Inhibitory Effects of Protopanaxadiol-Producing Transgenic Rice Seed Extracts on RANKL-Induced Osteoclast Differentiation
Abstract
1. Introduction
2. Results
2.1. Determination of PPD via LC-MS/MS
2.2. Inhibitory Effect of PPD-Rice on RANKL-Induced Osteoclast Differentiation
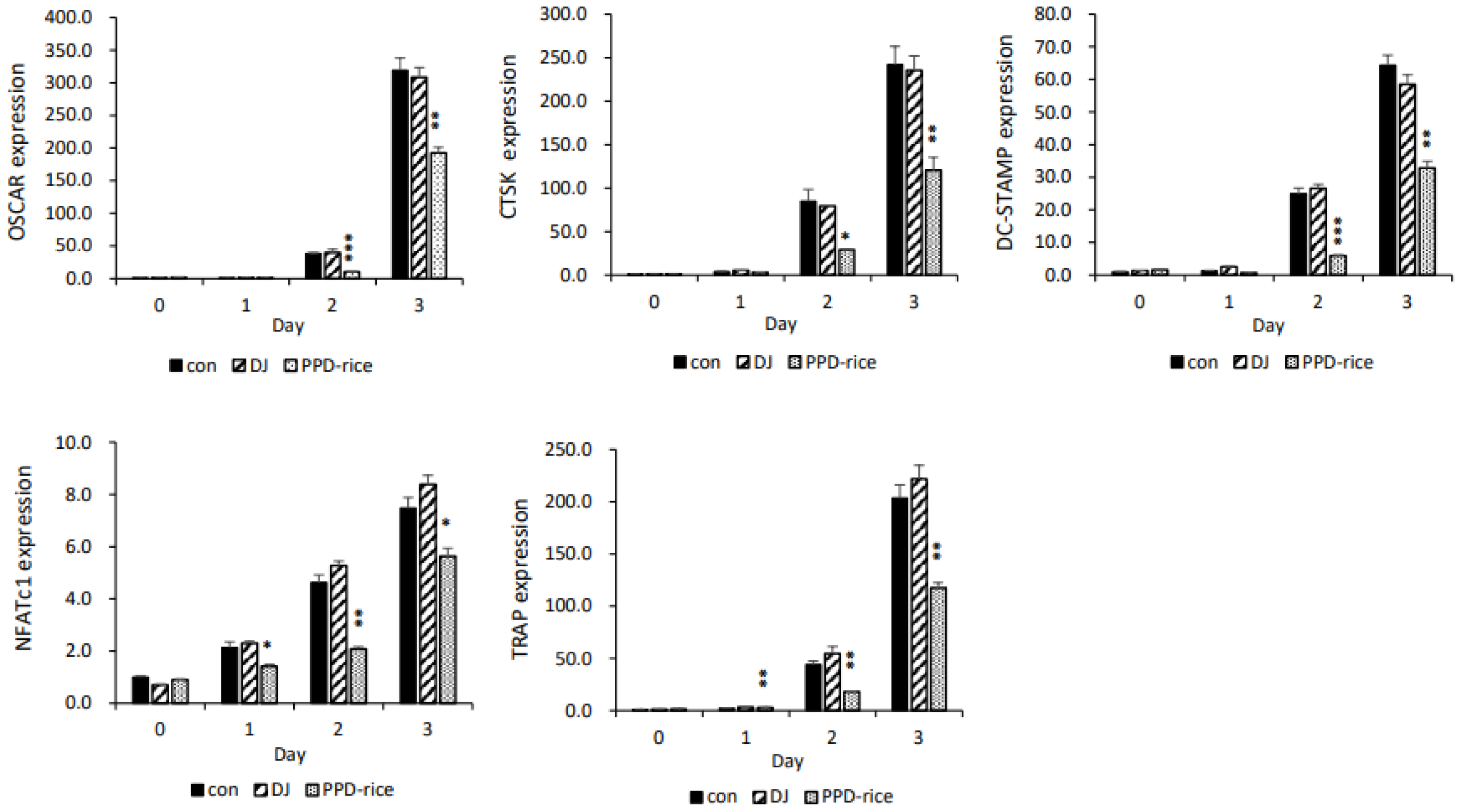
2.3. Inhibitory Effects of PPD-Rice Extract on RANKL-Mediated Gene Expression
2.4. PPD-Rice Extract Inhibited RANKL-Induced NFATc1 Protein Expression
2.5. Effects of PPD-Rice Extract on the RANKL-Mediated Bone Resorptive Activity of Osteoclasts
3. Discussion
4. Materials and Methods
4.1. Plant Material Preparation for Liquid Chromatography-Tandem Mass Spectrometry (LC-MS/MS)
4.2. Preparation and Differentiation of Osteoclasts
4.3. TRAP Staining for Identification of Osteoclast Differentiation
4.4. Cytotoxicity Assay of PPD-Rice Extract
4.5. Real-Time PCR
4.6. Western Blotting
4.7. Bone Pit Formation Assay
4.8. Statistical Analysis
5. Conclusions
Author Contributions
Funding
Institutional Review Board Statement
Informed Consent Statement
Data Availability Statement
Conflicts of Interest
References
- Vincenzo Atella, V.; Mortari, A.P.; Kopinska, J.; Belotti, F.; Lapi, F.; Cricelli, C.; Fontana, L. Trends in age-related disease burden and healthcare utilization. Aging Cell 2019, 18, e12861. [Google Scholar] [CrossRef] [PubMed]
- Rodan, G.A.; Martin, T.J. Therapeutic approaches to bone diseases. Science 2000, 289, 1508–1514. [Google Scholar] [CrossRef] [PubMed]
- Goltzman, D. Discoveries, drugs and skeletal disorders. Nat. Rev. Drug Discov. 2002, 1, 784–796. [Google Scholar] [CrossRef]
- Osteoporosis prevention, diagnosis, and therapy. NIH Consens Statement 2000, 285, 785–795.
- Appelman-Dijkstra, N.M.; Papapoulos, S.E. Modulating bone resorption and bone formation in opposite directions in the treatment of postmenopausal osteoporosis. Drugs 2015, 75, 1049–1058. [Google Scholar] [CrossRef]
- Takayanagi, H. The role of NFAT in osteoclast formation. Ann. N. Y. Acad. Sci. 2007, 1116, 227–237. [Google Scholar] [CrossRef]
- Kim, J.Y.; Kim, Y.K.; Choi, M.K.; Oh, J.; Kwak, H.B.; Kim, J.J. Effect of Cornus officinalis on Receptor Activator of nuclear factor-kappa B Ligand (RANKL)-induced Osteoclast Differentiation. J. Bone Metab. 2012, 19, 121–127. [Google Scholar] [CrossRef]
