Subtypes and Mechanisms of Hypertrophic Cardiomyopathy Proposed by Machine Learning Algorithms
Abstract
1. Introduction
2. Materials and Methods
2.1. Data
2.2. Data Analysis
2.2.1. HCM Subtypes
2.2.2. Prediction of the Presence of HCM Features
3. Results
3.1. HCM Subtypes
3.1.1. An Approximate Interpretation of Clustering
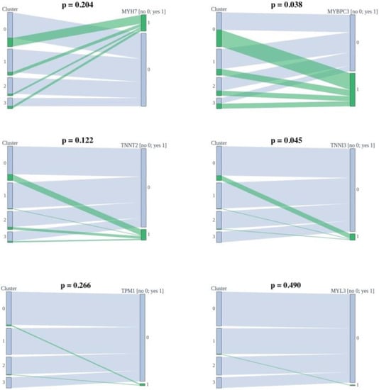
3.1.2. Association with Genotype
3.2. Prediction of the Presence of HCM Features
3.2.1. Mutated Genes




3.2.2. Symptoms





3.2.3. Signs


3.2.4. Echocardiogram



3.2.5. Conduction and Rhythm Disorders





3.2.6. Ischemia


4. Discussion
4.1. HCM Subtypes
4.2. Prediction of the Presence of HCM Features
4.3. Technical and Statistical Aspects
4.4. Limitations
5. Conclusions
Supplementary Materials
Author Contributions
Funding
Institutional Review Board Statement
Informed Consent Statement
Data Availability Statement
Acknowledgments
Conflicts of Interest
References
- Pydah, S.C.; Mauck, K.; Shultis, C.; Rolfs, J.; Schmidt, E.; Nicholas, J. Screening for hypertrophic cardiomyopathy. JAAPA 2021, 34, 23–27. Available online: https://journals.lww.com/jaapa/Fulltext/2021/10000/Screening_for_hypertrophic_cardiomyopathy.4.aspx (accessed on 5 August 2022). [CrossRef] [PubMed]
- Maron, B.J.; Desai, M.Y.; Nishimura, R.A.; Spirito, P.; Rakowski, H.; Towbin, J.A.; Dearani, J.A.; Rowin, E.J.; Maron, M.S.; Sherrid, M.V. Management of Hypertrophic Cardiomyopathy: JACC State-of-the-Art Review. J. Am. Coll. Cardiol. 2022, 79, 390–414. Available online: https://pubmed.ncbi.nlm.nih.gov/35086661/ (accessed on 5 August 2022). [CrossRef]
- Maron, B.A.; Wang, R.S.; Carnethon, M.R.; Rowin, E.J.; Loscalzo, J.; Maron, B.J.; Maron, M.S. What Causes Hypertrophic Cardiomyopathy? Am. J. Cardiol. 2022, 11, 6. Available online: http://www.ajconline.org/article/S0002914922006518/fulltext (accessed on 6 August 2022). [CrossRef] [PubMed]
- Glavaški, M.; Velicki, L. Shared Molecular Mechanisms of Hypertrophic Cardiomyopathy and Its Clinical Presentations: Automated Molecular Mechanisms Extraction Approach. Life 2021, 11, 785. Available online: https://www.mdpi.com/2075-1729/11/8/785/htm (accessed on 6 August 2022). [CrossRef] [PubMed]
- Akita, K.; Kikushima, K.; Ikoma, T.; Islam, A.; Sato, T.; Yamamoto, T.; Kahyo, T.; Setou, M.; Maekawa, Y. The association between the clinical severity of heart failure and docosahexaenoic acid accumulation in hypertrophic cardiomyopathy. BMC Res. Notes 2022, 15, 139. Available online: https://pmc/articles/PMC9008933/ (accessed on 6 August 2022). [CrossRef]
- Glavaški, M.; Velicki, L. Humans and machines in biomedical knowledge curation: Hypertrophic cardiomyopathy molecular mechanisms’ representation. BioData Min. 2021, 14, 45. Available online: https://biodatamining.biomedcentral.com/articles/10.1186/s13040-021-00279-2 (accessed on 29 August 2022). [CrossRef]
