Medium-Term Effect of Treatment with Intra-Articular Injection of Sodium Hyaluronate, Betamethasone and Platelet-Rich Plasma in Patients with Temporomandibular Arthralgia: A Retrospective Cohort Study
Abstract
Simple Summary
Abstract
1. Introduction
2. Materials and Methods
2.1. Patients
2.2. Inclusion and Exclusion Criteria
2.3. Treatments
2.4. Statistics
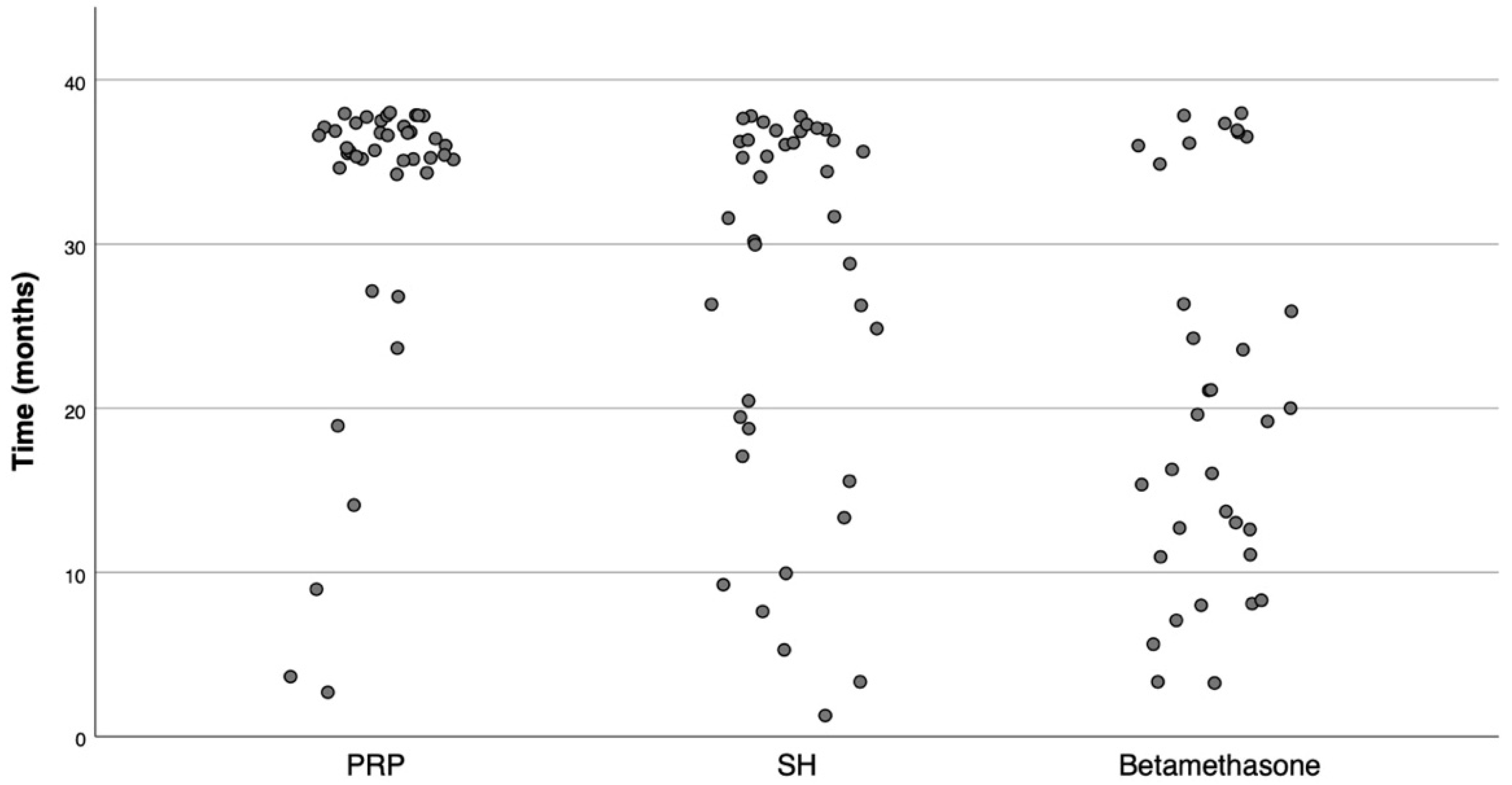
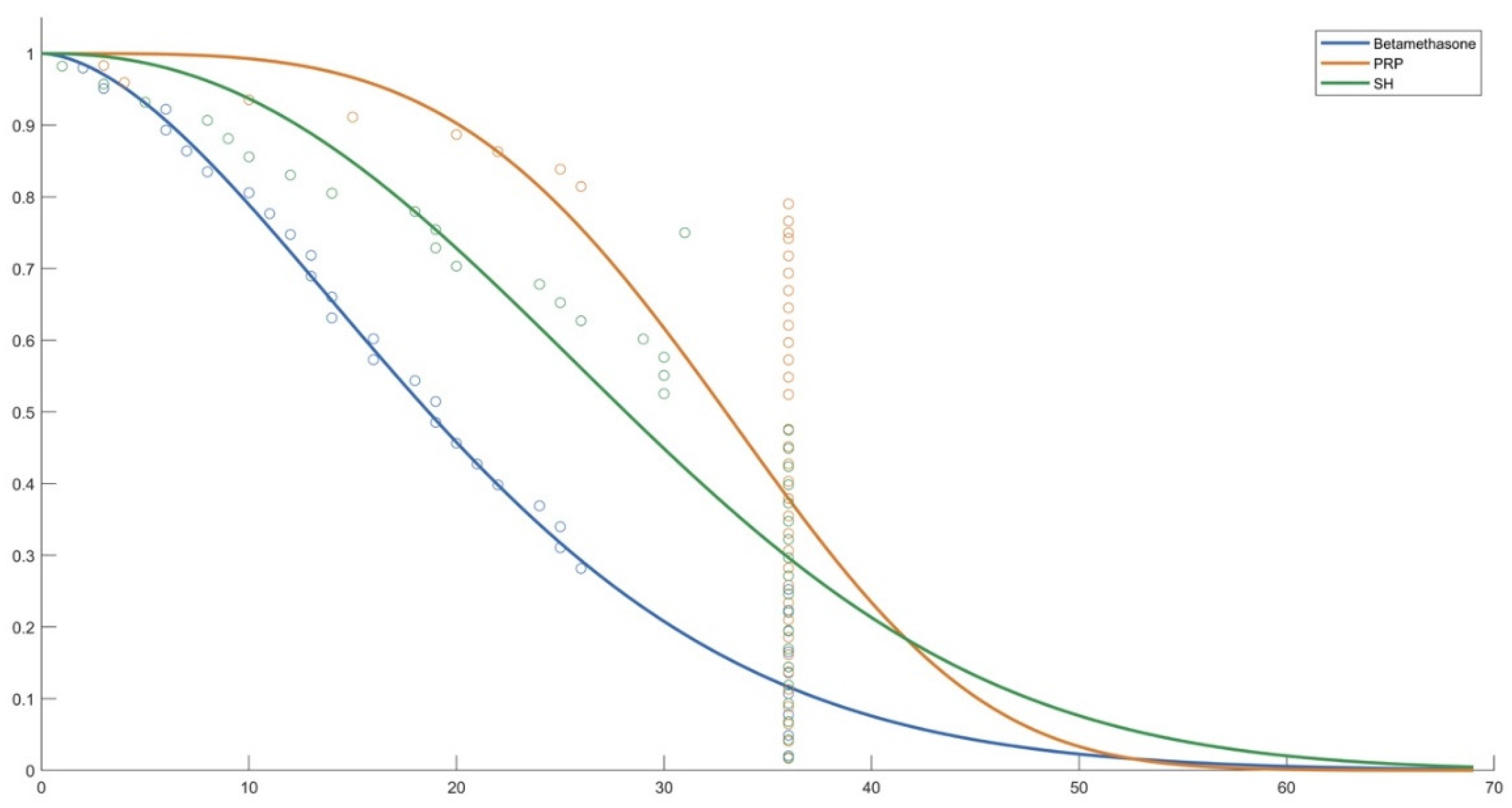
3. Results
- -
- PRP vs. SH: p = 0.048
- -
- PRP vs. Betamethasone: p < 0.001
- -
- SH vs. Betamethasone: p = 0.069
4. Discussion
5. Conclusions
Author Contributions
Funding
Institutional Review Board Statement
Informed Consent Statement
Data Availability Statement
Conflicts of Interest
Abbreviations
| TMJDs | Temporomandibular joint disorders |
| NSAIDs | Non-steroidal anti-inflammatory drugs |
| CS | Corticosteroids |
| TMJO | Temporomandibular joint osteoarthritis |
| SH | Sodium hyaluronate |
| HA | Hyaluronic acid |
| PRP | Platelet-rich plasma |
| MSCs | Mesenchymal stem cells |
| VSA | Visual Analogic Scale |
References
- Valesan, L.F.; Da-Cas, C.D.; Réus, J.C.; Denardin, A.C.S.; Garanhani, R.R.; Bonotto, D.; Januzzi, E.; de Souza, B.D.M. Prevalence of temporomandibular joint disorders: A systematic review and meta-analysis. Clin. Oral. Investig. 2021, 25, 441–453. [Google Scholar] [CrossRef] [PubMed]
- Schiffman, E.; Ohrbach, R.; Truelove, E.; Look, J.; Anderson, G.; Goulet, J.; List, T.; Svensson, P.; Gonzalez, Y.; Lobbezoo, F.; et al. Diagnostic Criteria for Temporomandibular Disorders (DC/TMD) for Clinical and Research Applications: Recommendations of the International RDC/TMD Consortium Network* and Orofacial Pain Special Interest Group. J. Oral. Facial. Pain Headache 2014, 28, 6–27. [Google Scholar] [CrossRef] [PubMed]
- Jin, L.J.; Lamster, I.B.; Greenspan, J.S.; Pitts, N.B.; Scully, C.; Warnakulasuriya, S. Global burden of oral diseases: Emerging concepts, management and interplay with systemic health. Oral Dis. 2016, 22, 609–619. [Google Scholar] [CrossRef]
- Gencer, Z.K.; Özkiris, M.; Okur, A.; Korkmaz, M.; Saydam, L. A comparative study on the impact of intra-articular injections of hyaluronic acid, tenoxicam and betametazon on the relief of temporomandibular joint disorder complaints. J. Craniomaxillofac. Surg. 2014, 42, 1117–1121. [Google Scholar] [CrossRef] [PubMed]
- Nicot, R.; Raoul, G.; Ferri, J.; Schlund, M. Temporomandibular disorders in head and neck cancers: Overview of specific mechanisms and management. J. Stomatol. Oral Maxillofac. Surg. 2020, 121, 563–568. [Google Scholar] [CrossRef]
