Thermodynamic Factors That Drive Sequence-Specific DNA Binding of Designed, Synthetic Minor Groove Binding Agents
Abstract
1. Introduction
2. Compound Design
3. Results
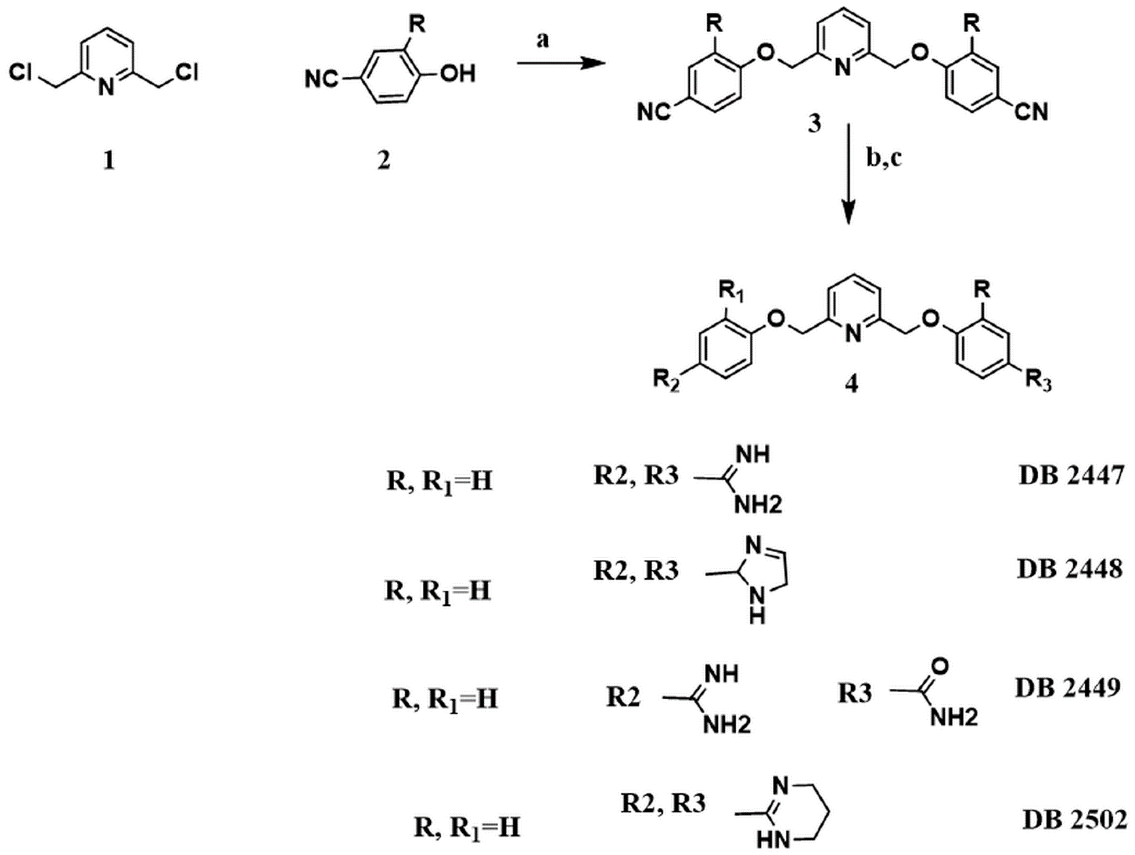
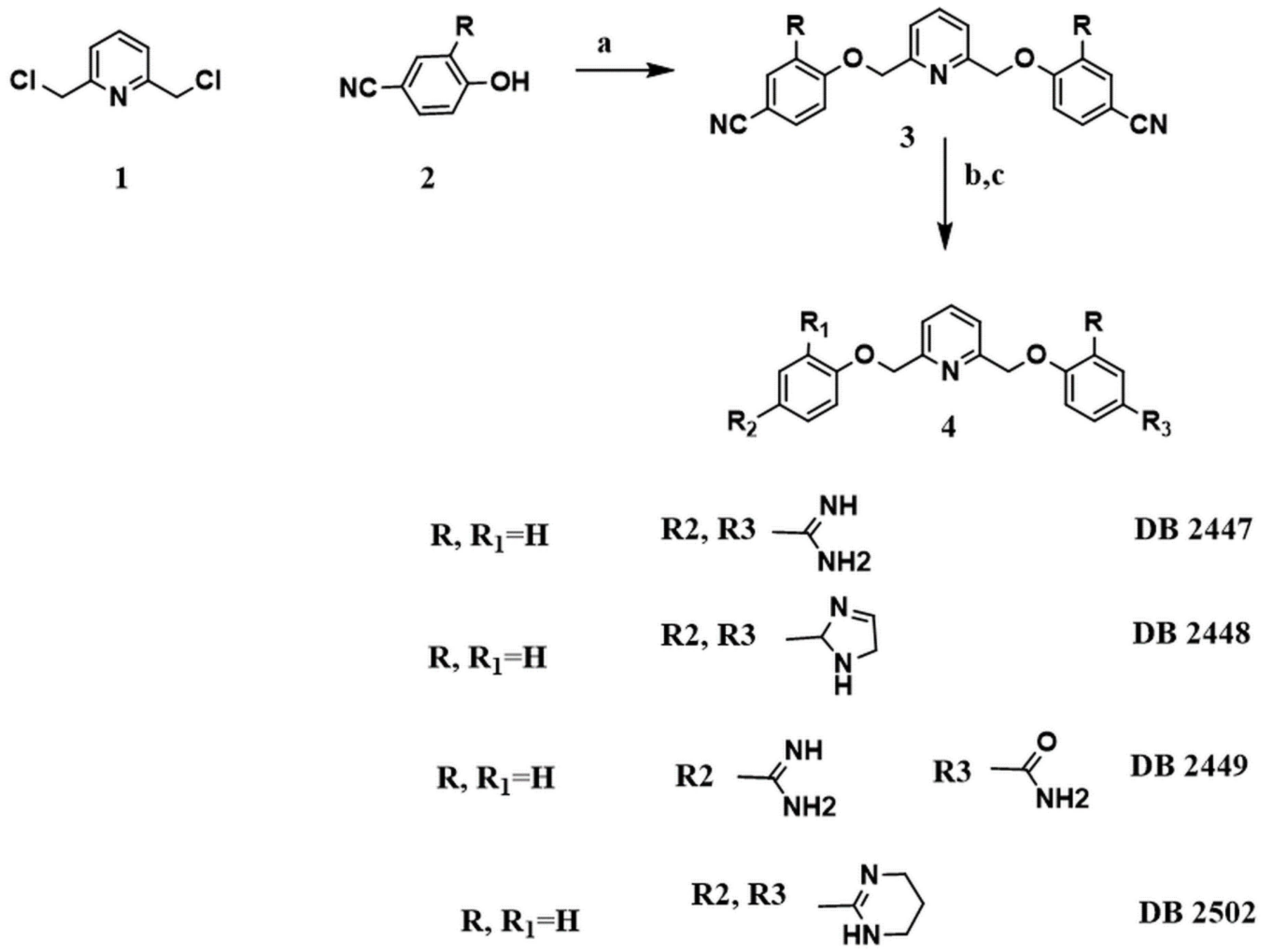
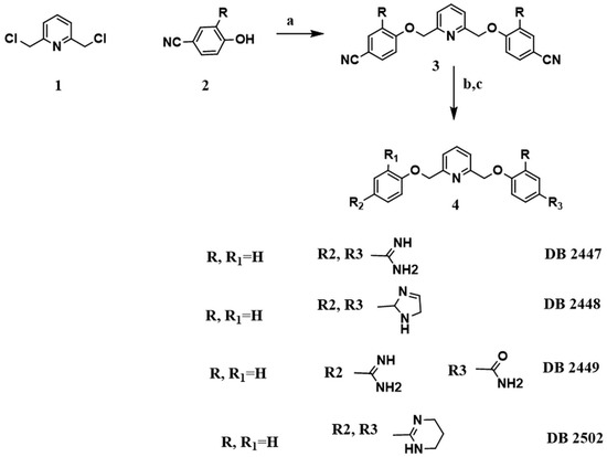
3.1. Compound Synthesis
3.2. DNA Thermal Melting (ΔTm): Screening for Relative Affinity and Sequence Selectivity for Target and Control DNA Binding
3.3. Biosensor-Surface Plasmon Resonance (SPR): High-Resolution Evaluation of Binding Affinity, Kinetics, Stoichiometry, and Cooperativity
3.4. Molecular Curvature Determination
3.5. Effect of Salt Concentration and Temperature on DB2447 Binding to Single G•C bp DNA Sequences
3.6. Isothermal Titration Calorimetry (ITC) of Complex Formation: Effects of Salt Concentration and Temperature
3.7. Determination of the Heat Capacity of the DB2447−AAAGTTT Complex
3.8. The Effects of AT Flanking Sequence Variations on DB2447 Binding Thermodynamics
3.9. Thermodynamic Effects in the Binding of the Pyridyl Diamidine Compounds
3.10. Competition Electrospray Ionization Mass Spectrometry (ESI-MS) of DB2447
4. Discussion
Supplementary Materials
Author Contributions
Funding
Institutional Review Board Statement
Informed Consent Statement
Data Availability Statement
Acknowledgments
Conflicts of Interest
References
- Marky, L.A.; Blumenfeld, K.S.; Breslauer, K.J. Calorimetric and spectroscopic investigation of drug-DNA interactions. I. The binding of netropsin to poly d(AT). Nucleic Acids Res. 1983, 11, 2857–2870. [Google Scholar] [CrossRef] [PubMed]
- Marky, L.A.; Snyder, J.G.; Breslauer, K.J. Calorimetric and spectroscopic investigation of drug-DNA interactions: II. Dipyrandium binding to poly d(AT). Nucleic Acids Res. 1983, 11, 5701–5715. [Google Scholar] [CrossRef] [PubMed]
- Marky, L.A.; Snyder, J.G.; Remeta, D.P.; Breslauer, K.J. Thermodynamics of drug-DNA interactions. J. Biomol. Struct. Dyn. 1983, 1, 487–507. [Google Scholar] [CrossRef] [PubMed]
- Marky, L.A.; Breslauer, K.J. Origins of netropsin binding affinity and specificity: Correlations of thermodynamic and structural data. Proc. Natl. Acad. Sci. USA 1987, 84, 4359–4363. [Google Scholar] [CrossRef]
- Breslauer, K.J.; Remeta, D.P.; Chou, W.Y.; Ferrante, R.; Curry, J.; Zaunczkowski, D.; Snyder, J.G.; Marky, L.A. Enthalpy-entropy compensations in drug-DNA binding studies. Proc. Natl. Acad. Sci. USA 1987, 84, 8922–8926. [Google Scholar] [CrossRef]