- Maron, B.J.; Rowin, E.J.; Maron, M.S. Hypertrophic Cardiomyopathy: New Concepts and Therapies. Annu. Rev. Med. 2022, 73, 363–375. Available online: https://www.annualreviews.org/doi/abs/10.1146/annurev-med-042220-021539 (accessed on 6 August 2022). [CrossRef]
- Guni, A.; Normahani, P.; Davies, A.; Jaffer, U. Harnessing Machine Learning to Personalize Web-Based Health Care Content. J. Med. Internet Res. 2021, 23, e25497. Available online: https://pmc/articles/PMC8564651/ (accessed on 6 August 2022). [CrossRef]
- Verma, A.A.; Murray, J.; Greiner, R.; Cohen, J.P.; Shojania, K.G.; Ghassemi, M.; Straus, S.E.; Pou-Prom, C.; Mamdani, M. Implementing machine learning in medicine. CMAJ 2021, 193, E1351-7. Available online: https://pmc/articles/PMC8432320/ (accessed on 6 August 2022). [CrossRef]
- Crase, S.; Thennadil, S.N. An analysis framework for clustering algorithm selection with applications to spectroscopy. PLoS ONE 2022, 17, e0266369. Available online: https://pmc/articles/PMC8970496/ (accessed on 6 August 2022). [CrossRef]
- Carracedo-Reboredo, P.; Liñares-Blanco, J.; Rodríguez-Fernández, N.; Cedrón, F.; Novoa, F.J.; Carballal, A.; Maojo, V.; Pazos, A.; Fernandez-Lozano, C. A review on machine learning approaches and trends in drug discovery. Comput. Struct. Biotechnol. J. 2021, 19, 4538. Available online: https://pmc/articles/PMC8387781/ (accessed on 6 August 2022). [CrossRef] [PubMed]
- Cilluffo, G.; Fasola, S.; Ferrante, G.; Malizia, V.; Montalbano, L.; la Grutta, S. Machine Learning: An Overview and Applications in Pharmacogenetics. Genes 2021, 12, 1511. Available online: https://pmc/articles/PMC8535911/ (accessed on 6 August 2022). [CrossRef] [PubMed]
- Severn, C.; Suresh, K.; Görg, C.; Choi, Y.S.; Jain, R.; Ghosh, D. A Pipeline for the Implementation and Visualization of Explainable Machine Learning for Medical Imaging Using Radiomics Features. Sensors 2022, 22, 5205. Available online: https://pmc/articles/PMC9318445/ (accessed on 6 August 2022). [CrossRef]
- Tafelmeier, M.; Baessler, A.; Wagner, S.; Unsoeld, B.; Preveden, A.; Barlocco, F.; Tomberli, A.; Popovic, D.; Brennan, P.; MacGowan, G.A.; et al. Design of the SILICOFCM study: Effect of sacubitril/valsartan vs lifestyle intervention on functional capacity in patients with hypertrophic cardiomyopathy. Clin. Cardiol. 2020, 43, 430–440. Available online: https://pubmed.ncbi.nlm.nih.gov/32125709/ (accessed on 24 September 2022). [CrossRef] [PubMed]
- Preveden, A.; Golubovic, M.; Bjelobrk, M.; Miljkovic, T.; Ilic, A.; Stojsic, S.; Gajic, D.; Glavaski, M.; Maier, L.S.; Okwose, N.; et al. Gender Related Differences in the Clinical Presentation of Hypertrophic Cardiomyopathy—An Analysis from the SILICOFCM Database. Medicina 2022, 58, 314. Available online: https://www.mdpi.com/1648-9144/58/2/314/htm (accessed on 6 August 2022). [CrossRef] [PubMed]