- Chung, P.Y.; Lin, M.T.; Chang, H.P. Effectiveness of platelet-rich plasma injection in patients with temporomandibular joint osteoarthritis: A systematic review and meta-analysis of randomized controlled trials. Oral Surg. Oral Med. Oral Pathol. Oral Radiol. 2019, 127, 106–116. [Google Scholar] [CrossRef]
- Ouanounou, A.; Goldberg, M.; Haas, D.A. Pharmacotherapy in Temporomandibular Disorders: A Review. J. Can. Dent. Assoc. 2017, 83, h7. [Google Scholar] [PubMed]
- Ferrillo, M.; Nucci, L.; Giudice, A.; Calafiore, D.; Marotta, N.; Minervini, G.; d’Apuzzo, F.; Ammendolia, A.; Perillo, L.; de Sire, A. Efficacy of conservative approaches on pain relief in patients with temporomandibular joint disorders: A systematic review with network meta-analysis. Cranio 2022, 23, 1–17. [Google Scholar] [CrossRef]
- Horton, C.P. Treatment of arthritic temporomandibular joints by intra-articular injection of hydrocortisone. Oral Surg. Oral Med. Oral Pathol. 1953, 6, 826–829. [Google Scholar] [CrossRef]
- McCrum, C. Therapeutic Review of Methylprednisolone Acetate Intra-Articular Injection in the Management of Osteoarthritis of the Knee—Part 1: Clinical Effectiveness. Musculoskelet. Care 2017, 15, 79–88. [Google Scholar] [CrossRef]
- Gokçe Kutuk, S.; Gökçem, G.; Arslan, M.; Özkan, Y.; Kütük, M.; Kursat Arikan, O. Clinical and Radiological Comparison of Effects of Platelet-Rich Plasma, Hyaluronic Acid, and Corticosteroid Injections on Temporomandibular Joint Osteoarthritis. J. Craniofac. Surg. 2019, 30, 1144–1148. [Google Scholar] [CrossRef] [PubMed]
- Santagata, M.; De Luca, R.; Lo Giudice, G.; Troiano, A.; Lo Giudice, G.; Corvo, G.; Tartaro, G. Arthrocentesis and Sodium Hyaluronate Infiltration in Temporomandibular Disorders Treatment. Clinical and MRI Evaluation. J. Funct. Morphol. Kinesiol. 2020, 5, 18. [Google Scholar] [CrossRef] [PubMed]
- Giraddi, G.B.; Siddaraju, A.; Kumar, A.; Jain, T. Comparison Between Betamethasone and Sodium Hyaluronate Combination with Betamethasone Alone After Arthrocentesis in the Treatment of Internal Derangement of TMJ-Using Single Puncture Technique: A Preliminary Study. J. Maxillofac. Oral Surg. 2015, 14, 403–409. [Google Scholar] [CrossRef] [PubMed]
- Iturriaga, V.; Bornhardt, T.; Manterola, C.; Brebi, P. Effect of hyaluronic acid on the regulation of inflammatory mediators in osteoarthritis of the temporomandibular joint: A systematic review. Int. J. Oral Maxillofac. Surg. 2017, 46, 590–595. [Google Scholar] [CrossRef] [PubMed]