- Jin, R.; Breslauer, K.J. Characterization of the minor groove environment in a drug-DNA complex: Bisbenzimide bound to the poly[d(AT)].poly[d(AT)]duplex. Proc. Natl. Acad. Sci. USA 1988, 85, 8939–8942. [Google Scholar] [CrossRef]
- Marky, L.A.; Patel, D.; Breslauer, K.J. Effect of tetramethylammonium ion on the helix-to-coil transition of poly(deoxyadenylylthymidine): A nuclear magnetic resonance and calorimetric investigation. Biochemistry 1981, 20, 1427–1431. [Google Scholar] [CrossRef]
- Pilch, D.S.; Kirolos, M.A.; Liu, X.; Plum, G.E.; Breslauer, K.J. Berenil [1,3-bis(4′-amidinophenyl)triazene] binding to DNA duplexes and to a RNA duplex: Evidence for both intercalative and minor groove binding properties. Biochemistry 1995, 34, 9962–9976. [Google Scholar] [CrossRef]
- Kopka, M.L.; Goodsell, D.S.; Han, G.W.; Chiu, T.K.; Lown, J.W.; Dickerson, R.E. Defining GC-specificity in the minor groove: Side-by-side binding of the di-imidazole lexitropsin to C-A-T-G-G-C-C-A-T-G. Structure 1997, 5, 1033–1046. [Google Scholar] [CrossRef]
- Reddy, B.S.; Sharma, S.K.; Lown, J.W. Recent developments in sequence selective minor groove DNA effectors. Curr. Med. Chem. 2001, 8, 475–508. [Google Scholar] [CrossRef]
- O’Hare, C.C.; Mack, D.; Tandon, M.; Sharma, S.K.; Lown, J.W.; Kopka, M.L.; Dickerson, R.E.; Hartley, J.A. DNA sequence recognition in the minor groove by crosslinked polyamides: The effect of N-terminal head group and linker length on binding affinity and specificity. Proc. Natl. Acad. Sci. USA 2002, 99, 72–77. [Google Scholar] [CrossRef] [PubMed]
- Zhang, Q.; Dwyer, T.J.; Tsui, V.; Case, D.A.; Cho, J.; Dervan, P.B.; Wemmer, D.E. NMR Structure of a cyclic polyamide-DNA complex. J. Am. Chem. Soc. 2004, 126, 7958–7966. [Google Scholar] [CrossRef] [PubMed]
- Goodsell, D.S.; Ng, H.L.; Kopka, M.L.; Lown, J.W.; Dickerson, R.E. Structure of a dicationic monoimidazole lexitropsin bound to DNA. Biochemistry 1995, 34, 16654–16661. [Google Scholar] [CrossRef] [PubMed]
- Quintana, J.R.; Lipanov, A.A.; Dickerson, R.E. Low-temperature crystallographic analyses of the binding of Hoechst 33258 to the double-helical DNA dodecamer C-G-C-G-A-A-T-T-C-G-C-G. Biochemistry 1991, 30, 10294–10306. [Google Scholar] [CrossRef]
- Ming, X.; Ju, W.; Wu, H.; Tidwell, R.R.; Hall, J.E.; Thakker, D.R. Transport of dicationic drugs pentamidine and furamidine by human organic cation transporters. Drug. Metab. Dispos. 2009, 37, 424–430. [Google Scholar] [CrossRef]