- Elliott, P.M.; Anastasakis, A.; Borger, M.; Borggrefe, M.; Cecchi, F.; Charron, P.; Hagege, A.A.; Lafont, A.; Limongelli, G.; Mahrholdt, H.; et al. 2014 ESC Guidelines on diagnosis and management of hypertrophic cardiomyopathy: The Task Force for the Diagnosis and Management of Hypertrophic Cardiomyopathy of the European Society of Cardiology (ESC). Eur. Heart J. 2014, 35, 2733–2779. Available online: https://academic.oup.com/eurheartj/article/35/39/2733/853385 (accessed on 24 September 2022). [PubMed]
- Glavaški, M.; Velicki, L. More slices, less truth: Effects of different test-set design strategies for magnetic resonance image classification. Croat Med. J. 2022, 63, 370–378. Available online: https://pubmed.ncbi.nlm.nih.gov/36046934/ (accessed on 24 September 2022). [CrossRef]
- Tang, B.; Song, Y.; Cui, H.; Ji, K.; Yu, Q.; Zhu, C.; Zhao, S.; Wang, S. Prognosis of adult obstructive hypertrophic cardiomyopathy patients with different morphological types after surgical myectomy. Eur. J. Cardiothorac. Surg. 2018, 54, 310–317. Available online: https://academic.oup.com/ejcts/article/54/2/310/4851140 (accessed on 6 August 2022). [CrossRef]
- Prinz, C.; Farr, M.; Hering, D.; Horstkotte, D.; Faber, L. The Diagnosis and Treatment of Hypertrophic Cardiomyopathy. Dtsch. Arztebl. Int. 2011, 108, 209. Available online: https://pmc/articles/PMC3078548/ (accessed on 6 August 2022). [CrossRef]
- Maron, B.J.; Towbin, J.A.; Thiene, G.; Antzelevitch, C.; Corrado, D.; Arnett, D.; Moss, A.J.; Seidman, C.E.; Young, J.B. Contemporary definitions and classification of the cardiomyopathies: An American Heart Association Scientific Statement from the Council on Clinical Cardiology, Heart Failure and Transplantation Committee; Quality of Care and Outcomes Research and Functional Genomics and Translational Biology Interdisciplinary Working Groups; and Council on Epidemiology and Prevention. Circulation 2006, 113, 1807–1816. Available online: https://pubmed.ncbi.nlm.nih.gov/16567565/ (accessed on 6 August 2022).
- Elliott, P.; Andersson, B.; Arbustini, E.; Bilinska, Z.; Cecchi, F.; Charron, P.; Dubourg, O.; Kühl, U.; Maisch, B.; McKenna, W.J.; et al. Classification of the cardiomyopathies: A position statement from the european society of cardiology working group on myocardial and pericardial diseases. Eur. Heart J. 2008, 29, 270–276. Available online: https://academic.oup.com/eurheartj/article/29/2/270/433902 (accessed on 6 August 2022). [CrossRef] [PubMed]
- Maron, B.J.; Gottdiener, J.S.; Epstein, S.E. Patterns and significance of distribution of left ventricular hypertrophy in hypertrophic cardiomyopathy: A wide angle, two dimensional echocardiographic study of 125 patients. Am. J. Cardiol. 1981, 48, 418–428. Available online: http://www.ajconline.org/article/0002914981900680/fulltext (accessed on 6 August 2022). [CrossRef]