- Suh, K.S.; Chon, S.; Jung, W.W.; Choi, E.M. Effects of methylglyoxal on RANKL-induced osteoclast differentiation in RAW264.7 cells. Chem. Biol. Interact. 2018, 296, 18–25. [Google Scholar] [CrossRef]
- Hwang, Y.H.; Kim, T.; Kim, R.; Ha, H. Magnolol Inhibits Osteoclast Differentiation via Suppression of RANKL Expression. Molecules 2018, 23, 1598. [Google Scholar] [CrossRef]
- Song, C.; Yang, X.; Lei, Y.; Zhang, Z.; Smith, W.; Yan, J.; Kong, L. Evaluation of efficacy on RANKL induced osteoclast from RAW264.7 cells. J. Cell Physiol. 2019, 234, 11969–11975. [Google Scholar] [CrossRef]
- Asagiri, M.; Sato, K.; Usami, T.; Ochi, S.; Nishina, H.; Yoshida, H.; Morita, I.; Wagner, E.F.; Mak, T.W.; Serfling, E.; et al. Autoamplification of NFATc1 expression determines its essential role in bone homeostasis. J. Exp. Med. 2005, 202, 1261–1269. [Google Scholar] [CrossRef] [PubMed]
- Takayanagi, H. Osteoimmunology: Shared mechanisms and crosstalk between the immune and bone systems. Nat. Rev. Immunol. 2007, 7, 292–304. [Google Scholar] [CrossRef] [PubMed]
- Shibata, S.; Tanaka, O.; Sado, M.; Tsushima, S. The genuine sapogenin of ginseng. Tetrahedron Lett. 1963, 4, 795–800. [Google Scholar] [CrossRef]
- Tanaka, O.; Nagai, M.; Shibata, S. Stereochemistry of protopanaxadiol, a genuine sapogenin of ginseng. Tetrahedron Lett. 1964, 5, 2291–2297. [Google Scholar] [CrossRef]
- Wang, M.; Li, H.; Liu, W.; Cao, H.; Hu, X.; Gao, X.; Xu, F.; Li, Z.; Hua, H.; Li, D. Dammarane-type leads panaxadiol and protopanaxadiol for drug discovery: Biological activity and structural modification. Eur. J. Med. Chem. 2020, 189, 112087. [Google Scholar] [CrossRef]
- Jo, H.; Jang, D.; Park, S.; Lee, M.-G.; Cha, B.; Park, C.; Shin, Y.S.; Park, H.; Baek, J.; Heo, H.; et al. Ginsenoside 20(S)-protopanaxadiol induces cell death in human endometrial cancer cells via apoptosis. J. Ginseng Res. 2021, 45, 126–133. [Google Scholar] [CrossRef]
- Guo, W.-Q.; Chen, Y.-G.; Shi, R.-Z.; He, K.; Wang, J.-F.; Shao, J.-H.; Wan, J.-B.; Gao, J.-L. 20(S)-Protopanaxdiol suppress the abnormal granule-monocyte differentiation of Hematopoietic stem cells in 4T1 breast cancer-bearing mouse. Evid. Based Complement. Altern Med. 2020, 2020, 8747023. [Google Scholar] [CrossRef]
- Liu, C.; Li, H.; Zhou, Z.; Li, J.; Chen, H.; Liu, Y.; Huang, C.; Fan, S. Protopanaxadiol alleviates obesity in high-fat diet-fed mice via activation of energy-sensing neuron in the paraventricular nucleus of hypothalamus. Biochem. Biophys. Res. Commun. 2019, 513, 1092–1099. [Google Scholar] [CrossRef]