- Wu, P.I.; Diaz, R.; Borg-Stein, J. Platelet-Rich Plasma. Phys. Med. Rehabil. Clin. N. Am. 2016, 4, 825–853. [Google Scholar] [CrossRef]
- Bennell, K.; Hunter, D.; Paterson, K. Platelet-rich plasma for the management of hip and knee osteoarthritis. Curr. Rheumatol. Rep. 2017, 19, 24. [Google Scholar] [CrossRef]
- Campbell, K.A.; Saltzman, B.M.; Mascarenhas, R.; Khair, M.M.; Verma, N.N.; Bach, B.R., Jr.; Cole, B.J. Does intra-articular platelet-rich plasma injection provide clinically superior outcomes compared with other therapies in the treatment of knee osteoarthritis? A systematic review of overlapping meta-analyses. Arthroscopy 2015, 31, 2213–2221. [Google Scholar] [CrossRef]
- Machlus, K.; Thon, J.; Italiano, J. Interpreting the developmental dance of the megakaryocyte: A review of the cellular and molecular processes mediating platelet formation. Br. J. Haematol. 2014, 165, 227–236. [Google Scholar] [CrossRef]
- Ludwig, H.; Birdwhistell, K.; Brainard, B.; Franklin, S. Use of a cyclooxygenase-2 inhibitor does not inhibit platelet activation or growth factor release from platelet-rich plasma. Am. J. Sports Med. 2017, 45, 3351–3357. [Google Scholar] [CrossRef]
- Cole, B.; Seroyer, S.; Filardo, G.; Bajaj, S.; Fortier, L. Platelet-rich plasma: Where are we now and where are we going? Sports Health 2010, 2, 203–210. [Google Scholar] [CrossRef]
- Watson, S.; Bahou, W.; Fitzgerald, D.; Ouwehand, W.; Rao, A.; Leavitt, A. Mapping the platelet proteome: A report of the ISTH Platelet Physiology Subcommittee. J. Thromb. Haemost. 2005, 3, 2098–2101. [Google Scholar] [CrossRef] [PubMed]
- Xie, X.; Zhang, C.; Tuan, R. Biology of platelet-rich plasma and its clinical application in cartilage repair. Arthritis Res. Ther. 2014, 16, 204. [Google Scholar] [CrossRef] [PubMed]
- Sousa, B.M.; López-Valverde, N.; López-Valverde, A.; Caramelo, F.; Fraile, J.F.; Payo, J.H.; Rodrigues, M.J. Different Treatments in Patients with Temporomandibular Joint Disorders: A Comparative Randomized Study. Medicina (Kaunas) 2020, 56, 113. [Google Scholar] [CrossRef] [PubMed]
- Boughner, J.C. Implications of vertebrate craniodental evo-devo for human oral health. J. Exp. Zool. B Mol. Dev. Evol. 2017, 328, 321–333. [Google Scholar] [CrossRef]