- Paine, M.F.; Wang, M.; Generaux, C.N.; Boykin, D.W.; Wilson, W.D.; Koning, H.P.; Olson, C.A.; Pohlig, G.; Burri, C.; Brun, R.; et al. Diamidines for human African trypanosomiasis. Curr. Opin. Investig. Drugs 2010, 11, 876–883. [Google Scholar]
- Peregrine, A.S.; Mamman, M. Pharmacology of diminazene: A review. Acta. Trop. 1993, 54, 185–203. [Google Scholar] [CrossRef]
- Elamin, E.A.; Homeida, A.M.; Adam, S.E.; Mahmoud, M.M. The efficacy of berenil (diminazene aceturate) against Trypanosoma evansi infection in mice. J. Vet. Pharmacol. Ther. 1982, 5, 259–265. [Google Scholar] [CrossRef]
- Soeiro, M.N.; Werbovetz, K.; Boykin, D.W.; Wilson, W.D.; Wang, M.Z.; Hemphill, A. Novel amidines and analogues as promising agents against intracellular parasites: A systematic review. Parasitology 2013, 40, 929–951. [Google Scholar] [CrossRef]
- Paul, A.; Guo, P.; Boykin, D.W.; Wilson, W.D. A new generation of minor-groove-binding-heterocyclic diamidines that recognize G·C base pairs in an AT sequence context. Molecules 2019, 24, 946. [Google Scholar] [CrossRef]
- Chai, Y.; Paul, A.; Rettig, M.; Wilson, W.D.; Boykin, D.W. Design and synthesis of heterocyclic cations for specific DNA recognition: From AT-rich to mixed-base-pair DNA sequences. J. Org. Chem. 2014, 79, 852–866. [Google Scholar] [CrossRef] [PubMed]
- Paul, A.; Chai, Y.; Boykin, D.W.; Wilson, W.D. Understanding mixed sequence DNA recognition by novel designed compounds: The kinetic and thermodynamic behavior of azabenzimidazole diamidines. Biochemistry 2015, 54, 577–587. [Google Scholar] [CrossRef] [PubMed]
- Paul, A.; Nanjunda, R.; Kumar, A.; Laughlin, S.; Nhili, R.; Depauw, S.; Deuser, S.S.; Chai, Y.; Chaudhary, A.S.; David-Cordonnier, M.H.; et al. Mixed up minor groove binders: Convincing A·T specific compounds to recognize a G·C base pair. Bioorg. Med. Chem. Lett. 2015, 25, 4927–4932. [Google Scholar] [CrossRef]
- Paul, A.; Kumar, A.; Nanjunda, R.; Farahat, A.A.; Boykin, D.W.; Wilson, W.D. Systematic synthetic and biophysical development of mixed sequence DNA binding agents. Org. Biomol. Chem. 2017, 15, 827–835. [Google Scholar] [CrossRef] [PubMed]
- Guo, P.; Paul, A.; Kumar, A.; Farahat, A.A.; Kumar, D.; Wang, S.; Boykin, D.W.; Wilson, W.D. The Thiophene “Sigma-Hole” as a concept for preorganized, specific recognition of G⋅C base pairs in the DNA minor groove. Chemistry 2016, 22, 15404–15412. [Google Scholar] [CrossRef] [PubMed]