- Cong, F.; Liu, J.; Wang, C.; Yuan, Z.; Bi, L.; Liang, J.; Su, K.; Qiu, Y.; Song, T.; Fan, J.; et al. Ginsenoside Rb2 inhibits osteoclast differentiation through nuclear factor-kappaB and signal transducer and activator of transcription protein 3 signaling pathway. Biomed. Pharmacother. 2017, 92, 927–934. [Google Scholar] [CrossRef]
- Huang, Q.; Gao, B.; Jie, Q.; Wei, B.Y.; Fan, J.; Zhang, H.Y.; Zhang, J.K.; Li, X.J.; Shi, J.; Luo, Z.J.; et al. Ginsenoside-Rb2 displays anti-osteoporosis effects through reducing oxidative damage and bone-resorbing cytokines during osteogenesis. Bone 2014, 66, 306–314. [Google Scholar] [CrossRef]
- Gao, B.; Huang, Q.; Jie, Q.; Zhang, H.Y.; Wang, L.; Guo, Y.S.; Sun, Z.; Wei, B.Y.; Han, Y.H.; Liu, J.; et al. Ginsenoside-Rb2 inhibits dexamethasone-induced apoptosis through promotion of GPR120 induction in bone marrow-derived mesenchymal stem cells. Stem Cells Dev. 2015, 24, 781–790. [Google Scholar] [CrossRef] [PubMed]
- Han, J.Y.; Baek, S.H.; Jo, H.J.; Yun, D.W.; Choi, Y.E. Genetically modified rice produces ginsenoside aglycone (protopanaxadiol). Planta 2019, 250, 1103–1110. [Google Scholar] [CrossRef] [PubMed]
- Teitelbaum, S.L. Bone resorption by osteoclasts. Science 2000, 289, 1504–1508. [Google Scholar] [CrossRef] [PubMed]
- Osterhoff, G.; Morgan, E.F.; Shefelbine, S.J.; Karim, L.; McNamara, L.M.; Augat, P. Bone mechanical properties and changes with osteoporosis. Injury 2016, 47, 47003–47008. [Google Scholar] [CrossRef]
- Johnell, O.; Kanis, J.A. An estimate of the worldwide prevalence and disability associated with osteoporotic fractures. Osteoporos. Int. 2006, 17, 1726–1733. [Google Scholar] [CrossRef]
- Harvey, N.; Dennison, E.; Cooper, C. Osteoporosis: Impact on health and economics. Nat. Rev. Rheumatol. 2010, 6, 99–105. [Google Scholar] [CrossRef]
- Cauley, J.A. Public health impact of osteoporosis. J. Gerontol. A Biol. Sci. Med. Sci. 2013, 68, 1243–1251. [Google Scholar] [CrossRef]
- Luo, Z.J.; Li, H.M.; Wang, H.G.; Liu, D.L.; Nan, H. Ginsenoside Rb1 affects the proliferation and osteogenic differentiation of human adipose-derived stem cells in vitro. Zhongguo Zuzhi Gongcheng Yanjiu 2013, 17, 5799–5805. [Google Scholar]