- Moldez, M.; Camones, V.; Ramos, G.; Padilla, M.; Enciso, R. Effectiveness of Intra-Articular Injections of Sodium Hyaluronate or Corticosteroids for Intracapsular Temporomandibular Disorders: A Systematic Review and Meta-Analysis. J. Oral Facial Pain Headache 2018, 32, 53–66. [Google Scholar] [CrossRef]
- Vingender, S.; Restár, L.; Csomó, K.B.; Schmidt, P.; Hermann, P.; Vaszilkó, M. Intra-articular steroid and hyaluronic acid treatment of internal derangement of the temporomandibular joint. Orv. Hetil. 2018, 159, 1475–1482. [Google Scholar] [CrossRef]
- Goiato, M.; Da Silva, E.V.F.; De Medeiros, R.; Túrcio, K.; Dos Santos, D. Are intra-articular injections of hyaluronic acid effective for the treatment of temporomandibular disorders? A systematic review. Int. J. Oral Maxillofac. Surg. 2016, 45, 1531–1537. [Google Scholar] [CrossRef]
- Kopp, S.; Carlsson, G.E.; Haraldson, T.; Wenneberg, B. The short-term effect of intra-articular injection of sodium hyaluronate and corticosteroid on temporomandibular joint pain and dysfunction. J. Oral Maxillofac. Surg. 1985, 43, 429–435. [Google Scholar] [CrossRef]
- Bjørnland, T.; Gjærum, A.A.; Møystad, A. Osteoarthritis of the temporomandibular joint: An evaluation of the effects and complications of corticosteroid injection compared with injection with sodium hyaluronate. J. Oral Rehabil. 2007, 34, 583–589. [Google Scholar] [CrossRef]
- Nardini, L.G.; Masiero, S.; Marioni, G. Conservative treatment of temporomandibular joint osteoarthrosis: Intra-articular injection of sodium hyaluronate. J. Oral Rehabil. 2005, 32, 729–734. [Google Scholar] [CrossRef]
- Nardini, L.G.; Tito, R.; Staffieri, A.; Beltrame, A. Treatment of patients with arthrosis of the temporomandibular joint by infiltration of sodium hyaluronate: A preliminary study. Eur. Arch. Oto-Rhino- Laryngol. 2002, 259, 279–284. [Google Scholar] [CrossRef] [PubMed]
- Hepguler, S.; Akkoc, Y.S.; Pehlivan, M.; Ozturk, C.; Celebi, G.; Saracoglu, A.; Ozpinar, B. The efficacy of intra-articular sodium hyaluronate in patients with reducing displaced disc of the temporomandibular joint. J. Oral Rehabil. 2002, 29, 80–86. [Google Scholar] [CrossRef] [PubMed]
- Laskin, D.M. Needle placement for arthro-centesis. J. Oral Maxillofac. Surg 1998, 56, 907. [Google Scholar] [CrossRef]
- Manfredini, D.; Rancitelli, D.; Ferronato, G.; Guarda-Nardini, L. Arthrocentesis with or without additional drugs in temporomandibular joint inflammatory-degenerative disease: Comparison of six treatment protocols*. J. Oral Rehabil 2012, 39, 245–251. [Google Scholar] [CrossRef] [PubMed]