- Parato, V.M.; Antoncecchi, V.; Sozzi, F.; Marazia, S.; Zito, A.; Maiello, M.; Palmiero, P. Echocardiographic diagnosis of the different phenotypes of hypertrophic cardiomyopathy. Cardiovasc. Ultrasound 2016, 14, 30. Available online: https://pmc/articles/PMC4982201/ (accessed on 6 August 2022). [CrossRef] [PubMed]
- Syed, I.S.; Ommen, S.R.; Breen, J.F.; Tajik, A.J. Hypertrophic Cardiomyopathy: Identification of Morphological Subtypes by Echocardiography and Cardiac Magnetic Resonance Imaging. JACC Cardiovasc. Imaging 2008, 1, 377–379. [Google Scholar] [CrossRef]
- Helmy, S.M.; Maauof, G.F.; Shaaban, A.A.; ElMaghraby, A.M.; Anilkumar, S.; Shawky, A.H.H.; Hajar, R. Hypertrophic Cardiomyopathy: Prevalence, Hypertrophy Patterns, and Their Clinical and ECG Findings in a Hospital at Qatar. Heart Views 2011, 12, 143. Available online: https://pmc/articles/PMC3345148/ (accessed on 6 August 2022). [CrossRef]
- Kim, E.K.; Lee, S.C.; Hwang, J.W.; Chang, S.A.; Park, S.J.; On, Y.K.; Park, K.M.; Choe, Y.H.; Kim, S.M.; Park, S.W.; et al. Differences in apical and non-apical types of hypertrophic cardiomyopathy: A prospective analysis of clinical, echocardiographic, and cardiac magnetic resonance findings and outcome from 350 patients. Eur. Heart J. Cardiovasc. Imaging 2016, 17, 678–686. Available online: https://academic.oup.com/ehjcimaging/article/17/6/678/1748322 (accessed on 6 August 2022). [CrossRef]
- Velicki, L.; Jakovljevic, D.G.; Preveden, A.; Golubovic, M.; Bjelobrk, M.; Ilic, A.; Stojsic, S.; Barlocco, F.; Tafelmeier, M.; Okwose, N.; et al. Genetic determinants of clinical phenotype in hypertrophic cardiomyopathy. BMC Cardiovasc. Disord. 2020, 20, 516. Available online: https://bmccardiovascdisord.biomedcentral.com/articles/10.1186/s12872-020-01807-4 (accessed on 19 July 2022). [CrossRef]
- Waldmüller, S.; Erdmann, J.; Binner, P.; Gelbrich, G.; Pankuweit, S.; Geier, C.; Timmermann, B.; Haremza, J.; Perrot, A.; Scheer, S.; et al. Novel correlations between the genotype and the phenotype of hypertrophic and dilated cardiomyopathy: Results from the German Competence Network Heart Failure. Eur. J. Heart Fail. 2011, 13, 1185–1192. Available online: https://onlinelibrary.wiley.com/doi/full/10.1093/eurjhf/hfr074 (accessed on 2 August 2022). [CrossRef]
- Yoneda, Z.T.; Anderson, K.C.; Quintana, J.A.; O’Neill, M.J.; Sims, R.A.; Glazer, A.M.; Shaffer, C.M.; Crawford, D.M.; Stricker, T.; Ye, F.; et al. Early-Onset Atrial Fibrillation and the Prevalence of Rare Variants in Cardiomyopathy and Arrhythmia Genes. JAMA Cardiol. 2021, 6, 1371–1379. Available online: https://pmc/articles/PMC8427496/ (accessed on 21 August 2022). [CrossRef]
