxia-Inducible Factor in Wound Healing. Adv. Wound Care 2014, 3, 390–399. [Google Scholar] [CrossRef] [Green Version]
- Goswami, A.G.; Basu, S.; Huda, F.; Pant, J.; Ghosh Kar, A.; Banerjee, T.; Shukla, V.K. An appraisal of vascular endothelial growth factor (VEGF): The dynamic molecule of wound healing and its current clinical applications. Growth Factors 2022. Ahead of print. [Google Scholar] [CrossRef]











| Independent Variables | Levels | ||
|---|---|---|---|
| (−1) | (0) | (+1) | |
| X1: CTX Concentration (mM) | 1.0 | 5.5 | 10.0 |
| X2: Incubation Time (min) | 15.0 | 97.5 | 180.0 |
| X3: Sonication Time (min) | 1.0 | 5.5 | 10.0 |
| Responses | Desirability Constraints | ||
| Y1: Particle Size (nm) | Minimize | ||
| Y2: Zeta Potential (mV) | Maximize | ||
| Experimental Run Number | Independent Variables | PS ± SD (nm) | ZP ± SD (mV) | ||
|---|---|---|---|---|---|
| CTX Concentration (mM) | Incubation Time (min) | Sonication Time (min) | |||
| F-1 | 10.0 | 15.0 | 5.5 | 1263.6 ± 42.1 | 17.7 ± 0.9 |
| F-2 | 1.0 | 97.5 | 10.0 | 103.9 ± 2.3 | 26.4 ± 1.2 |
| F-3 | 1.0 | 180.0 | 5.5 | 199.6 ± 8.7 | 24.3 ± 0.9 |
| F-4 | 5.5 | 15.0 | 10.0 | 280.7 ± 9.1 | 20.8 ± 0.8 |
| F-5 | 1.0 | 15.0 | 5.5 | 84.6 ± 2.1 | 26.1 ± 1.1 |
| F-6 | 5.5 | 97.5 | 5.5 | 559.8 ± 14.6 | 20.5 ± 0.7 |
| F-7 | 5.5 | 180.0 | 1.0 | 276.0 ± 10.8 | 20.8 ± 0.6 |
| F-8 | 5.5 | 180.0 | 10.0 | 364.9 ± 13.5 | 20.8 ± 0.8 |
| F-9 | 5.5 | 15.0 | 1.0 | 254.6 ± 9.1 | 20.2 ± 0.7 |
| F-10 | 5.5 | 97.5 | 5.5 | 283.5 ± 8.8 | 20.3 ± 0.8 |
| F-11 | 10.0 | 180.0 | 5.5 | 934.2 ± 29.8 | 17.4 ± 0.5 |
| F-12 | 1.0 | 97.5 | 1.0 | 270.5 ± 7.9 | 23.7 ± 1.1 |
| F-13 | 10.0 | 97.5 | 10 | 1658.7 ± 57.8 | 17.4 ± 0.6 |
| F-14 | 5.5 | 97.5 | 5.5 | 270.6 ± 11.6 | 21.0 ± 0.5 |
| F-15 | 10.0 | 97.5 | 1.0 | 1026.9 ± 31.9 | 18.4 ± 0.7 |
| F-16 | 5.5 | 97.5 | 5.5 | 274.6 ± 11.7 | 21.5 ± 0.7 |
| F-17 | 5.5 | 97.5 | 5.5 | 387.9 ± 14.9 | 20.7 ± 0.6 |
| Response | Fitting Model | Sequential p-Value | Lack of Fit p-Value | R² | Adjusted R² | Predicted R² | PRESS |
|---|---|---|---|---|---|---|---|
| PS (nm) | Quadratic | 0.0030 | 0.4674 | 0.9658 | 0.9219 | 0.7312 | 8.62 × 105 |
| ZP (mV) | Linear | <0.0001 | 0.1095 | 0.9306 | 0.9146 | 0.8650 | 15.96 |
| Source | Sum of Squares | Degrees of Freedom | Mean Square | F-Value | p-Value |
|---|---|---|---|---|---|
| Model | 3.098 × 106 | 9 | 3.442 × 105 | 21.99 | 0.0002 |
| X1: CTX Concentration | 2.231 × 106 | 1 | 2.231 × 106 | 142.54 | <0.0001 |
| X2: Incubation Time | 1478.05 | 1 | 1478.05 | 0.0944 | 0.7676 |
| X3: Sonication Time | 42,077.55 | 1 | 42,077.55 | 2.69 | 0.1451 |
| X1 X2 | 49,379.51 | 1 | 49,379.51 | 3.15 | 0.1190 |
| X1 X3 | 1.593 × 105 | 1 | 1.593 × 105 | 10.18 | 0.0153 |
| X2 X3 | 984.39 | 1 | 984.39 | 0.0629 | 0.8092 |
| X12 | 5.705 × 105 | 1 | 5.705 × 105 | 36.45 | 0.0005 |
| X22 | 44,571.95 | 1 | 44,571.95 | 2.85 | 0.1354 |
| X32 | 7298.83 | 1 | 7298.83 | 0.4663 | 0.5167 |
| Residual | 1.096 × 105 | 7 | 15,653.00 | ||
| Lack of Fit | 47,862.99 | 3 | 15,954.33 | 1.03 | 0.4674 |
| Pure Error | 61,707.98 | 4 | 15,427.00 | ||
| Cor Total | 3.207 × 106 | 16 |
| Source | Sum of Squares | Degrees of Freedom | Mean Square | F-Value | p-Value |
|---|---|---|---|---|---|
| Model | 109.99 | 3 | 36.66 | 58.12 | <0.0001 |