- Guo, P.; Farahat, A.A.; Paul, A.; Harika, N.K.; Boykin, D.W.; Wilson, W.D. Compound shape Effects in minor groove binding affinity and specificity for mixed sequence DNA. J. Am. Chem. Soc. 2018, 140, 14761–14769. [Google Scholar] [CrossRef]
- Guo, P.; Paul, A.; Kumar, A.; Harika, N.K.; Wang, S.; Farahat, A.A.; Boykin, D.W.; Wilson, W.D. A modular design for minor groove binding and recognition of mixed base pair sequences of DNA. Chem. Commun. 2017, 53, 10406–10409. [Google Scholar] [CrossRef]
- Guo, P.; Farahat, A.A.; Paul, A.; Boykin, D.W.; Wilson, W.D. Engineered modular heterocyclic-diamidines for sequence-specific recognition of mixed AT/GC base pairs at the DNA minor groove. Chem. Sci. 2021, 12, 15849–15861. [Google Scholar] [CrossRef]
- Boykin, D.W.; Kumar, A.; Xiao, G.; Wilson, W.D.; Bender, B.C.; McCurdy, D.R.; Hall, J.E.; Tidwell, R.R. 2,5-bis[4-(N-alkylamidino)phenyl]furans as anti-Pneumocystis carinii agents. J. Med. Chem. 1998, 41, 124–129. [Google Scholar] [CrossRef]
- Das, B.P.; Boykin, D.W. Synthesis and antiprotozoal activity of 2,5-bis(4-guanylphenyl) furans. J. Med. Chem. 1977, 20, 531–536. [Google Scholar] [CrossRef]
- Wilson, W.D.; Tanious, F.A.; Fernandez-Saiz, M.; Rigl, C.T. Evaluation of drug-nucleic acid interactions by thermal melting curves. Methods Mol. Biol. 1997, 90, 219–240. [Google Scholar] [PubMed]
- Shi, X.C.; Chaires, J.B. Sequence- and structural-selective nucleic acid binding revealed by the melting of mixtures. Nucleic Acids Res. 2006, 34, e14. [Google Scholar] [CrossRef] [PubMed]
- Nguyen, B.; Neidle, S.; Wilson, W.D. A role for water molecules in DNA-ligand minor groove recognition. Acc. Chem. Res. 2009, 42, 11–21. [Google Scholar] [CrossRef] [PubMed]
- Wilson, W.D.; Nguyen, B.; Tanious, F.A.; Mathis, A.; Hall, J.E.; Stephens, C.E.; Boykin, D.W. Dications that target the DNA minor groove: Compound design and preparation, DNA interactions, cellular distribution and biological activity. Curr. Med. Chem. Anticancer Agents 2005, 5, 389–408. [Google Scholar] [CrossRef]
- Munde, M.; Wang, S.; Kumar, A.; Stephens, C.E.; Farahat, A.A.; Boykin, D.W.; Wilson, W.D.; Poon, G.M. Structure-dependent inhibition of the ETS-family transcription factor PU.1 by novel heterocyclic diamidines. Nucleic Acids Res. 2014, 42, 1379–1390. [Google Scholar] [CrossRef]