- Batifol, D. Les différents types d’injection pour traiter les dysfonctions de l’articulation temporomandibulaire [Different types of injection in temporomandibular disorders (TMD) treatment]. Rev. Stomatol. Chir. Maxillofac. Chir. Orale. 2016, 117, 256–258. [Google Scholar]
- Shen, L.; Yuan, T.; Chen, S.; Xie, X.; Zhang, C. The temporal effect of platelet-rich plasma on pain and physical function in the treatment of knee osteoarthritis: Systematic review and meta-analysis of randomized controlled trials. J. Orthop. Surg. Res. 2017, 12, 16. [Google Scholar] [CrossRef]
- Hetland, M.L.; Østergaard, M.; Ejbjerg, B.; Jacobsen, S.; Stengaard-Pedersen, K.; Junker, P.; Lottenburger, T.; Hansen, I.; Andersen, L.S.; Tarp, U.; et al. CIMESTRA study group. Short- and long-term efficacy of intra-articular injections with betamethasone as part of a treat-to-target strategy in early rheumatoid arthritis: Impact of joint area, repeated injections, MRI findings, anti-CCP, IgM-RF and CRP. Ann. Rheum. Dis. 2012, 71, 851–856. [Google Scholar] [CrossRef]
- Kopp, S.; Carlsson, G.E.; Haraldson, T.; Wenneberg, B. Long-term effect of intra-articular injections of sodium hyaluronate and corticosteroid on temporomandibular joint arthritis. J. Oral Maxillofac. Surg. 1987, 45, 929–935. [Google Scholar] [CrossRef]
- Jüni, P.; Hari, R.; Rutjes, A.W.; Fischer, R.; Silletta, M.G.; Reichenbach, S.; da Costa, B.R. Intra-articular corticosteroid for knee osteoarthritis. Cochrane Database Syst. Rev. 2015, 10, CD005328. [Google Scholar] [CrossRef]
- Tanaka, E.; Iwabe, T.; Dalla-Bona, D.A.; Kawai, N.; van Eijden, T.; Tanaka, M.; Kitagawa, S.; Takata, T.; Tanne, K. The effect of experimental cartilage damage and impairment and restoration of synovial lubrication on friction in the temporomandibular joint. J. Orofac. Pain 2005, 19, 331–336. [Google Scholar]
- Hegab, A.F.; Ali, H.E.; Elmasry, M.; Khallaf, M.G. Platelet-Rich Plasma Injection as an Effective Treatment for Temporomandibular Joint Osteoarthritis. J. Oral Maxillofac. Surg. 2015, 73, 1706–1713. [Google Scholar] [CrossRef] [PubMed]
- Al-Delayme, R.M.A.; Alnuamy, S.H.; Hamid, F.T.; Azzamily, T.J.; Ismaeel, S.A.; Sammir, R.; Hadeel, M.; Nabeel, J.; Shwan, R.; Alfalahi, S.J.; et al. The Efficacy of Platelets Rich Plasma Injection in the Superior Joint Space of the Tempromandibular Joint Guided by Ultra Sound in Patients with Non-reducing Disk Displacement. J. Maxillofac. Oral Surg. 2017, 16, 43–47. [Google Scholar] [CrossRef] [PubMed]