- Lee, S.P.; Ashley, E.A.; Homburger, J.; Caleshu, C.; Green, E.M.; Jacoby, D.; Colan, S.D.; Arteaga-Fernández, E.; Day, S.M.; Girolami, F.; et al. Incident Atrial Fibrillation Is Associated With MYH7 Sarcomeric Gene Variation in Hypertrophic Cardiomyopathy. Circ. Heart Fail. 2018, 11, e005191. Available online: https://www.ahajournals.org/doi/abs/10.1161/CIRCHEARTFAILURE.118.005191 (accessed on 21 August 2022). [CrossRef]
- Butters, A.; Isbister, J.C.; Medi, C.; Raju, H.; Turner, C.; Sy, R.W.; Semsarian, C.; Ingles, J. Epidemiology and clinical characteristics of atrial fibrillation in patients with inherited heart diseases. J. Cardiovasc. Electrophysiol. 2020, 31, 465–473. Available online: https://onlinelibrary.wiley.com/doi/full/10.1111/jce.14346 (accessed on 21 August 2022). [CrossRef] [PubMed]
- Marsiglia, J.D.C.; Credidio, F.L.; de Oliveira, T.G.M.; Reis, R.F.; Antunes, M.D.O.; de Araujo, A.Q.; Pedrosa, R.P.; Barbosa-Ferreira, J.M.B.; Mady, C.; Krieger, J.E.; et al. Screening of MYH7, MYBPC3, and TNNT2 genes in Brazilian patients with hypertrophic cardiomyopathy. Am. Heart J. 2013, 166, 775–782. [Google Scholar] [CrossRef] [PubMed]
- Mastroianno, S.; Palumbo, P.; Castellana, S.; Leone, M.P.; Massaro, R.; Potenza, D.R.; Mazza, T.; Russo, A.; Castori, M.; Carella, M.; et al. Double missense mutations in cardiac myosin-binding protein C and myopalladin genes: A case report with diffuse coronary disease, complete atrioventricular block, and progression to dilated cardiomyopathy. Ann. Noninvasive Electrocardiol. 2020, 25, e12687. Available online: https://pmc/articles/PMC7358828/ (accessed on 22 August 2022). [CrossRef] [PubMed]
- Seiler, C.; Jenni, R.; Vassalli, G.; Turina, M.; Hess, O.M. Left ventricular chamber dilatation in hypertrophic cardiomyopathy: Related variables and prognosis in patients with medical and surgical therapy. Br. Heart J. 1995, 74, 508. Available online: https://pmc/articles/PMC484070/?report=abstract (accessed on 22 August 2022). [CrossRef][Green Version]
- Karaye, K.M.; Habib, A.G.; Mohammed, S.; Rabiu, M.; Shehu, M.N. Assessment of right ventricular systolic function using tricuspid annular-plane systolic excursion in Nigerians with systemic hypertension. Cardiovasc. J. Afr. 2010, 21, 186. Available online: https://pmc/articles/PMC3721899/ (accessed on 22 August 2022). [CrossRef][Green Version]
- Parlak, S.; Gulcek, S.; Kaplanoglu, H.; Altin, L.; Deveer, M.; Pasaoglu, L. Hepatic Artery Pseudoaneurysm: A Life-Threatening Complication of Liver Transplantation. J. Belg. Soc. Radiol. 2015, 99, 61. Available online: https://pmc/articles/PMC6032380/ (accessed on 30 August 2022).
- Kazama, I.; Mori, Y.; Baba, A.; Nakajima, T. Pitting type of pretibial edema in a patient with silent thyroiditis successfully treated by angiotensin ii receptor blockade. Am. J. Case Rep. 2014, 15, 111–114. Available online: https://pubmed.ncbi.nlm.nih.gov/24665353/ (accessed on 30 August 2022).