- Rohs, R.; West, S.M.; Sosinsky, A.; Liu, P.; Mann, R.S.; Honig, B. The role of DNA shape in protein-DNA recognition. Nature 2009, 461, 1248–1253. [Google Scholar] [CrossRef]
- Zhou, T.; Yang, L.; Lu, Y.; Dror, I.; Dantas-Machado, A.C.; Ghane, T.; Di Felice, R.; Rohs, R. DNAshape: A method for the high-throughput prediction of DNA structural features on a genomic scale. Nucleic Acids Res. 2013, 4, W56–W62. [Google Scholar] [CrossRef]
- Liu, Y.; Chai, Y.; Kumar, A.; Tidwell, R.R.; Boykin, D.W.; Wilson, W.D. Designed compounds for recognition of 10 base pairs of DNA with two AT binding sites. J. Am. Chem. Soc. 2012, 134, 5290–5299. [Google Scholar] [CrossRef][Green Version]
- Nguyen, B.; Tanious, F.A.; Wilson, W.D. Biosensor-surface plasmon resonance: Quantitative analysis of small molecule−nucleic acid interactions. Methods 2007, 42, 150–161. [Google Scholar] [CrossRef]
- Nanjunda, R.; Munde, M.; Liu, Y.; Wilson, W.D. Methods for Studying DNA/Drug Interactions; Chapter 4; Wanunu, M., Tor, Y., Eds.; CRC Press-Taylor & Francis Group: Boca Raton, FL, USA, 2011. [Google Scholar]
- DeHaseth, P.L.; Lohman, T.M.; Record, M.T., Jr. Nonspecific interaction of iac repressor with DNA: An association reaction driven by counterion release. Biochemistry 1977, 16, 4783–4790. [Google Scholar] [CrossRef]
- Wang, S.; Kumar, A.; Aston, K.; Nguyen, B.; Bashkin, J.K.; Boykin, D.W.; Wilson, W.D. Different thermodynamic signatures for DNA minor groove binding with changes in salt concentration and temperature. Chem. Commun. 2013, 49, 8543–8545. [Google Scholar] [CrossRef] [PubMed][Green Version]
- Manning, G.S. The molecular theory of polyelectrolyte solutions with applications to the electrostatic properties of polynucleotides. Q. Rev. Biophys. 1978, 11, 179–246. [Google Scholar] [CrossRef] [PubMed]
- Chaires, J.B. A thermodynamic signature for drug-DNA binding mode. Arch. Biochem. Biophys. 2006, 453, 26–31. [Google Scholar] [CrossRef] [PubMed]
- Privalov, P.L.; Dragan, A.I.; Crane-Robinson, C. Interpreting protein/DNA interactions: Distinguishing specific from non-specific and electrostatic from non-electrostatic components. Nucleic Acids Res. 2011, 39, 2483–2491. [Google Scholar] [CrossRef]
- Record, M.T., Jr.; Anderson, C.F.; Lohman, T.M. Thermodynamic analysis of ion effects on the binding and conformational equilibria of proteins and nucleic acids: The roles of ion association or release, screening, and ion effects on water activity. Q. Rev. Biophys. 1978, 11, 103–178. [Google Scholar] [CrossRef]
