Hypofractionation and Concomitant Boost in Ductal Carcinoma In Situ (DCIS): Analysis of a Prospective Case Series with Long-Term Follow-Up
Abstract
:1. Introduction
2. Materials and Methods
2.1. Cohort Characteristic
2.2. Radiotherapy Treatment Schedule
2.3. ER ang PgR Status
2.4. Other Pathological Characteristics
2.5. Follow-Up and Toxicity
2.6. Statistical Analysis
3. Results
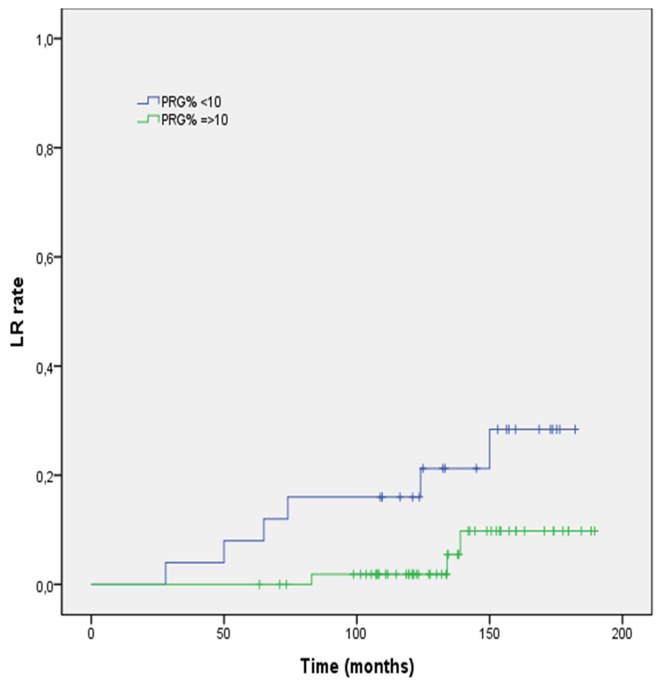
3.1. Clinical Outcomes
3.2. Predictive Factors
3.3. Toxicity and Cosmetic Outcome
4. Discussion
5. Conclusions
Author Contributions
Funding
Institutional Review Board Statement
Informed Consent Statement
Data Availability Statement
Conflicts of Interest
References
- DeSnyder, S.M.; Hunt, K.K.; Dong, W.; Smith, B.D.; Moran, M.S.; Mac Gregor, M.C.; Shen, Y.; Kuerer, H.M.; Lucci, A. American Society of Breast Surgeons’ practice patterns after publication of the SSO-ASTRO-ASCO DCIS consensus guideline on margins from breast-conserving surgery with whole-breast irradiation. Ann. Surg. Oncol. 2018, 25, 2965–2974. [Google Scholar] [CrossRef] [PubMed]
- Farante, G.; Toesca, A.; Magnoni, F.; Lissidini, G.; Vila, J.; Mastropasqua, M.; Viale, G.; Penco, S.; Cassano, E.; Lazzeroni, M.; et al. Advances and controversies in management of breast ductal carcinoma in situ (DCIS). Eur. J. Surg. Oncol. 2022, 48, 736–741. [Google Scholar] [CrossRef] [PubMed]
- Correa, C.; McGale, P.; Taylor, C.; Wang, Y.; Clarke, M.; Davies, C.; Peto, R.; Bijker, N.; Solin, L.; Darby, S. Overview of the randomized trials of radiotherapy in ductal carcinoma in situ of the breast. J. Natl. Cancer Inst. Monogr. 2010, 41, 162–177. [Google Scholar]
- McCormick, B.; Winter, K.; Hudis, C.; Kuerer, H.M.; Rakovitch, E.; Smith, B.L.; Sneige, N.; Moughan, J.; Shah, A.; Germain, I.; et al. RTOG 9804: A prospective randomized trial for good-risk ductal carcinoma in situ comparing radiotherapy with observation. J. Clin. Oncol. 2015, 33, 709–715. [Google Scholar] [CrossRef] [Green Version]
- Offersen, B.V.; Alsner, J.; Nielsen, H.M.; Jakobsen, E.H.; Nielsen, M.H.; Krause, M.; Stenbygaard, L.; Mjaaland, I.; Schreiber, A.; Kasti, U.-M.; et al. Hypofractionated versus standard fractionated radiotherapy in patients with early breast cancer or ductal carcinoma in situ in a randomized phase III trial: The DBCG HYPO trial. J. Clin. Oncol. 2020, 38, 3615–3625. [Google Scholar] [CrossRef]
- King, M.T.; Link, E.K.; Whelan, T.J.; Olivotto, I.A.; Kunkler, I.; Westenberg, A.H.; Gruber, G.; Schofield, P.; Chua, B.H.; Phillips, C.; et al. Quality of life after breast-conserving therapy and adjuvant radiotherapy for non-low-risk ductal carcinoma in situ (BIG3-07/TROG 07.01): 2-year results of a randomised, controlled, phase 3 trial. Lancet Oncol. 2020, 21, 685–698. [Google Scholar] [CrossRef]
