Early Biomarkers Associated with P53 Signaling for Acute Radiation Injury
Abstract
1. Introduction
2. Materials and Methods
2.1. Human Peripheral Blood Sample Collection
2.2. Radiation and Culture In Vitro
2.3. RNA Extraction and QRT-PCR
2.4. Plasmid Construction and Standard Curve Drawing
2.5. Statistical Analysis
3. Results
3.1. Ionizing Radiation Induced the Expression of P53 Signaling Related Genes including DDB2, AEN, TRIAP1 and TRAF4
3.2. Time and Dose Effect Analysis of Ionizing Radiation Induced Gene Expressions
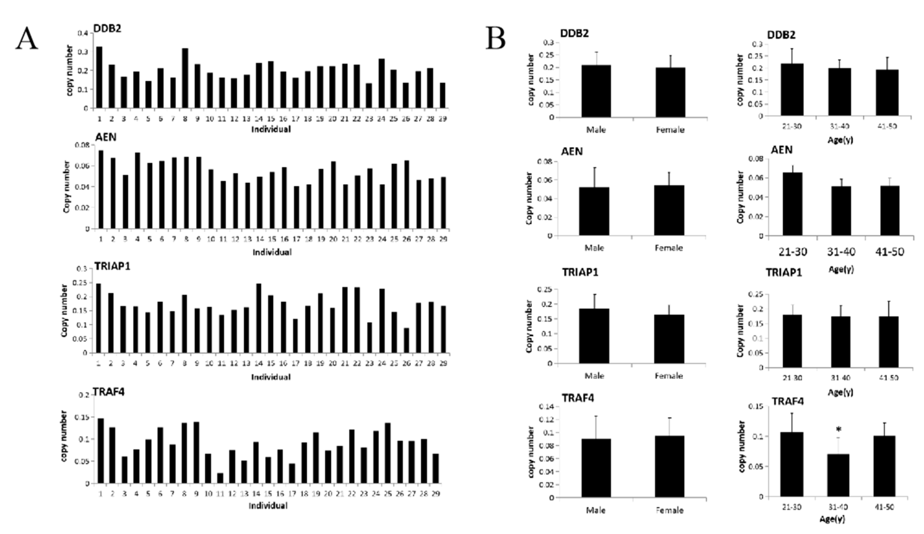
3.3. Expressions of DDB2, AEN, TRIAP1, and TRAF4 in Healthy Population
3.4. DDB2, AEN, TRIAP1, and TRAF4 Can Be Used as Early Indicators for Medical Treatment in Acute Radiation Injury
3.5. Combination of DDB2, AEN, TRIAP1, and TRAF4 Can Be Used for Quantifying Acute Dose
4. Discussion
5. Conclusions
Supplementary Materials
Author Contributions
Funding
Institutional Review Board Statement
Informed Consent Statement
Data Availability Statement
Conflicts of Interest
References
- Sullivan, J.M.; Prasanna, P.G.; Grace, M.B.; Wathen, L.K.; Wallace, R.L.; Koerner, J.F.; Coleman, C.N. Assessment of biodosimetry methods for a mass-casualty radiological incident: Medical response and management considerations. Health Phys. 2013, 105, 540–554. [Google Scholar] [CrossRef]
- Grace, M.B.; Moyer, B.R.; Prasher, J.; Cliffer, K.D.; Ramakrishnan, N.; Kaminski, J.; Coleman, C.N.; Manning, R.G.; Maidment, B.W.; Hatchett, R. Rapid radiation dose assessment for radiological public health emergencies: Roles of NIAID and BARDA. Health Phys. 2010, 98, 172–178. [Google Scholar] [CrossRef]
- Blakely, W.F.; Salter, C.A.; Prasanna, P.G. Early-response biological dosimetry-recommended countermeasure enhancements for mass-casualty radiological incidents and terrorism. Health Phys. 2005, 89, 494–504. [Google Scholar] [CrossRef]
- Singh, V.K.; Seed, T.M.; Cheema, A.K. Metabolomics-based predictive biomarkers of radiation injury and countermeasure efficacy: Current status and future perspectives. Expert Rev. Mol. Diagn. 2021, 21, 641–654. [Google Scholar] [CrossRef]
- Bertho, J.M.; Roy, L.; Souidi, M.; Benderitter, M.; Gueguen, Y.; Lataillade, J.J.; Prat, M.; Fagot, T.; De Revel, T.; Gourmelon, P. New biological indicators to evaluate and monitor radiation-induced damage: An accident case report. Radiat. Res. 2008, 169, 543–550. [Google Scholar] [CrossRef][Green Version]
- Singh, V.K.; Newman, V.L.; Romaine, P.L.; Hauer-Jensen, M.; Pollard, H.B. Use of biomarkers for assessing radiation injury and efficacy of countermeasures. Expert Rev. Mol. Diagn. 2016, 16, 65–81. [Google Scholar] [CrossRef]
- Voisin, P.; Barquinero, F.; Blakely, B.; Lindholm, C.; Lloyd, D.; Luccioni, C.; Miller, S.; Palitti, F.; Prasanna, P.G.; Stephan, G.; et al. Towards a standardization of biological dosimetry by cytogenetics. Cell Mol. Biol. (Noisy-le-grand) 2002, 48, 501–504. [Google Scholar]