- Nigussie, B.; Abaleka, F.I.; Gemechu, T.; Suhail, M.; Alikhan, S. Severe Pulmonary Hypertension and Cholestatic Liver Injury: Two Rare Manifestations of Graves’ Disease. Cureus 2020, 12, e9236. Available online: https://pmc/articles/PMC7370659/ (accessed on 30 August 2022). [CrossRef]
- Balal, M.; Paydas, S.; Seyrek, N.; Karayaylali, I.; Gonlusen, G. Other glomerular pathologies in three patients with diabetes mellitus. Ren. Fail. 2004, 26, 185–188. Available online: https://pubmed.ncbi.nlm.nih.gov/15287204/ (accessed on 30 August 2022). [CrossRef]
- Palermo, P.; Magrì, D.; Sciomer, S.; Stefanini, E.; Agalbato, C.; Compagnino, E.; Chircu, C.M.; Maffessanti, F.; Teodoru, M.; Agostoni, P. Delayed Anaerobic Threshold in Heart Failure Patients With Atrial Fibrillation. J. Cardiopulm. Rehabil. Prev. 2016, 36, 174–179. Available online: https://pubmed.ncbi.nlm.nih.gov/27115075/ (accessed on 24 August 2022). [CrossRef]
- Delgado, V.; di Biase, L.; Leung, M.; Romero, J.; Tops, L.F.; Casadei, B.; Marrouche, N.; Bax, J.J. Structure and Function of the Left Atrium and Left Atrial Appendage: AF and Stroke Implications. J. Am. Coll. Cardiol. 2017, 70, 3157–3172. [Google Scholar] [CrossRef] [PubMed]
- Thomas, L.; Abhayaratna, W.P. Left Atrial Reverse Remodeling: Mechanisms, Evaluation, and Clinical Significance. JACC Cardiovasc. Imaging 2017, 10, 65–77. [Google Scholar] [CrossRef] [PubMed]
- Schumacher, K.; Dagres, N.; Hindricks, G.; Husser, D.; Bollmann, A.; Kornej, J. Characteristics of PR interval as predictor for atrial fibrillation: Association with biomarkers and outcomes. Clin. Res. Cardiol. 2017, 106, 767–775. Available online: https://link.springer.com/article/10.1007/s00392-017-1109-y (accessed on 24 August 2022). [CrossRef] [PubMed]
- Kornej, J.; Zeynalova, S.; Thiery, J.; Burkhardt, R.; Baber, R.; Engel, C.; Hagendorff, A.; Loeffler, M.; Husser, D. Association between echocardiographic parameters and biomarkers in probands with atrial fibrillation and different PR interval lengths: Insight from the epidemiologic LIFE Adult Study. PLoS ONE 2019, 14, e0212627. Available online: https://pmc/articles/PMC6394950/ (accessed on 24 August 2022). [CrossRef]
- Sohns, C.; Marrouche, N.F. Atrial fibrillation and cardiac fibrosis. Eur. Heart J. 2020, 41, 1123–1131. Available online: https://academic.oup.com/eurheartj/article/41/10/1123/5622908 (accessed on 24 August 2022). [CrossRef]
- Ma, J.; Chen, Q.; Ma, S. Left atrial fibrosis in atrial fibrillation: Mechanisms, clinical evaluation and management. J. Cell. Mol. Med. 2021, 25, 2764. Available online: https://pmc/articles/PMC7957273/ (accessed on 24 August 2022). [CrossRef]
- Wałek, P.; Ciesla, E.; Gorczyca, I.; Wożakowska-Kapłon, B. Left atrial wall dyskinesia assessed during contractile phase as a predictor of atrial fibrillation recurrence after electrical cardioversion performed due to persistent atrial fibrillation. Medicine 2020, 99, e23333. Available online: https://pmc/articles/PMC7717756/ (accessed on 24 August 2022). [CrossRef]