- Ciervide, R.; Dhage, S.; Guth, A.; Shapiro, R.L.; Axelrod, D.M.; Roses, D.F.; Formenti, S.C. Five year outcome of 145 patients with ductal carcinoma in situ (DCIS) after accelerated breast radiotherapy. Int. J. Radiat. Oncol. Biol. Phys. 2012, 83, e159–e164. [Google Scholar] [CrossRef]
- Hathout, L.; Hijal, T.; Théberge, V.; Fortin, B.; Vulpe, H.; Hogue, J.-C.; Lambert, C.; Bahig, H.; Provencher, L.; Vavassis, P.; et al. Hypofractionated radiation therapy for breast ductal carcinoma in situ. Int. J. Radiat. Oncol. Biol. Phys. 2013, 87, 1058–1063. [Google Scholar] [CrossRef]
- Guenzi, M.; Giannelli, F.; Bosetti, D.; Blandino, G.; Milanese, M.L.; Pupillo, F.; Corvò, R.; Fozza, A. Two different hypofractionated breast radiotherapy schedules for 113 patients with ductal carcinoma in situ: Preliminary results. Anticancer Res. 2013, 33, 3503–3507. [Google Scholar]
- Cante, D.; Franco, P.; Sciacero, P.; Girelli, G.; Marra, A.M.; Pasquino, M.; Russo, G.; Borca, V.C.; Mondini, G.; Paino, O.; et al. Hypofractionation and concomitant boost to deliver adjuvant whole-breast radiation in ductal carcinoma in situ (DCIS): A subgroup analysis of a prospective case series. Med. Oncol. 2014, 31, 838. [Google Scholar] [CrossRef]
- Nilsson, C.; Valachis, A. The role of boost and hypofractionation as adjuvant radiotherapy in patients with DCIS: A meta-analysis of observational studies. Radiother. Oncol. 2015, 114, 50–55. [Google Scholar] [CrossRef]
- Lalani, N.; Paszat, L.; Sutradhar, R.; Thiruchelvam, D.; Nofech-Mozes, S.; Hanna, W.; Slodkowska, E.; Done, S.; Miller, N.; Youngson, B.; et al. Long-term outcomes of hypofractionation versus conventional radiation therapy after breast-conserving surgery for ductal carcinoma in situ of the breast. Int. J. Radiat. Oncol. Biol. Phys. 2014, 90, 1017–1024. [Google Scholar] [CrossRef]
- Isfahanian, N.; Al-Hajri, T.; Marginean, H.; Chang, L.; Caudrelier, J.-M. Hypofractionation is an acceptable alternative to conventional fractionation in the treatment of postlumpectomy ductal carcinoma in situ with radiotherapy. Clin. Breast Cancer 2017, 17, e77–e85. [Google Scholar] [CrossRef]
- Williamson, D.; Dinniwell, R.; Fung, S.; Pintilie, M.; Done, S.J.; Fyles, A.W. Local control with conventional and hypofractionated adjuvant radiotherapy after breast-conserving surgery for ductal carcinoma in-situ. Radiother. Oncol. 2010, 95, 317–320. [Google Scholar] [CrossRef]
- Meduri, B.; De Rose, F.; Cabula, C.; Castellano, I.; Da Ros, L.; Grassi, M.M.; Orrù, S.; Puglisi, F.; Trimboli, R.M.; Ciabattoni, A. Comparing hypofractionated and conventionally fractionated whole breast irradiation for patients with ductal carcinoma in situ after breast conservation: A propensity score-matched analysis from a national multicenter cohort (COBCG-02 study). J. Cancer Res. Clin. Oncol. 2021, 147, 2069–2077. [Google Scholar]
- Lee, A.; Kim, H.Y.; Kim, T.H.; Ahn, K.J.; Cho, H.; Park, S.K.; Choi, Y. Hypofracionated radiotherapy for early-stage breast cancer: A propensity score matched analysis. J. Korean Med. Sci. 2022, 37, e64. [Google Scholar] [CrossRef]