- Dainiak, N.; Waselenko, J.K.; Armitage, J.O.; MacVittie, T.J.; Farese, A.M. The hematologist and radiation casualties. Hematol. Am. Soc. Hematol. Educ. Program 2003, 2003, 473–496. [Google Scholar] [CrossRef]
- Ponomarev, A.L.; George, K.; Cucinotta, F.A. Computational model of chromosome aberration yield induced by high- and low-LET radiation exposures. Radiat. Res. 2012, 177, 727–737. [Google Scholar] [CrossRef]
- Ropolo, M.; Balia, C.; Roggieri, P.; Lodi, V.; Nucci, M.C.; Violante, F.S.; Silingardi, P.; Colacci, A.; Bolognesi, C. The micronucleus assay as a biological dosimeter in hospital workers exposed to low doses of ionizing radiation. Mutat. Res. 2012, 747, 7–13. [Google Scholar] [CrossRef]
- Veremeyeva, G.; Akushevich, I.; Pochukhailova, T.; Blinova, E.; Varfolomeyeva, T.; Ploshchanskaya, O.; Khudyakova, O.; Vozilova, A.; Kozionova, O.; Akleyev, A. Long-term cellular effects in humans chronically exposed to ionizing radiation. Health Phys. 2010, 99, 337–346. [Google Scholar] [CrossRef]
- Abe, Y.; Yoshida, M.A.; Fujioka, K.; Kurosu, Y.; Ujiie, R.; Yanagi, A.; Tsuyama, N.; Miura, T.; Inaba, T.; Kamiya, K.; et al. Dose-response curves for analyzing of dicentric chromosomes and chromosome translocations following doses of 1000 mGy or less, based on irradiated peripheral blood samples from five healthy individuals. J. Radiat. Res. 2018, 59, 35–42. [Google Scholar] [CrossRef]
- Jang, M.A.; Han, E.A.; Lee, J.K.; Cho, K.H.; Shin, H.B.; Lee, Y.K. Dose Estimation Curves Following In Vitro X-ray Irradiation Using Blood From Four Healthy Korean Individuals. Ann. Lab. Med. 2019, 39, 91–95. [Google Scholar] [CrossRef]
- Thierens, H.; Vral, A. The micronucleus assay in radiation accidents. Ann. Ist Super Sanita 2009, 45, 260–264. [Google Scholar]
- Benderitter, M.; Durand, V.; Caux, C.; Voisin, P. Clearance of radiation-induced apoptotic lymphocytes: Ex vivo studies and an in vitro co-culture model. Radiat. Res. 2002, 158, 464–474. [Google Scholar] [CrossRef]
- Pandey, B.N.; Kumar, A.; Ali, M.; Mishra, K.P. Bystander effect of conditioned medium from low and high doses of gamma-irradiated human leukemic cells on normal lymphocytes and cancer cells. J. Env. Pathol. Toxicol. Oncol. 2011, 30, 333–340. [Google Scholar] [CrossRef]
- Reitsema, T.J.; Banath, J.P.; MacPhail, S.H.; Olive, P.L. Hypertonic saline enhances expression of phosphorylated histone H2AX after irradiation. Radiat. Res. 2004, 161, 402–408. [Google Scholar] [CrossRef]
- Andrievski, A.; Wilkins, R.C. The response of gamma-H2AX in human lymphocytes and lymphocytes subsets measured in whole blood cultures. Int. J. Radiat. Biol. 2009, 85, 369–376. [Google Scholar] [CrossRef]
- Wang, Z.; Hu, H.; Hu, M.; Zhang, X.; Wang, Q.; Qiao, Y.; Liu, H.; Shen, L.; Zhou, P.; Chen, Y. Ratio of gamma-H2AX level in lymphocytes to that in granulocytes detected using flow cytometry as a potential biodosimeter for radiation exposure. Radiat. Environ. Biophys. 2014, 53, 283–290. [Google Scholar] [CrossRef]