- Munde, M.; Lee, M.; Neidle, S.; Arafa, R.; Boykin, D.W.; Liu, Y.; Bailly, C.; Wilson, W.D. Induced fit conformational changes of a “reversed amidine” heterocycle: Optimized interactions in a DNA minor groove complex. J. Am. Chem. Soc. 2007, 129, 5688–5698. [Google Scholar] [CrossRef]
- Wang, S.; Aston, K.; Koeller, K.J.; Harris, G.D., Jr.; Rath, N.P.; Bashkin, J.K.; Wilson, W.D. Modulation of DNA-polyamide interaction by β-alanine substitutions: A study of positional effects on binding affinity, kinetics and thermodynamics. Org. Biomol. Chem. 2014, 12, 7523–7536. [Google Scholar] [CrossRef]
- Liu, Y.; Collar, C.J.; Kumar, A.; Stephens, C.E.; Boykin, D.W.; Wilson, W.D. Heterocyclic diamidine interactions at AT base pairs in the DNA minor groove: Effects of heterocycle differences, DNA AT sequence and length. J. Phys. Chem. B. 2008, 112, 11809–11818. [Google Scholar] [CrossRef]
- Buurma, N.J.; Haq, I. Calorimetric and spectroscopic studies of Hoechst 33258: Self-association and binding to non-cognate DNA. J. Mol. Biol. 2008, 381, 607–621. [Google Scholar] [CrossRef]
- Ferreira, J.M.; Sheardy, R.D. Linking temperature, cation concentration and water activity for the B to Z conformational transition in DNA. Molecules 2018, 23, 1806. [Google Scholar] [CrossRef]
- Kumar, S.; Xue, L.; Arya, D.P. Neomycin-neomycin dimer: An all-carbohydrate scaffold with high affinity for AT-rich DNA duplexes. J. Am. Chem. Soc. 2011, 133, 7361–7375. [Google Scholar] [CrossRef] [PubMed]
- Laughlin, S.; Wilson, W.D. May the best molecule win: Competition ESI mass spectrometry. Int. J. Mol. Sci. 2015, 16, 24506–24531. [Google Scholar] [CrossRef] [PubMed]
- Laughlin, S.; Wang, S.; Kumar, A.; Farahat, A.A.; Boykin, D.W.; Wilson, W.D. Resolution of mixed site DNA complexes with dimer-forming minor-groove binders by using electrospray ionization mass spectrometry: Compound structure and DNA sequence effects. Chemistry 2015, 21, 5528–5539. [Google Scholar] [CrossRef] [PubMed]
- Tanious, F.; Wilson, W.D.; Wang, L.; Kumar, A.; Boykin, D.W.; Marty, C.; Baldeyrou, B.; Bailly, C. Cooperative dimerization of a heterocyclic diamidine determines sequence-specific DNA recognition. Biochemistry 2003, 42, 13576–13586. [Google Scholar] [CrossRef] [PubMed]