- Kilic, S.C.; Gungormus, M. A comparison of effects of platelet-rich plasma, hyaluronic acid, and corticosteroid injections following arthrocentesis on pain during joint palpation after treatment of temporomandibular joint osteoarthritis. J. Dent. Fac. Atatürk Uni. 2016, 26, 407–412. [Google Scholar]
- Vannabouathong, C.; Del, F.G.; Sales, B.; Smith, C.; Li, C.S.; Yardley, D.; Bhandari, M.; Petrisor, B.A. Intra-articular injections in the treatment of symptoms from ankle arthritis: A systematic review. Foot Ankle Int. 2018, 39, 1141–1150. [Google Scholar] [CrossRef]
- Le, A.D.K.; Enweze, L.; DeBaun, M.R.; Dragoo, J.L. Current clinical recommendations for use of platelet-rich plasma. Curr. Rev. Musculoskelet. Med. 2018, 11, 624–634. [Google Scholar] [CrossRef]
- Dallari, D.; Stagni, C.; Rani, N.; Sabbioni, G.; Pelotti, P.; Torricelli, P.; Tschon, M.; Giavaresi, G. Ultrasound-guided injection of platelet-rich plasma and hyaluronic acid, separately and in combination, for hip osteoarthritis: A randomized controlled study. Am. J. Sports Med. 2016, 44, 664–671. [Google Scholar] [CrossRef]
- Chen, P.; Huang, L.; Ma, Y.; Zhang, D.; Zhang, X.; Zhou, J.; Ruan, A.; Wang, Q. Intra-articular platelet-rich plasma injection for knee osteoarthritis: A summary of meta-analyses. J. Orthop. Surg. Res. 2019, 14, 385. [Google Scholar] [CrossRef]
- Joshi Jubert, N.; Rodríguez, L.; Reverté-Vinaixa, M.; Navarro, A. Platelet-rich plasma injections for advanced knee osteoarthritis: A prospective, randomized, double-blinded clinical trial. Orthop. J. Sports Med. 2017, 5, 232596711668938. [Google Scholar] [CrossRef]
- Forogh, B.; Mianehsaz, E.; Shoaee, S.; Ahadi, T.; Raissi, G.R.; Sajadi, S. Effect of single injection of platelet-rich plasma in comparison with corticosteroid on knee osteoarthritis: A double-blind randomized clinical trial. J. Sports Med. Phys. Fitness. 2016, 56, 901–908. [Google Scholar]
- Meheux, C.; McCulloch, P.; Lintner, D.; Varner, K.; Harris, J. Efficacy of intra-articular platelet-rich plasma injections in knee osteoar- thritis: A systematic review. Arthroscopy 2016, 32, 495–505. [Google Scholar] [CrossRef]
- Kütük, N.; Baş, B.; Soylu, E.; Gönen, Z.B.; Yilmaz, C.; Balcioğlu, E.; Özdamar, S.; Alkan, A. Effect of platelet-rich plasma on fibrocartilage, cartilage, and bone repair in temporomandibular joint. J. Oral Maxillofac. Surg. 2014, 72, 277–284. [Google Scholar] [CrossRef] [PubMed]