- Schuch, A.P.; Garcia, C.C.; Makita, K.; Menck, C.F. DNA damage as a biological sensor for environmental sunlight. Photochem. Photobiol. Sci. 2013, 12, 1259–1272. [Google Scholar] [CrossRef]
- Deycmar, S.; Faccin, E.; Kazimova, T.; Knobel, P.A.; Telarovic, I.; Tschanz, F.; Waller, V.; Winkler, R.; Yong, C.; Zingariello, D.; et al. The relative biological effectiveness of proton irradiation in dependence of DNA damage repair. Br. J. Radiol. 2020, 93, 20190494. [Google Scholar] [CrossRef]
- Nikitaki, Z.; Mavragani, I.V.; Laskaratou, D.A.; Gika, V.; Moskvin, V.P.; Theofilatos, K.; Vougas, K.; Stewart, R.D.; Georgakilas, A.G. Systemic mechanisms and effects of ionizing radiation: A new ‘old’ paradigm of how the bystanders and distant can become the players. Semin Cancer Biol. 2016, 37–38, 77–95. [Google Scholar] [CrossRef]
- Toulany, M.; Rodemann, H.P. Phosphatidylinositol 3-kinase/Akt signaling as a key mediator of tumor cell responsiveness to radiation. Semin. Cancer Biol. 2015, 35, 180–190. [Google Scholar] [CrossRef]
- Santivasi, W.L.; Xia, F. Ionizing radiation-induced DNA damage, response, and repair. Antioxid. Redox Signal. 2014, 21, 251–259. [Google Scholar] [CrossRef]
- Sanders, J.T.; Freeman, T.F.; Xu, Y.; Golloshi, R.; Stallard, M.A.; Hill, A.M.; San Martin, R.; Balajee, A.S.; McCord, R.P. Radiation-induced DNA damage and repair effects on 3D genome organization. Nat. Commun. 2020, 11, 6178. [Google Scholar] [CrossRef]
- Ditch, S.; Paull, T.T. The ATM protein kinase and cellular redox signaling: Beyond the DNA damage response. Trends Biochem Sci. 2012, 37, 15–22. [Google Scholar] [CrossRef]
- Ragunathan, K.; Upfold, N.L.E.; Oksenych, V. Interaction between Fibroblasts and Immune Cells Following DNA Damage Induced by Ionizing Radiation. Int. J. Mol. Sci. 2020, 21, 8635. [Google Scholar] [CrossRef]
- Bauer, M.; Goldstein, M.; Christmann, M.; Becker, H.; Heylmann, D.; Kaina, B. Human monocytes are severely impaired in base and DNA double-strand break repair that renders them vulnerable to oxidative stress. Proc. Natl. Acad. Sci. USA 2011, 108, 21105–21110. [Google Scholar] [CrossRef]
- Sun, X.; Liu, M.; Bai, J.; Xu, J.; Zhu, C.; Dong, J.; Chen, C. ATR kinase activity promotes antibody class switch recombination in B cells through cell cycle regulation without suppressing DSB resection and microhomology usage. J. Leukoc. Biol. 2021, 110, 1101–1112. [Google Scholar] [CrossRef]
- Zhao, K.; Wang, X.; Xue, X.; Li, L.; Hu, Y. A long noncoding RNA sensitizes genotoxic treatment by attenuating ATM activation and homologous recombination repair in cancers. PLoS Biol. 2020, 18, e3000666. [Google Scholar] [CrossRef]
- Matsuoka, S.; Rotman, G.; Ogawa, A.; Shiloh, Y.; Tamai, K.; Elledge, S.J. Ataxia telangiectasia-mutated phosphorylates Chk2 in vivo and in vitro. Proc. Natl. Acad. Sci. USA 2000, 97, 10389–10394. [Google Scholar] [CrossRef]
- Vousden, K.H.; Prives, C. Blinded by the Light: The Growing Complexity of p53. Cell 2009, 137, 413–431. [Google Scholar] [CrossRef]
