Next Article in Journal
Dextromethorphan Exhibits Anti-Inflammatory and Immunomodulatory Effects in a Murine Model: Therapeutic Implication in Psoriasis
Previous Article in Journal
Green Coffee Bean Extract Normalize Obesity-Induced Alterations of Metabolic Parameters in Rats by Upregulating Adiponectin and GLUT4 Levels and Reducing RBP-4 and HOMA-IR
 
 
Correction to Life 2021, 11(12), 1435.
Font Type:
Arial Georgia Verdana
Font Size:
Aa Aa Aa
Line Spacing:
Column Width:
Background:
Correction

Correction: Danner et al. It More than Adds Up: Interaction of Antibiotic Mixing and Temperature. Life 2021, 11, 1435

1
School of Life and Health Sciences, Whitelands College, University of Roehampton, London SW15 4JD, UK
2
FRB—CESAB, Institut Bouisson Bertrand, 34070 Montpellier, France
*
Author to whom correspondence should be addressed.
Life 2022, 12(5), 695; https://doi.org/10.3390/life12050695
Submission received: 16 February 2022 / Accepted: 18 February 2022 / Published: 7 May 2022
The Authors wish to make the following corrections to this paper [1]:
In the original article, there were mistakes in Figure 1, Figure 3 and Figure 5.
Figure 1: picture was not clear enough
Figure 3: layering was hiding symbols and the legend
Figure 5: layering was hiding the data points
The mistakes were caused during copy-editing. The caption in Figure 1 “are shown as numbers in cursive print” should be replaced with “are shown in the light grey boxes”. The corrected Figures appear below.
Figure 1. Experimental design used for four temperatures (15–25 °C) where ciprofloxacin and ofloxacin were run as single antibiotic treatments (dark grey boxes) and in combination (light grey boxes) to estimate the effect on P. fluorescens densities. All numbers are μg/L and the combined concentrations are shown in the light grey boxes. The control is highlighted in black. There were 64 different antibiotic and concentration combinations (including the bacterial control), replicated 3 times, for four temperatures, resulting in 768 microcosms. This set-up includes 49 antibiotic mixtures where ciprofloxacin and ofloxacin are present in different proportions (33 different proportions).
Figure 1. Experimental design used for four temperatures (15–25 °C) where ciprofloxacin and ofloxacin were run as single antibiotic treatments (dark grey boxes) and in combination (light grey boxes) to estimate the effect on P. fluorescens densities. All numbers are μg/L and the combined concentrations are shown in the light grey boxes. The control is highlighted in black. There were 64 different antibiotic and concentration combinations (including the bacterial control), replicated 3 times, for four temperatures, resulting in 768 microcosms. This set-up includes 49 antibiotic mixtures where ciprofloxacin and ofloxacin are present in different proportions (33 different proportions).
Life 12 00695 g001
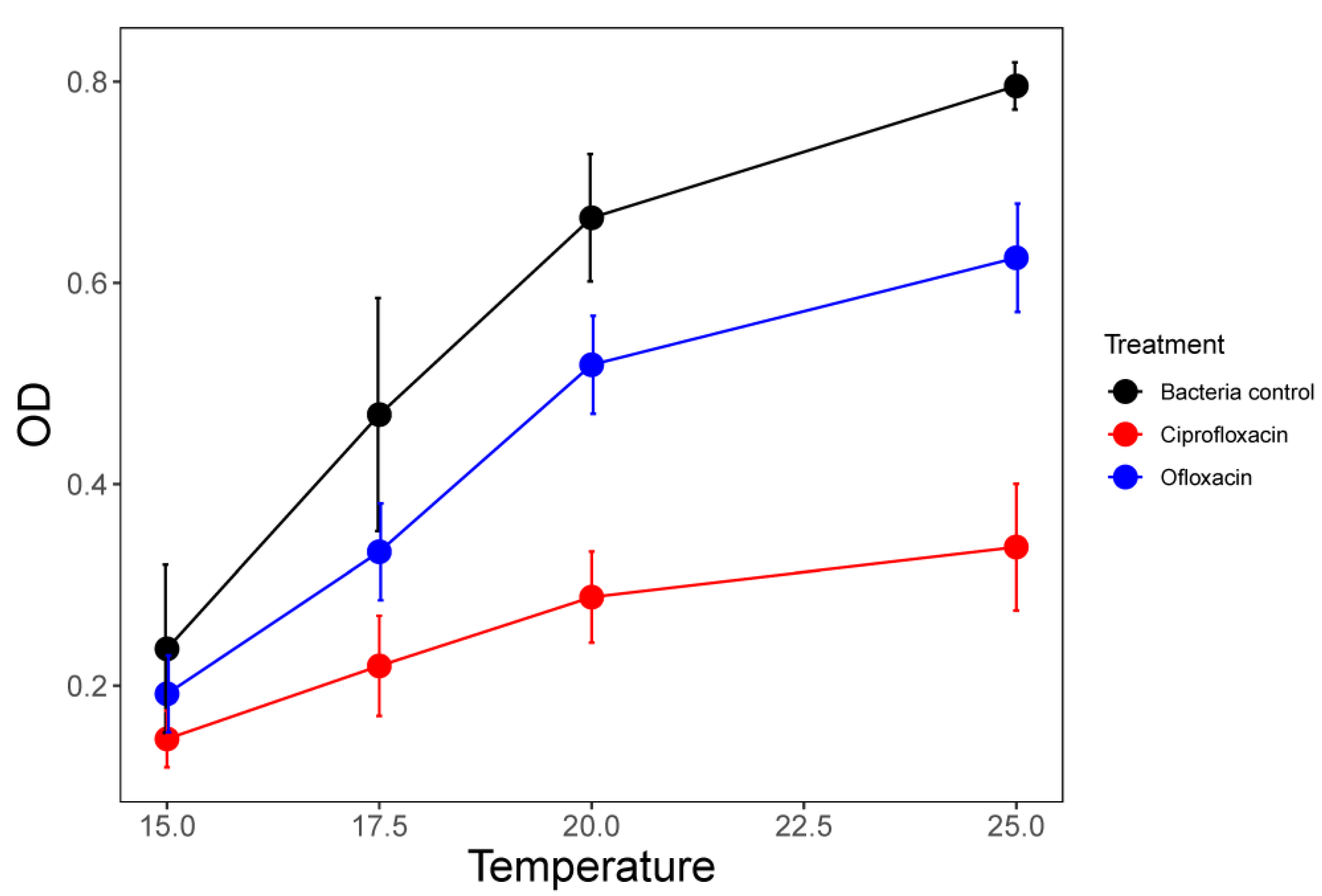
Figure 3. Optical density (means ± SE) at four different temperatures averaged for microcosms with P. fluorescens only (control) and those that also contained a single antibiotic. The data shown for the antibiotic treatments are averaged across all concentration treatments from 10 to 500 μg/L.
Figure 3. Optical density (means ± SE) at four different temperatures averaged for microcosms with P. fluorescens only (control) and those that also contained a single antibiotic. The data shown for the antibiotic treatments are averaged across all concentration treatments from 10 to 500 μg/L.
Life 12 00695 g002
Figure 5. Potency of antibiotic mixtures of ciprofloxacin and ofloxacin (in 33 different proportions) compared to the dose–response of the single antibiotics (importantly, concentration range shown includes concentrations below MIC and EC50) for four temperatures. If mixtures (in purple) behave in synergy, bacterial growth will be below the integral of the single antibiotic effects, and this is largely the case for the 15 °C and 17.5 °C treatments (upper two panels). If mixtures behave in an additive fashion, bacterial growth will be within the integral of the single antibiotic effects, and this is largely the case for the 20 °C and 25 °C treatments (lower two panels). All values are means calculated from 3 replicates.
Figure 5. Potency of antibiotic mixtures of ciprofloxacin and ofloxacin (in 33 different proportions) compared to the dose–response of the single antibiotics (importantly, concentration range shown includes concentrations below MIC and EC50) for four temperatures. If mixtures (in purple) behave in synergy, bacterial growth will be below the integral of the single antibiotic effects, and this is largely the case for the 15 °C and 17.5 °C treatments (upper two panels). If mixtures behave in an additive fashion, bacterial growth will be within the integral of the single antibiotic effects, and this is largely the case for the 20 °C and 25 °C treatments (lower two panels). All values are means calculated from 3 replicates.
Life 12 00695 g003