- Moran, M.S.; Zhao, Y.; Ma, S.; Kirova, Y.; Fourquet, A.; Chen, P.; Hoffman, K.; Hunt, K.; Wong, J.; Halasz, L.M.; et al. Association of radiotherapy boost for ductal carcinoma in situ with local control after whole-breast radiation therapy. JAMA Oncol. 2017, 3, 1060–1068. [Google Scholar] [CrossRef]
- Cambra, M.J.; Moreno, F.; Sanz, X.; Anglada, L.; Mollà, M.; Reyes, V.; Arenas, M.; Pedro, A.; Ballester, R.; García, V.; et al. Role of boost radiotherapy for local control of pure ductal carcinoma in situ after breast-conserving surgery: A multicenter, retrospective study of 622 patients. Clin. Transl. Oncol. 2020, 22, 670–680. [Google Scholar] [CrossRef]
- Chua, B.H.; Link, E.; Kunkler, I.; Olivotto, I.; Westenberg, A.H.; Whelan, T.; Gruber, G. A randomized phase III study of radiation doses and fractionation schedules in non-low risk ductal carcinoma in situ (DCIS) of the breast (BIG 3-07/TROG 07.01). In Proceedings of the San Antonio Breast Cancer Symposium (SABCS), San Antonio, TX, USA, 8–12 December 2020. abstr GS2-04. [Google Scholar]
- Cante, D.; La Porta, M.R.; Casanova-Borca, V.; Sciacero, P.; Girelli, G.; Pasquino, M.; Franco, P.; Ozzello, F. Accelerated hypofractionated adjuvant whole breast radiotherapy with concomitant photon boost after conserving surgery for early breast cancer: A prospective evaluation on 463 patients. Breast J. 2013, 17, 586–593. [Google Scholar] [CrossRef]
- Cante, D.; Franco, P.; Sciacero, P.; Girelli, G.; Marra, A.M.; Pasquino, M.; Russo, G.; Borca, V.C.; Mondini, G.; Paino, O.; et al. Five-year results of a prospective case series of accelerated hypofractionated whole breast radiation with concomitant boost to the surgical bed after conserving surgery for early breast cancer. Med. Oncol. 2013, 30, 518. [Google Scholar] [CrossRef]
- Cante, D.; Franco, P.; Sciacero, P.; Girelli, G.; Pasquino, M.; Borca, V.C.; Tofani, S.; La Porta, M.R.; Ricardi, U. Hypofractionated whole-breast radiotherapy and concomitant boost after breast conservation in elderly patients. Tumori 2016, 102, 196–202. [Google Scholar] [CrossRef]
- Cante, D.; Petrucci, E.; Sciacero, P.; Piva, C.; Ferrario, S.; Bagnera, S.; Patania, S.; Mondini, G.; Pasquino, M.; Borca, V.C.; et al. Ten-year results of accelerated hypofractionated adjuvant whole-breast radiation with concomitant boost to the lumpectomy cavity after conserving surgery for early breast cancer. Med. Oncol. 2017, 34, 152. [Google Scholar] [CrossRef]
- Hammond, M.E.H.; Hayes, D.F.; Wolff, A.C.; Mangu, P.B.; Temin, S. American Society of Clinical Oncology/College of American Pathologists guideline recommendations for immunohistochemical testing of estrogen and progesterone receptors in breast cancer. J. Oncol. Pract. 2010, 6, 195–197. [Google Scholar] [CrossRef] [Green Version]
- Sobin, L.; Gospodarowicz, M.; Wittekind, C. (Eds.) TNM Classification of Malignant Tumors; John Wiley and Sons: Hoboken, NJ, USA, 2009. [Google Scholar]