- Nakano, K.; Vousden, K.H. PUMA, a novel proapoptotic gene, is induced by p53. Mol. Cell 2001, 7, 683–694. [Google Scholar] [CrossRef]
- Zhidong, W.; Liping, S.; Zhongwu, L.; Xueqing, Z.; Xiaoxin, L.; Ying, C. Screening of biomarker for radiation injury using microassay. J. Radiat. Res. Radiat. Process. 2014, 32, 35–41. [Google Scholar]
- Han, C.; Zhao, R.; Kroger, J.; He, J.; Wani, G.; Wang, Q.E.; Wani, A.A. UV radiation-induced SUMOylation of DDB2 regulates nucleotide excision repair. Carcinogenesis 2017, 38, 976–985. [Google Scholar] [CrossRef]
- Visweswaran, S.; Joseph, S.; SVH, O.A.; Jose, M.T.; Perumal, V. DNA damage and gene expression changes in patients exposed to low-dose X-radiation during neuro-interventional radiology procedures. Mutat. Res. 2019, 844, 54–61. [Google Scholar] [CrossRef]
- Stoyanova, T.; Roy, N.; Kopanja, D.; Raychaudhuri, P.; Bagchi, S. DDB2 (damaged-DNA binding protein 2) in nucleotide excision repair and DNA damage response. Cell Cycle 2009, 8, 4067–4071. [Google Scholar] [CrossRef]
- Zou, N.; Xie, G.; Cui, T.; Srivastava, A.K.; Qu, M.; Yang, L.; Wei, S.; Zheng, Y.; Wang, Q.E. DDB2 increases radioresistance of NSCLC cells by enhancing DNA damage responses. Tumour. Biol. 2016, 37, 14183–14191. [Google Scholar] [CrossRef]
- Kannan, K.; Amariglio, N.; Rechavi, G.; Jakob-Hirsch, J.; Kela, I.; Kaminski, N.; Getz, G.; Domany, E.; Givol, D. DNA microarrays identification of primary and secondary target genes regulated by p53. Oncogene 2001, 20, 2225–2234. [Google Scholar] [CrossRef]
- Drigeard Desgarnier, M.C.; Rochette, P.J. Enhancement of UVB-induced DNA damage repair after a chronic low-dose UVB pre-stimulation. DNA Repair 2018, 63, 56–62. [Google Scholar] [CrossRef]
- Kawase, T.; Ichikawa, H.; Ohta, T.; Nozaki, N.; Tashiro, F.; Ohki, R.; Taya, Y. p53 target gene AEN is a nuclear exonuclease required for p53-dependent apoptosis. Oncogene 2008, 27, 3797–3810. [Google Scholar] [CrossRef]
- Andrysik, Z.; Kim, J.; Tan, A.C.; Espinosa, J.M. A genetic screen identifies TCF3/E2A and TRIAP1 as pathway-specific regulators of the cellular response to p53 activation. Cell Rep. 2013, 3, 1346–1354. [Google Scholar] [CrossRef]
- Potting, C.; Tatsuta, T.; Konig, T.; Haag, M.; Wai, T.; Aaltonen, M.J.; Langer, T. TRIAP1/PRELI complexes prevent apoptosis by mediating intramitochondrial transport of phosphatidic acid. Cell Metab. 2013, 18, 287–295. [Google Scholar] [CrossRef]
- Frigerio, M.; Passeri, E.; de Filippis, T.; Rusconi, D.; Valaperta, R.; Carminati, M.; Donnangelo, A.; Costa, E.; Persani, L.; Finelli, P.; et al. SNPs and real-time quantitative PCR method for constitutional allelic copy number determination, the VPREB1 marker case. BMC Med. Genet. 2011, 12, 61. [Google Scholar] [CrossRef]
- He, L.; Chinnery, P.F.; Durham, S.E.; Blakely, E.L.; Wardell, T.M.; Borthwick, G.M.; Taylor, R.W.; Turnbull, D.M. Detection and quantification of mitochondrial DNA deletions in individual cells by real-time PCR. Nucleic Acids Res. 2002, 30, e68. [Google Scholar] [CrossRef]