- Bei, J.X.; Zhang, X.L.; Wu, J.K.; Hu, Z.Q.; Xu, B.L.; Lin, S.E.; Cui, L.; Wu, T.; Zou, L.Y. Ginsenoside Rb1 does not halt osteoporotic bone loss in ovariectomized rats. PLoS ONE 2018, 13, e0202885. [Google Scholar] [CrossRef]
- Yang, N.; Liu, D.; Zhang, X.; Li, J.; Wang, M.; Xu, T.; Liu, Z. Effects of ginsenosides on bone remodelling for novel drug applications: A review. Chin. Med. 2020, 15, 42. [Google Scholar] [CrossRef]
- Livak, K.J.; Schmittgen, T.D. Analysis of relative gene expression data using real-time quantitative PCR and the 2(-Delta Delta C(T)) Method. Methods 2001, 25, 402–408. [Google Scholar] [CrossRef] [PubMed]
- Goettsch, C.; Rauner, M.; Sinningen, K.; Helas, S.; Al-Fakhri, N.; Nemeth, K.; Hamann, C.; Kopprasch, S.; Aikawa, E.; Bornstein, S.R.; et al. The osteoclast-associated receptor (OSCAR) is a novel receptor regulated by oxidized low-density lipoprotein in human endothelial cells. Endocrinology 2011, 152, 4915–4926. [Google Scholar] [CrossRef]
- Takeshi, M. Regulators of osteoclast differentiation and cell-cell fusion. Keio J. Med. 2011, 60, 101–105. [Google Scholar]
- Susan, R.W.; Christoph, P.; Paul, S.; Dieter, B. Cathepsin K activity-dependent regulation of osteoclast actin ring formation and bone resorption. J. Biol. Chem. 2009, 284, 2584–2592. [Google Scholar]
- Chen, X.; Wang, Z.; Duan, N.; Zhu, G.; Schwarz, E.M.; Xie, C. Osteoblast-osteoclast Interactions. Connect. Tissue Res. 2018, 59, 99–107. [Google Scholar] [CrossRef] [PubMed]
- Matsumoto, M.; Kogawa, M.; Wada, S.; Takayanagi, H.; Tsujimoto, M.; Katayama, S. Essential role of p38 mitogen-activated protein kinase in cathepsin K gene expression during osteoclastogenesis through association of NFATc1 and PU.1. J. Biol. Chem. 2004, 279, 45969–45979. [Google Scholar] [CrossRef]
- Yagi, M.; Miyamoto, T.; Sawatani, Y.; Iwamoto, K.; Hosogane, N.; Fujita, N. DC-STAMP is essential for cell-cell fusion in osteoclasts and foreign body giant cells. J. Exp. Med. 2005, 202, 345–351. [Google Scholar] [CrossRef] [PubMed]
- Kim, H.; Kim, K.J.; Yeon, J.T.; Kim, S.H.; Won, D.H.; Choi, H. Placotylene A, an inhibitor of the receptor activator of nuclear factor-kappaB ligand-induced osteoclast differentiation, from a Korean sponge Placospongia sp. Mar. Drugs 2014, 12, 2054–2065. [Google Scholar] [CrossRef] [PubMed]