- Pihut, M.; Szuta, M.; Ferendiuk, E.; Zeńczak-Więckiewicz, D. Evaluation of pain regression in patients with temporomandibular dysfunction treated by intra-articular platelet-rich plasma injections: A preliminary report. Biomed. Res. Int. 2014, 2014, 132369. [Google Scholar] [CrossRef] [PubMed]




| PRP (41) | SH (39) | Betamethasone (34)A | p | |
|---|---|---|---|---|
| sex (M/F) | 10/31 (24.4%/75.6%) | 9/30 (23.1%/76.9%) | 8/26 (23.5%/76.5%) | 1.000 § |
| age (min/max) | 37.6 ± 15.0 (18/66) | 39.1 ± 13.1 (18/65) | 41.2 ± 15.3 (18/66) | 0.570 £ |
| PRP (41) | SH (39) | Betamethasone (34)A | p | |
|---|---|---|---|---|
| time (min/max) | 32.0 ± 9.0 (3/36) | 26.8 ± 11.4 (1/36) | 20.4 ± 11.2 (2/36) | 0.005 # |
Publisher’s Note: MDPI stays neutral with regard to jurisdictional claims in published maps and institutional affiliations. |
© 2022 by the authors. Licensee MDPI, Basel, Switzerland. This article is an open access article distributed under the terms and conditions of the Creative Commons Attribution (CC BY) license (https://creativecommons.org/licenses/by/4.0/).
Share and Cite
Macedo de Sousa, B.; López-Valverde, A.; Caramelo, F.; Rodrigues, M.J.; López-Valverde, N. Medium-Term Effect of Treatment with Intra-Articular Injection of Sodium Hyaluronate, Betamethasone and Platelet-Rich Plasma in Patients with Temporomandibular Arthralgia: A Retrospective Cohort Study. Life 2022, 12, 1739. https://doi.org/10.3390/life12111739
Macedo de Sousa B, López-Valverde A, Caramelo F, Rodrigues MJ, López-Valverde N. Medium-Term Effect of Treatment with Intra-Articular Injection of Sodium Hyaluronate, Betamethasone and Platelet-Rich Plasma in Patients with Temporomandibular Arthralgia: A Retrospective Cohort Study. Life. 2022; 12(11):1739. https://doi.org/10.3390/life12111739
Chicago/Turabian StyleMacedo de Sousa, Bruno, Antonio López-Valverde, Francisco Caramelo, María João Rodrigues, and Nansi López-Valverde. 2022. "Medium-Term Effect of Treatment with Intra-Articular Injection of Sodium Hyaluronate, Betamethasone and Platelet-Rich Plasma in Patients with Temporomandibular Arthralgia: A Retrospective Cohort Study" Life 12, no. 11: 1739. https://doi.org/10.3390/life12111739
APA StyleMacedo de Sousa, B., López-Valverde, A., Caramelo, F., Rodrigues, M. J., & López-Valverde, N. (2022). Medium-Term Effect of Treatment with Intra-Articular Injection of Sodium Hyaluronate, Betamethasone and Platelet-Rich Plasma in Patients with Temporomandibular Arthralgia: A Retrospective Cohort Study. Life, 12(11), 1739. https://doi.org/10.3390/life12111739