- Camilleri-Broet, S.; Cremer, I.; Marmey, B.; Comperat, E.; Viguie, F.; Audouin, J.; Rio, M.C.; Fridman, W.H.; Sautes-Fridman, C.; Regnier, C.H. TRAF4 overexpression is a common characteristic of human carcinomas. Oncogene 2007, 26, 142–147. [Google Scholar] [CrossRef]
- Li, P.C.; Hu, D.D.; Jia, W.; Hu, B. Expression and Association of Tumor Necrosis Factor Receptor Associated Factor 4 (TRAF4) in Esophageal Squamous Cell Carcinoma. Med. Sci. Monit. 2019, 25, 2368–2376. [Google Scholar] [CrossRef]
- Li, W.; Peng, C.; Lee, M.H.; Lim, D.; Zhu, F.; Fu, Y.; Yang, G.; Sheng, Y.; Xiao, L.; Dong, X.; et al. TRAF4 is a critical molecule for Akt activation in lung cancer. Cancer Res. 2013, 73, 6938–6950. [Google Scholar] [CrossRef]
- Gu, X.; Coates, P.J.; MacCallum, S.F.; Boldrup, L.; Sjostrom, B.; Nylander, K. TRAF4 is potently induced by TAp63 isoforms and localised according to differentiation in SCCHN. Cancer Biol. Ther. 2007, 6, 1986–1990. [Google Scholar] [CrossRef]
- Mandriani, B.; Castellana, S.; Rinaldi, C.; Manzoni, M.; Venuto, S.; Rodriguez-Aznar, E.; Galceran, J.; Nieto, M.A.; Borsani, G.; Monti, E.; et al. Identification of p53-target genes in Danio rerio. Sci. Rep. 2016, 6, 32474. [Google Scholar] [CrossRef]
- Sax, J.K.; El-Deiry, W.S. Identification and characterization of the cytoplasmic protein TRAF4 as a p53-regulated proapoptotic gene. J. Biol. Chem. 2003, 278, 36435–36444. [Google Scholar] [CrossRef]
- Shi, C.; Rao, C.; Sun, C.; Yu, L.; Zhou, X.; Hua, D.; Wang, R.; Luo, W.; Jiang, Z.; Zhou, J.; et al. miR-29s function as tumor suppressors in gliomas by targeting TRAF4 and predict patient prognosis. Cell Death Dis. 2018, 9, 1078. [Google Scholar] [CrossRef]
- Deng, C.C.; Zhu, D.H.; Chen, Y.J.; Huang, T.Y.; Peng, Y.; Liu, S.Y.; Lu, P.; Xue, Y.H.; Xu, Y.P.; Yang, B.; et al. TRAF4 Promotes Fibroblast Proliferation in Keloids by Destabilizing p53 via Interacting with the Deubiquitinase USP10. J. Investig. Dermatol. 2019, 139, 1925–1935.e5. [Google Scholar] [CrossRef]
- Shen, W.; Zhang, Z.; Ma, J.; Lu, D.; Lyu, L. The Ubiquitin Proteasome System and Skin Fibrosis. Mol. Diagn Ther. 2021, 25, 29–40. [Google Scholar] [CrossRef]
- Goans, R.E.; Iddins, C.J.; Christensen, D.; Wiley, A.; Dainiak, N. Appearance of pseudo-Pelger Huet anomaly after accidental exposure to ionizing radiation in vivo. Health Phys. 2015, 108, 303–307. [Google Scholar] [CrossRef]
- Azizova, T.V.; Osovets, S.V.; Day, R.D.; Druzhinina, M.B.; Sumina, M.V.; Pesternikova, V.S.; Teplyakov, I.I.; Zhang, A.; Kuniak, M.; Vasilenko, E.K.; et al. Predictability of acute radiation injury severity. Health Phys. 2008, 94, 255–263. [Google Scholar] [CrossRef]
- Horn, S.; Barnard, S.; Rothkamm, K. Gamma-H2AX-based dose estimation for whole and partial body radiation exposure. PLoS ONE 2011, 6, e25113. [Google Scholar] [CrossRef]
- Ivashkevich, A.; Redon, C.E.; Nakamura, A.J.; Martin, R.F.; Martin, O.A. Use of the gamma-H2AX assay to monitor DNA damage and repair in translational cancer research. Cancer Lett. 2012, 327, 123–133. [Google Scholar] [CrossRef]