- Kim, K.J.; Lee, Y.; Son, S.R.; Lee, H.; Son, Y.J.; Lee, M.K.; Lee, M. Water extracts of hull-less waxy barley ( Hordeum vulgare L.) Cultivar ‘Boseokchal’ Inhibit RANKL-induced osteoclastogenesis. Molecules 2019, 24, 3735. [Google Scholar] [CrossRef] [PubMed]
- Rozen, S.; Skaletsky, H. Primer3 on the WWW for general users and for biologist programmers. Methods Mol. Biol. 2000, 132, 365–386. [Google Scholar] [PubMed]
- Halleen, J.M.; Tiitinen, S.L.; Ylipahkala, H.; Fagerlund, K.M.; Väänänen, H.K. Tartrate-resistant acid phosphatase 5b (TRACP 5b) as a marker of bone resorption. Clin. Lab. 2006, 52, 499–509. [Google Scholar]





| Gene of Interest | Primer Sequence (5′→3′) | |
|---|---|---|
| Sense | Anti-Sense | |
| NFATc1 | GGGTCAGTGTGACCGAAGAT | GGAAGTCAGAAGTGGGTGGA |
| CTSK | GGCCAACTCAAGAAGAAAAC | GTGCTTGCTTCCCTTCTGG |
| DC-STAMP | CCAAGGAGTCGTCCATGATT | GGCTGCTTTGATCGTTTCTC |
| OSCAR | CTGCTGGTAACGGATCAGCTC | CCAAGGAGCCAGAACCTT |
| TRAP | GATGACTTTGCCAGTCAGCA | ACATAGCCCACACCGTTCTC |
| GAPDH | AACTTTGGCATTGTGGAAGG | ACACATTGGGGGTAGGAACA |
Publisher’s Note: MDPI stays neutral with regard to jurisdictional claims in published maps and institutional affiliations. |
© 2022 by the authors. Licensee MDPI, Basel, Switzerland. This article is an open access article distributed under the terms and conditions of the Creative Commons Attribution (CC BY) license (https://creativecommons.org/licenses/by/4.0/).
Share and Cite
Lee, Y.; Kantayos, V.; Kim, J.-S.; Rha, E.-S.; Son, Y.-J.; Baek, S.-H. Inhibitory Effects of Protopanaxadiol-Producing Transgenic Rice Seed Extracts on RANKL-Induced Osteoclast Differentiation. Life 2022, 12, 1886. https://doi.org/10.3390/life12111886
Lee Y, Kantayos V, Kim J-S, Rha E-S, Son Y-J, Baek S-H. Inhibitory Effects of Protopanaxadiol-Producing Transgenic Rice Seed Extracts on RANKL-Induced Osteoclast Differentiation. Life. 2022; 12(11):1886. https://doi.org/10.3390/life12111886
Chicago/Turabian StyleLee, Yongjin, Vipada Kantayos, Jin-Suk Kim, Eui-Shik Rha, Young-Jin Son, and So-Hyeon Baek. 2022. "Inhibitory Effects of Protopanaxadiol-Producing Transgenic Rice Seed Extracts on RANKL-Induced Osteoclast Differentiation" Life 12, no. 11: 1886. https://doi.org/10.3390/life12111886
APA StyleLee, Y., Kantayos, V., Kim, J.-S., Rha, E.-S., Son, Y.-J., & Baek, S.-H. (2022). Inhibitory Effects of Protopanaxadiol-Producing Transgenic Rice Seed Extracts on RANKL-Induced Osteoclast Differentiation. Life, 12(11), 1886. https://doi.org/10.3390/life12111886