- Elston, C.W.; Ellis, I.O. Pathological prognostic factors in breast cancer: I. The value of histological grade in breast cancer: Experience from a large study with long-term follow-up. Histopathology 2002, 41, 151–152. [Google Scholar] [CrossRef]
- Warren, J.L.; Weaver, D.L.; Bocklage, T.; Key, C.R.; Platz, C.E.; Cronin, K.A.; Ballard-Barbash, R.; Willey, S.C.; Harlan, L.C. The frequency of ipsilateral second tumors after breast-conserving surgery for DCIS: A population-based analysis. Cancer 2005, 104, 1840–1848. [Google Scholar] [CrossRef]
- Corradini, S.; Pazos, M.; Schönecker, S.; Reitz, D.; Niyazi, M.; Ganswindt, U.; Schrodi, S.; Braun, M.; Pölcher, M.; Mahner, S.; et al. Role of postoperative radiotherapy in reducing ipsilateral recurrence in DCIS: An observational study of 1048 cases. Radiat. Oncol. 2018, 13, 25. [Google Scholar] [CrossRef] [Green Version]
- Meattini, I.; Pasinetti, N.; Meduri, B.; De Rose, F.; De Santis, M.C.; Franco, P.; Lancellotta, V.; Rossi, F.; Saieva, C.; Desideri, I.; et al. A national multicenter study on 1072 DCIS patients treated with breast-conserving surgery and whole breast radiotherapy (COBCG-01 study). Radiother. Oncol. 2019, 131, 208–214. [Google Scholar] [CrossRef]
- Mokbel, K.; Cutuli, B. Heterogeneity of ductal carcinoma in situ and its effects on management. Lancet Oncol. 2006, 7, 756–765. [Google Scholar] [CrossRef]
- Rakovitch, E.; Pignol, J.-P.; Chartier, C.; Hanna, W.; Kahn, H.; Wong, J.; Mai, V.; Paszat, L. The management of ductal carcinoma in situ of the breast: A screened population-based analysis. Breast Cancer. Res. Treat. 2007, 101, 335–347. [Google Scholar] [CrossRef]
- Cutuli, B.; Wiezzane, N.; Palumbo, I.; Barbieri, P.; Guenzi, M.; Huscher, A.; Borghesi, S.; Delva, C.; Iannone, T.; Vianello, E.; et al. Breast-conserving treatment for ductal carcinoma in situ: Impact of boost and tamoxifen on local recurrences. Cancer Radiother. 2016, 20, 292–298. [Google Scholar] [CrossRef]
- Gennaro, M.; De Santis, M.C.; Mariani, L.; Vullo, S.L.; Cappelletti, V.; Agresti, R.; Cortinovis, U.; Paolini, B.; Di Cosimo, S.; Carcangiu, M.L.; et al. Ten-year results of applying an original scoring system for addressing adjuvant therapy use after breast-conserving surgery for ductal carcinoma in situ of the breast. Breast 2017, 35, 63–68. [Google Scholar] [CrossRef] [PubMed]
- Poulakaki, N.; Makris, G.M.; Battista, M.J.; Böhm, D.; Petraki, K.; Bafaloukos, D.; Sergentanis, T.N.; Siristatidis, C.; Chrelias, C.; Papantoniou, N. Hormonal receptor status, Ki-67 and HER2 expression: Prognostic value in the recurrence of ductal carcinoma in situ of the breast? Breast 2016, 25, 57–61. [Google Scholar] [CrossRef] [PubMed]
- Zhang, X.; Dai, H.; Liu, B.; Song, F.; Chen, K. Predictors for local invasive recurrence of ductal carcinoma in situ of the breast: A meta-analysis. Eur. J. Cancer Prev. 2016, 25, 19–28. [Google Scholar] [CrossRef] [PubMed] [Green Version]