- Singh, V.K.; Pollard, H.B. Ionizing radiation-induced altered microRNA expression as biomarkers for assessing acute radiation injury. Expert Rev. Mol. Diagn. 2017, 17, 871–874. [Google Scholar] [CrossRef]
- Tomasik, B.; Chalubinska-Fendler, J.; Chowdhury, D.; Fendler, W. Potential of serum microRNAs as biomarkers of radiation injury and tools for individualization of radiotherapy. Transl Res. 2018, 201, 71–83. [Google Scholar] [CrossRef]
- Burnett, A.F.; Biju, P.G.; Lui, H.; Hauer-Jensen, M. Oral interleukin 11 as a countermeasure to lethal total-body irradiation in a murine model. Radiat. Res. 2013, 180, 595–602. [Google Scholar] [CrossRef][Green Version]
- Pawar, S.A.; Shao, L.; Chang, J.; Wang, W.; Pathak, R.; Zhu, X.; Wang, J.; Hendrickson, H.; Boerma, M.; Sterneck, E.; et al. C/EBPdelta deficiency sensitizes mice to ionizing radiation-induced hematopoietic and intestinal injury. PLoS ONE 2014, 9, e94967. [Google Scholar] [CrossRef]
- Herodin, F.; Richard, S.; Grenier, N.; Arvers, P.; Gerome, P.; Bauge, S.; Denis, J.; Chaussard, H.; Gouard, S.; Mayol, J.F.; et al. Assessment of total- and partial-body irradiation in a baboon model: Preliminary results of a kinetic study including clinical, physical, and biological parameters. Health Phys. 2012, 103, 143–149. [Google Scholar] [CrossRef]
- Vallard, A.; Rancoule, C.; Guy, J.B.; Espenel, S.; Sauvaigo, S.; Rodriguez-Lafrasse, C.; Magne, N. Biomarkers of radiation-induced DNA repair processes. Bull. Cancer 2017, 104, 981–987. [Google Scholar] [CrossRef]
- Li, X.H.; Ha, C.T.; Fu, D.; Landauer, M.R.; Ghosh, S.P.; Xiao, M. Delta-tocotrienol suppresses radiation-induced microRNA-30 and protects mice and human CD34 + cells from radiation injury. PLoS ONE 2015, 10, e0122258. [Google Scholar] [CrossRef]
- Kabacik, S.; Manning, G.; Raffy, C.; Bouffler, S.; Badie, C. Time, dose and ataxia telangiectasia mutated (ATM) status dependency of coding and noncoding RNA expression after ionizing radiation exposure. Radiat. Res. 2015, 183, 325–337. [Google Scholar] [CrossRef]
- Nie, J.; Peng, C.; Pei, W.; Zhu, W.; Zhang, S.; Cao, H.; Qi, X.; Tong, J.; Jiao, Y. A novel role of long non-coding RNAs in response to X-ray irradiation. Toxicol. In Vitro 2015, 30, 536–544. [Google Scholar] [CrossRef]





| Item Gene | μ | σ | CV | 95% CI | FC(bg) |
|---|---|---|---|---|---|
| DDB2 | 0.196 | 0.038 | 0.194 | 0.120~0.271 | 2.264 |
| AEN | 0.051 | 0.014 | 0.275 | 0.023~0.079 | 3.435 |
| TRIAP1 | 0.176 | 0.040 | 0.228 | 0.096~0.256 | 2.677 |
| TRAF4 | 0.092 | 0.031 | 0.336 | 0.030~0.154 | 5.106 |
| Item Gene | 2 h | 4 h | 8 h | 12 h | 24 h | |||||
|---|---|---|---|---|---|---|---|---|---|---|
| FC | Copies | FC | Copies | FC | Copies | FC | Copies | FC | Copies | |
| DDB2 | - | - | 2.26 | 0.44 | 8.16 | 1.6 | 5.37 | 1.05 | 7.1 | 1.39 |
| AEN | 3.44 | 0.18 | 7.01 | 0.36 | 10.7 | 0.54 | 6.52 | 0.33 | - | - |
| TRIAP1 | - | - | 3.65 | 0.64 | 5.92 | 1.04 | 5.12 | 0.9 | 3.69 | 0.84 |