| X1: CTX Concentration | 109.08 | 1 | 109.08 | 172.89 | <0.0001 |
| X2: Incubation Time | 0.2628 | 1 | 0.2628 | 0.4166 | 0.5299 |
| X3: Sonication Time | 0.6555 | 1 | 0.6555 | 1.04 | 0.3266 |
| Residual | 8.20 | 13 | 0.6309 | ||
| Lack of Fit | 7.33 | 9 | 0.8139 | 3.71 | 0.1095 |
| Pure Error | 0.8765 | 4 | 0.2191 | ||
| Cor Total | 118.20 | 16 |
| Variables | X1: CTX Concentration (mM) | X2: Incubation Time (min) | X3: Sonication Time (min) |
|---|---|---|---|
| Optimal values | 1.00 | 66.40 | 10.0 |
| Predicted value | Observed value | Error % | |
| Vesicle size (nm) | 52.57 | 60.27 ± 2.8 | 12.78 |
| Zeta potential (mV) | 25.12 | 23.67± 2.66 | 6.13 |
| GT | RE | CD | IC | Phase I | Phase II | Phase III | |
|---|---|---|---|---|---|---|---|
| Untreated Control | + | − | + | +++ | ++ | ++ | − |
| Hydrogel | ++ | − | + | ++ | ++ | ++ | − |
| CTX | ++ | + | + | + | + | ++ | ++ |
| APA | + | + | ++ | − | + | ++ | ++ |
| CTX–APA | ++ | ++ | +++ | +/− | − | +++ | +++ |
| Positive Control | ++ | + | ++ | + | + | +++ | ++ |
| SOD (Unit/mg Protein) | CAT (Unit/mg Protein) | MDA (nmol/mg Protein) | GSH (nmol/mg Protein) | |
|---|---|---|---|---|
| Diabetic Untreated | 5.22 ± 0.63 | 0.58 ± 0.07 | 8.60 ± 0.97 | 1.43 ± 0.15 |
| Hydrogel | 5.48 ± 0.66 | 0.61 ± 0.07 | 8.20 ± 0.92 | 1.70 ± 0.21 |
| CTX | 6.85 a ± 0.77 | 1.13 a ± 0.12 | 6.70 b ± 0.72 | 2.66 a,b ± 0.28 |
| APA | 7.41 a,b ± 0.86 | 1.24 a ± 0.14 | 7.21 a,b ± 0.80 | 2.23 a,b ± 0.24 |
| CTX–APA | 9.32 a,b,c,d ± 1.10 | 2.75 a,b,c,d ± 0.29 | 4.31 a,b,c,d ± 0.57 | 3.10 a,b,c,d ± 0.32 |
| Positive Control | 8.83 a,b,c ± 0.95 | 2.28 a,b,c,d ± 0.23 | 5.44 a,b,c,d ± 0.67 | 2.70 a,b,e ± 0.30 |
Publisher’s Note: MDPI stays neutral with regard to jurisdictional claims in published maps and institutional affiliations. |
© 2022 by the authors. Licensee MDPI, Basel, Switzerland. This article is an open access article distributed under the terms and conditions of the Creative Commons Attribution (CC BY) license (https://creativecommons.org/licenses/by/4.0/).
Share and Cite
Alamoudi, A.A.; Alharbi, A.S.; Abdel-Naim, A.B.; Badr-Eldin, S.M.; Awan, Z.A.; Okbazghi, S.Z.; Ahmed, O.A.A.; Alhakamy, N.A.; Fahmy, U.A.; Esmat, A. Novel Nanoconjugate of Apamin and Ceftriaxone for Management of Diabetic Wounds. Life 2022, 12, 1096. https://doi.org/10.3390/life12071096
Alamoudi AA, Alharbi AS, Abdel-Naim AB, Badr-Eldin SM, Awan ZA, Okbazghi SZ, Ahmed OAA, Alhakamy NA, Fahmy UA, Esmat A. Novel Nanoconjugate of Apamin and Ceftriaxone for Management of Diabetic Wounds. Life. 2022; 12(7):1096. https://doi.org/10.3390/life12071096
Chicago/Turabian StyleAlamoudi, Abdullah A., Awaad S. Alharbi, Ashraf B. Abdel-Naim, Shaimaa M. Badr-Eldin, Zuhier A. Awan, Solomon Z. Okbazghi, Osama A. A. Ahmed, Nabil A. Alhakamy, Usama A. Fahmy, and Ahmed Esmat. 2022. "Novel Nanoconjugate of Apamin and Ceftriaxone for Management of Diabetic Wounds" Life 12, no. 7: 1096. https://doi.org/10.3390/life12071096
APA StyleAlamoudi, A. A., Alharbi, A. S., Abdel-Naim, A. B., Badr-Eldin, S. M., Awan, Z. A., Okbazghi, S. Z., Ahmed, O. A. A., Alhakamy, N. A., Fahmy, U. A., & Esmat, A. (2022). Novel Nanoconjugate of Apamin and Ceftriaxone for Management of Diabetic Wounds. Life, 12(7), 1096. https://doi.org/10.3390/life12071096