- Meattini, I.; Saieva, C.; Bastiani, P.; Martella, F.; Francolini, G.; Russo, M.L.; Paoletti, L.; Doria, M.; Desideri, I.; Terziani, F.; et al. Impact of hormonal status on outcome of ductal carcinoma in situ treated with breast-conserving surgery plus radiotherapy: Long-term experience from two large-institutional series. Breast 2017, 33, 139–144. [Google Scholar] [CrossRef]
- Cuzick, J.; Sestak, I.; Pinder, S.E.; Ellis, I.; Forsyth, S.; Bundred, N.J.; Forbes, J.F.; Bishop, H.; Fentiman, I.S.; George, W.D. Effect of tamoxifen and radiotherapy in women with locally excised ductal carcinoma in situ: Long-term results from the UK/ANZ DCIS trial. Lancet Oncol. 2011, 12, 21–29. [Google Scholar] [CrossRef]
- Forbes, J.F.; Sestak, I.; Howell, A.; Bonanni, B.; Bundred, N.; Levy, C.; Von Minckwitz, G.; Eiermann, W.; Neven, P.; Stierer, M.; et al. Anastrozole versus tamoxifen for the prevention oflocoregional and contralateral breast cancer in postmenopausalwomen with locally excised ductal carcinoma in situ (IBIS-IIDCIS): A double-blind, randomised controlled trial. Lancet 2016, 387, 866–873. [Google Scholar] [CrossRef] [Green Version]
- Franco, P.; Zeverino, M.; Migliaccio, F.; Sciacero, P.; Cante, D.; Borca, V.C.; Torielli, P.; Arrichiello, C.; Girelli, G.; Numico, G.; et al. Intensity-modulated adjuvant whole breast radiation delivered with static angle tomotherapy (TomoDirect): A prospective case series. J. Cancer Res. Clin. Oncol. 2013, 139, 1927–1936. [Google Scholar] [CrossRef]
- Franco, P.; Zeverino, M.; Migliaccio, F.; Cante, D.; Sciacero, P.; Casanova Borca, V.; Torielli, P.; Arrichiello, C.; Girelli, G.; La Porta, M.R.; et al. Intensity-modulated and hypofractionated simulateneous integtrated boost adjuvant breast radiation employing static ports of tomotherapy (TomoDirect): A prospective phase II trial. J. Cancer Res. Clin. Oncol. 2014, 140, 167. [Google Scholar] [CrossRef]
- Franco, P.; Cante, D.; Sciacero, P.; Girelli, G.; La Porta, M.R.; Ricardi, U. Tumor bed boost integration during whole breast radiotherapy: A review of current evidence. Breast Care 2015, 10, 44–49. [Google Scholar] [CrossRef] [Green Version]
- Franco, P.; Iorio, G.C.; Bartoncini, S.; Airoldi, M.; De Sanctis, C.; Castellano, I.; Ricardi, U. De-escalation of breast radiotherapy after conserving surgery in low-risk early breast cancer. Med. Oncol. 2018, 35, 62. [Google Scholar] [CrossRef]




| Patient, Tumor, and Treatment Characteristcs | ||
|---|---|---|
| Age Groups (Years) | N° Patients | % |
| <40 | 2 | 2.4 |
| 40–60 | 39 | 47.6 |
| >60 | 41 | 50 |
| Menopausal state | ||
| Premenopausal | 13 | 15.9 |
| Postmenopausal | 69 | 84.1 |
| Patological nodal stage | ||
| pN0 | 35 | 42.7 |
| pNX | 47 | 57.3 |
| Grading | ||
| G1 | 15 | 18.3 |
| G2 | 37 | 45.1 |
| G3 | 30 | 36.6 |
| Subtype comedo | ||
| Yes | 42 | 51.2 |
| No | 40 | 48.8 |
| Necrosis | ||