| TRAF4 | - | - | 5.63 | 0.52 | - | - | - | - | - | - |
| Item Gene | 2 h | 4 h | 8 h | 12 h | 24 h | |||||
|---|---|---|---|---|---|---|---|---|---|---|
| FC | Copies | FC | Copies | FC | Copies | FC | Copies | FC | Copies | |
| DDB2 | - | - | 2.97 | 0.58 | 12.4 | 2.42 | 9.09 | 1.78 | 7.99 | 1.56 |
| AEN | 4.86 | 0.25 | 9.29 | 0.47 | - | - | 12.5 | 0.64 | - | - |
| TRIAP1 | - | - | - | - | 9.35 | 1.64 | 6.32 | 1.11 | 4.85 | 0.85 |
| TRAF4 | - | - | 7.33 | 0.68 | - | - | - | - | - | - |
| Item Gene | 2 h | 4 h | 8 h | 12 h | 24 h | |||||
|---|---|---|---|---|---|---|---|---|---|---|
| FC | Copies | FC | Copies | FC | Copies | FC | Copies | FC | Copies | |
| DDB2 | - | - | 3.58 | 0.70 | 19.17 | 3.75 | - | - | - | - |
| AEN | 7.97 | 0.41 | 9.75 | 0.50 | - | - | - | - | - | - |
| TRIAP1 | - | - | - | - | 10.44 | 1.84 | 7.13 | 1.25 | 5.83 | 1.33 |
| TRAF4 | - | - | - | - | 5.41 | 0.50 | - | - | - | - |
| Dose Range | Sample Collection (TPR) | Sample Processing | Detection and Analysis | Total Time Spent | Time to Get Evaluated Dose (TPR) | |
|---|---|---|---|---|---|---|
| Lymphocyte count analysis | 0.5 Gy~10 Gy | 12 h-25 d | Sample collection 2–3 min | 2 min | 5 min | 12–25 d |
| γ-H2AX analysis | 0.05 Gy~5–6 Gy | 1–2 h | Irrigation, incubation and fixation (2 h) Block and incubation (2 h) | Automatically | 5–6 h | 7–8 h |
| Lymphocyte chromosome aberration analysis | 0.1 Gy~5–6 Gy | 48 h-Several decades | Cell culture (48 h) Incubation and fixation (3 h) | Automatically | 2–3 days | 3–4 days |
| Combination of P53-related genes | 0.5 Gy~10 Gy | 2–24 h | RNA extraction and reverse transcription(1.5 h) | RT-PCR 1.5 h | 3 h | 5 h–27 h |
Publisher’s Note: MDPI stays neutral with regard to jurisdictional claims in published maps and institutional affiliations. |
© 2022 by the authors. Licensee MDPI, Basel, Switzerland. This article is an open access article distributed under the terms and conditions of the Creative Commons Attribution (CC BY) license (https://creativecommons.org/licenses/by/4.0/).
Share and Cite
Li, W.; Zhou, S.; Jia, M.; Li, X.; Li, L.; Wang, Q.; Qi, Z.; Zhou, P.; Li, Y.; Wang, Z. Early Biomarkers Associated with P53 Signaling for Acute Radiation Injury. Life 2022, 12, 99. https://doi.org/10.3390/life12010099
Li W, Zhou S, Jia M, Li X, Li L, Wang Q, Qi Z, Zhou P, Li Y, Wang Z. Early Biomarkers Associated with P53 Signaling for Acute Radiation Injury. Life. 2022; 12(1):99. https://doi.org/10.3390/life12010099
Chicago/Turabian StyleLi, Weihong, Shixiang Zhou, Meng Jia, Xiaoxin Li, Lin Li, Qi Wang, Zhenhua Qi, Pingkun Zhou, Yaqiong Li, and Zhidong Wang. 2022. "Early Biomarkers Associated with P53 Signaling for Acute Radiation Injury" Life 12, no. 1: 99. https://doi.org/10.3390/life12010099
APA StyleLi, W., Zhou, S., Jia, M., Li, X., Li, L., Wang, Q., Qi, Z., Zhou, P., Li, Y., & Wang, Z. (2022). Early Biomarkers Associated with P53 Signaling for Acute Radiation Injury. Life, 12(1), 99. https://doi.org/10.3390/life12010099