- Wang, L.; Kumar, A.; Boykin, D.W.; Bailly, C.; Wilson, W.D. Comparative thermodynamics for monomer and dimer sequence-dependent binding of a heterocyclic dication in the DNA minor groove. J. Mol. Biol. 2002, 317, 361–374. [Google Scholar] [CrossRef] [PubMed]
- Harika, N.K.; Wilson, W.D. Bound compound, interfacial water, and phenyl ring rotation dynamics of a compound in the DNA minor groove. Biochemistry 2018, 57, 5050–5057. [Google Scholar] [CrossRef]
- Athri, P.; Wilson, W.D. Molecular dynamics of water-mediated interactions of a linear benzimidazole-biphenyl diamidine with the DNA minor groove. J. Am. Chem. Soc. 2009, 131, 7618–7625. [Google Scholar] [CrossRef]















| NaCl (mM) | KD (nM) | ΔGb° (kcal/mol) | ΔHb° (kcal/mol) | TΔSb° (kcal/mol) |
|---|---|---|---|---|
| 100 | 1.4 | −12.0 | −6.8 | 5.2 |
| 200 | 4.3 | −11.4 | −6.5 | 4.9 |
| 300 | 7.8 | −11.1 | −6.9 | 4.2 |
| 500 | 15.8 | −10.7 | −6.9 | 3.8 |
| Temperature (°C) | KD (nM) | ΔGb° (kcal/mol) | ΔHb° (kcal/mol) | TΔSb° (kcal/mol) |
|---|---|---|---|---|
| 25 | 1.4 | −12.0 | −6.8 | 5.2 |
| 30 | 2.0 | −11.8 | −8.3 | 3.5 |
| 35 | 2.5 | −11.7 | −9.3 | 2.4 |
| 40 | 4.2 | −11.4 | −10.5 | 0.9 |
Publisher’s Note: MDPI stays neutral with regard to jurisdictional claims in published maps and institutional affiliations. |
© 2022 by the authors. Licensee MDPI, Basel, Switzerland. This article is an open access article distributed under the terms and conditions of the Creative Commons Attribution (CC BY) license (https://creativecommons.org/licenses/by/4.0/).
Share and Cite
Paul, A.; Farahat, A.A.; Boykin, D.W.; Wilson, W.D. Thermodynamic Factors That Drive Sequence-Specific DNA Binding of Designed, Synthetic Minor Groove Binding Agents. Life 2022, 12, 681. https://doi.org/10.3390/life12050681
Paul A, Farahat AA, Boykin DW, Wilson WD. Thermodynamic Factors That Drive Sequence-Specific DNA Binding of Designed, Synthetic Minor Groove Binding Agents. Life. 2022; 12(5):681. https://doi.org/10.3390/life12050681
Chicago/Turabian StylePaul, Ananya, Abdelbasset A. Farahat, David W. Boykin, and W. David Wilson. 2022. "Thermodynamic Factors That Drive Sequence-Specific DNA Binding of Designed, Synthetic Minor Groove Binding Agents" Life 12, no. 5: 681. https://doi.org/10.3390/life12050681
APA StylePaul, A., Farahat, A. A., Boykin, D. W., & Wilson, W. D. (2022). Thermodynamic Factors That Drive Sequence-Specific DNA Binding of Designed, Synthetic Minor Groove Binding Agents. Life, 12(5), 681. https://doi.org/10.3390/life12050681