- Aguilar, M.; Rose, R.A.; Takawale, A.; Nattel, S.; Reilly, S. New aspects of endocrine control of atrial fibrillation and possibilities for clinical translation. Cardiovasc. Res. 2021, 117, 1645. Available online: https://pmc/articles/PMC8208746/ (accessed on 24 August 2022). [CrossRef]
- Attar, R.; El-Tallawi, K.C. Diastolic Mitral Regurgitation. Methodist Debakey Cardiovasc. J. 2021, 17, 89–90. Available online: https://pubmed.ncbi.nlm.nih.gov/34992727/ (accessed on 23 August 2022). [CrossRef]
- Aksu, U.; Topcu, S.; Gulcu, O.; Kalkan, K.; Tanboga, I.H. Diastolic mitral and tricuspid regurgitation in a patient with 2:1 AV block. Int. J. Cardiol. 2015, 195, 111–112. Available online: http://www.internationaljournalofcardiology.com/article/S0167527315011523/fulltext (accessed on 23 August 2022). [CrossRef]
- Ishikawa, T.; Kimura, K.; Miyazaki, N.; Tochikubo, O.; Usui, T.; Kashiwagi, M.; Ishii, M. Diastolic mitral regurgitation in patients with first-degree atrioventricular block. Pacing Clin. Electrophysiol. 1992, 15 Pt 2, 1927–1931. Available online: https://pubmed.ncbi.nlm.nih.gov/1279574/ (accessed on 23 August 2022). [CrossRef] [PubMed]
- Bay, M.; Vollenweider, P.; Marques-Vidal, P.; Schläpfer, J. Clinical factors associated with the intraventricular conduction disturbances in Swiss middle-aged adults: The CoLaus|PsyCoLaus study. Int. J. Cardiol. 2021, 327, 201–208. Available online: http://www.internationaljournalofcardiology.com/article/S0167527320342601/fulltext (accessed on 23 August 2022). [CrossRef] [PubMed]
- Francisco-Pascual, J.; Rivas-Gándara, N.; Bach-Oller, M.; Badia-Molins, C.; Maymi-Ballesteros, M.; Benito, B.; Pérez-Rodon, J.; Santos-Ortega, A.; Sambola-Ayala, A.; Roca-Luque, I.; et al. Sex-Related Differences in Patients With Unexplained Syncope and Bundle Branch Block: Lower Risk of AV Block and Lesser Need for Cardiac Pacing in Women. Front. Cardiovasc. Med. 2022, 9, 838473. Available online: http://www.ncbi.nlm.nih.gov/pubmed/35282384 (accessed on 23 August 2022). [PubMed]
- Trullàs, J.C.; Aguiló, O.; Mirò, Ó.; Díez-Manglano, J.; Carrera-Izquierdo, M.; Quesada-Simón, M.A.; Álvarez-Rocha, P.; Llorens, P.; González-Franco, Á.; Montero-Pérez-Barquero, M. Prevalence and impact on prognosis of right-bundle branch block in patients with acute heart failure: Findings from the RICA registry. Rev. Clín. Esp. 2022, 222, 272–280. [Google Scholar] [CrossRef]
- Bessem, B.B.; de Bruijn, M.M.C.; Nieuwland, W.W. Gender differences in the electrocardiogram screening of athletes. J. Sci. Med. Sport 2017, 20, 213–217. Available online: http://www.jsams.org/article/S1440244016301153/fulltext (accessed on 23 August 2022). [CrossRef]
- Rosa, S.A.; Thomas, B.; Fiarresga, A.; Papoila, A.L.; Alves, M.; Pereira, R.; Branco, G.; Cruz, I.; Rio, P.; Baquero, L.; et al. The Impact of Ischemia Assessed by Magnetic Resonance on Functional, Arrhythmic, and Imaging Features of Hypertrophic Cardiomyopathy. Front. Cardiovasc. Med. 2021, 8, 761860. Available online: https://pmc/articles/PMC8718511/ (accessed on 23 August 2022).


| Feature Predicted | Estimator | Accuracy | Precision | Recall | F1-Score | AUC from Estimator | AUC from Predictions | PR from Estimator | PR from Predictions |