| Yes | 32 | 39 |
| No | 50 | 61 |
| Microcalcifications | ||
| Yes | 34 | 41.5 |
| No | 48 | 58.5 |
| Multifocality | ||
| Yes | 22 | 26.8 |
| No | 60 | 73.2 |
| Ki-67% | ||
| <20 | 42 | 76.4 |
| >40 | 13 | 23.6 |
| NA | 27 | - |
| ER% | ||
| <10 | 14 | 17.1 |
| ≥10 | 68 | 82.9 |
| Prg% | ||
| <10 | 25 | 30.5 |
| ≥10 | 57 | 69.5 |
| Hormonal status | ||
| Yes | 68 | 82.9 |
| No | 14 | 17.1 |
| Hormone Therapy * | ||
| Yes | 61 | 89.7 |
| No | 7 | 10.3 |
| Prognostic Factor | |||
|---|---|---|---|
| Univariate Analysis | p-Value | β | HR (95% C.I.) |
| Age groups | 0.093 | ||
| Menopausal state | 0.128 | ||
| Grading | 0.097 | ||
| Grading: G1–G2 vs. G3 | 0.048 | −0.75 | 0.47 (0.28–0.96) |
| Subtype comedo | 0.091 | ||
| Necrosis | 0.650 | ||
| Microcalcifications | 0.129 | ||
| Multifocality | 0.802 | ||
| Ki 67% | 0.913 | ||
| ER% | 0.021 | −1.55 | 0.32 (0.21–0.72) |
| Prg% | 0.012 | −0.65 | 0.55 (0.32–0.96) |
| Hormonal status | 0.021 | −1.55 | 0.32 (0.21–0.72) |
| Hormone Therapy * | 0.460 | ||
| Multivariate analysis | |||
| Grading: G1–G2 vs. G3 | 0.047 | −0.99 | 0.40 (0.19–0.75) |
| ER% | 0.970 | ||
| Prg% | 0.222 | ||
| Hormonal status | 0.970 | ||
Publisher’s Note: MDPI stays neutral with regard to jurisdictional claims in published maps and institutional affiliations. |
© 2022 by the authors. Licensee MDPI, Basel, Switzerland. This article is an open access article distributed under the terms and conditions of the Creative Commons Attribution (CC BY) license (https://creativecommons.org/licenses/by/4.0/).
Share and Cite
Cante, D.; Paolini, M.; Piva, C.; Petrucci, E.; Radici, L.; Ferrario, S.; Mondini, G.; Bagnera, S.; La Porta, M.R.; Franco, P. Hypofractionation and Concomitant Boost in Ductal Carcinoma In Situ (DCIS): Analysis of a Prospective Case Series with Long-Term Follow-Up. Life 2022, 12, 889. https://doi.org/10.3390/life12060889
Cante D, Paolini M, Piva C, Petrucci E, Radici L, Ferrario S, Mondini G, Bagnera S, La Porta MR, Franco P. Hypofractionation and Concomitant Boost in Ductal Carcinoma In Situ (DCIS): Analysis of a Prospective Case Series with Long-Term Follow-Up. Life. 2022; 12(6):889. https://doi.org/10.3390/life12060889
Chicago/Turabian StyleCante, Domenico, Marina Paolini, Cristina Piva, Edoardo Petrucci, Lorenzo Radici, Silvia Ferrario, Guido Mondini, Silvia Bagnera, Maria Rosa La Porta, and Pierfrancesco Franco. 2022. "Hypofractionation and Concomitant Boost in Ductal Carcinoma In Situ (DCIS): Analysis of a Prospective Case Series with Long-Term Follow-Up" Life 12, no. 6: 889. https://doi.org/10.3390/life12060889
APA StyleCante, D., Paolini, M., Piva, C., Petrucci, E., Radici, L., Ferrario, S., Mondini, G., Bagnera, S., La Porta, M. R., & Franco, P. (2022). Hypofractionation and Concomitant Boost in Ductal Carcinoma In Situ (DCIS): Analysis of a Prospective Case Series with Long-Term Follow-Up. Life, 12(6), 889. https://doi.org/10.3390/life12060889