Reference

  1. Danner, M.-C.; Azams, S.O.; Robertson, A.; Perkins, D.; Behrends, V.; Reiss, J. It More than Adds Up: Interaction of Antibiotic Mixing and Temperature. Life 2021, 11, 1435. [Google Scholar] [CrossRef] [PubMed]
Publisher’s Note: MDPI stays neutral with regard to jurisdictional claims in published maps and institutional affiliations.

Share and Cite

MDPI and ACS Style

Danner, M.-C.; Azams, S.O.; Robertson, A.; Perkins, D.; Behrends, V.; Reiss, J. Correction: Danner et al. It More than Adds Up: Interaction of Antibiotic Mixing and Temperature. Life 2021, 11, 1435. Life 2022, 12, 695. https://doi.org/10.3390/life12050695

AMA Style

Danner M-C, Azams SO, Robertson A, Perkins D, Behrends V, Reiss J. Correction: Danner et al. It More than Adds Up: Interaction of Antibiotic Mixing and Temperature. Life 2021, 11, 1435. Life. 2022; 12(5):695. https://doi.org/10.3390/life12050695

Chicago/Turabian Style

Danner, Marie-Claire, Sharon Omonor Azams, Anne Robertson, Daniel Perkins, Volker Behrends, and Julia Reiss. 2022. "Correction: Danner et al. It More than Adds Up: Interaction of Antibiotic Mixing and Temperature. Life 2021, 11, 1435" Life 12, no. 5: 695. https://doi.org/10.3390/life12050695

APA Style

Danner, M.-C., Azams, S. O., Robertson, A., Perkins, D., Behrends, V., & Reiss, J. (2022). Correction: Danner et al. It More than Adds Up: Interaction of Antibiotic Mixing and Temperature. Life 2021, 11, 1435. Life, 12(5), 695. https://doi.org/10.3390/life12050695

Note that from the first issue of 2016, this journal uses article numbers instead of page numbers. See further details here.

Article Metrics

Back to TopTop