|---|---|---|---|---|---|---|---|---|---|
| Mutation in MYH7 | SVC | 1.00 | 1.00 | 1.00 | 1.00 | 1.00 | 1.00 | 1.00 | 1.00 |
| Mutation in MYBPC3 | SVC | 1.00 | 1.00 | 1.00 | 1.00 | 1.00 | 1.00 | 1.00 | 1.00 |
| Mutation in TNNI3 | SVC | 1.00 | 1.00 | 1.00 | 1.00 | 1.00 | 1.00 | 1.00 | 1.00 |
| Mutation in TNNT2 | SVC | 1.00 | 1.00 | 1.00 | 1.00 | 1.00 | 1.00 | 1.00 | 1.00 |
| Fatigue | SVC | 1.00 | 1.00 | 1.00 | 1.00 | 1.00 | 1.00 | 1.00 | 1.00 |
| Dyspnea | SVC | 1.00 | 1.00 | 1.00 | 1.00 | 1.00 | 1.00 | 1.00 | 1.00 |
| Chest pain | RF | 1.00 | 1.00 | 1.00 | 1.00 | 1.00 | 1.00 | 1.00 | 1.00 |
| Palpitations | SVC | 0.97 | 0.97 | 0.83 | 0.91 | 0.92 | 0.92 | 0.86 | 0.86 |
| Syncope | SVC | 1.00 | 1.00 | 1.00 | 1.00 | 1.00 | 1.00 | 1.00 | 1.00 |
| Heart murmur | SVC | 0.89 | 0.82 | 0.76 | 0.87 | 0.88 | 0.88 | 0.88 | 0.88 |
| Pretibial edema | SVC | 1.00 | 1.00 | 1.00 | 1.00 | 1.00 | 1.00 | 1.00 | 1.00 |
| Systolic anterior motion | SVC | 0.99 | 0.98 | 0.93 | 0.97 | 0.97 | 0.97 | 0.95 | 0.95 |
| Papillary muscle abnormalities | LogReg | 1.00 | 1.00 | 1.00 | 1.00 | 1.00 | 1.00 | 1.00 | 1.00 |
| Hypokinesia | SVC | 1.00 | 1.00 | 1.00 | 1.00 | 1.00 | 1.00 | 1.00 | 1.00 |
| Atrial fibrillation | SVC | 1.00 | 1.00 | 1.00 | 1.00 | 1.00 | 1.00 | 1.00 | 1.00 |
| AV block I | SVC | 1.00 | 1.00 | 1.00 | 1.00 | 1.00 | 1.00 | 1.00 | 1.00 |
| LBBB | SVC | 1.00 | 1.00 | 1.00 | 1.00 | 1.00 | 1.00 | 1.00 | 1.00 |
| RBBB | SVC | 1.00 | 1.00 | 1.00 | 1.00 | 1.00 | 1.00 | 1.00 | 1.00 |
| Left anterior hemiblock | SVC | 1.00 | 1.00 | 1.00 | 1.00 | 1.00 | 1.00 | 1.00 | 1.00 |
| ST segment abnormalities | RF | 0.93 | 0.81 | 0.89 | 0.90 | 0.97 | 0.94 | 0.98 | 0.96 |
| Negative T wave | SVC | 0.93 | 0.88 | 0.85 | 0.92 | 0.93 | 0.93 | 0.92 | 0.92 |
Publisher’s Note: MDPI stays neutral with regard to jurisdictional claims in published maps and institutional affiliations. |
© 2022 by the authors. Licensee MDPI, Basel, Switzerland. This article is an open access article distributed under the terms and conditions of the Creative Commons Attribution (CC BY) license (https://creativecommons.org/licenses/by/4.0/).
Share and Cite
Glavaški, M.; Preveden, A.; Jakovljević, Đ.; Filipović, N.; Velicki, L. Subtypes and Mechanisms of Hypertrophic Cardiomyopathy Proposed by Machine Learning Algorithms. Life 2022, 12, 1566. https://doi.org/10.3390/life12101566
Glavaški M, Preveden A, Jakovljević Đ, Filipović N, Velicki L. Subtypes and Mechanisms of Hypertrophic Cardiomyopathy Proposed by Machine Learning Algorithms. Life. 2022; 12(10):1566. https://doi.org/10.3390/life12101566
Chicago/Turabian StyleGlavaški, Mila, Andrej Preveden, Đorđe Jakovljević, Nenad Filipović, and Lazar Velicki. 2022. "Subtypes and Mechanisms of Hypertrophic Cardiomyopathy Proposed by Machine Learning Algorithms" Life 12, no. 10: 1566. https://doi.org/10.3390/life12101566
APA StyleGlavaški, M., Preveden, A., Jakovljević, Đ., Filipović, N., & Velicki, L. (2022). Subtypes and Mechanisms of Hypertrophic Cardiomyopathy Proposed by Machine Learning Algorithms. Life, 12(10), 1566. https://doi.org/10.3390/life12101566

