Comprehensive Analysis of SFRP Family Members Prognostic Value and Immune Infiltration in Gastric Cancer
Abstract
1. Introduction
2. Materials and Methods
2.1. Oncomine
2.2. GEPIA
2.3. UALCAN
2.4. Kaplan–Meier Plotter
2.5. MethSurv
2.6. cBioPortal
2.7. STRING
2.8. GeneMANIA
2.9. DAVID
2.10. TIMER
3. Results
3.1. Differential mRNA Expression Levels of SFRPs in Patients with GC
3.2. Relationship between SFRPs Expression Levels and Cancer Stages, Subtypes of GC Patients
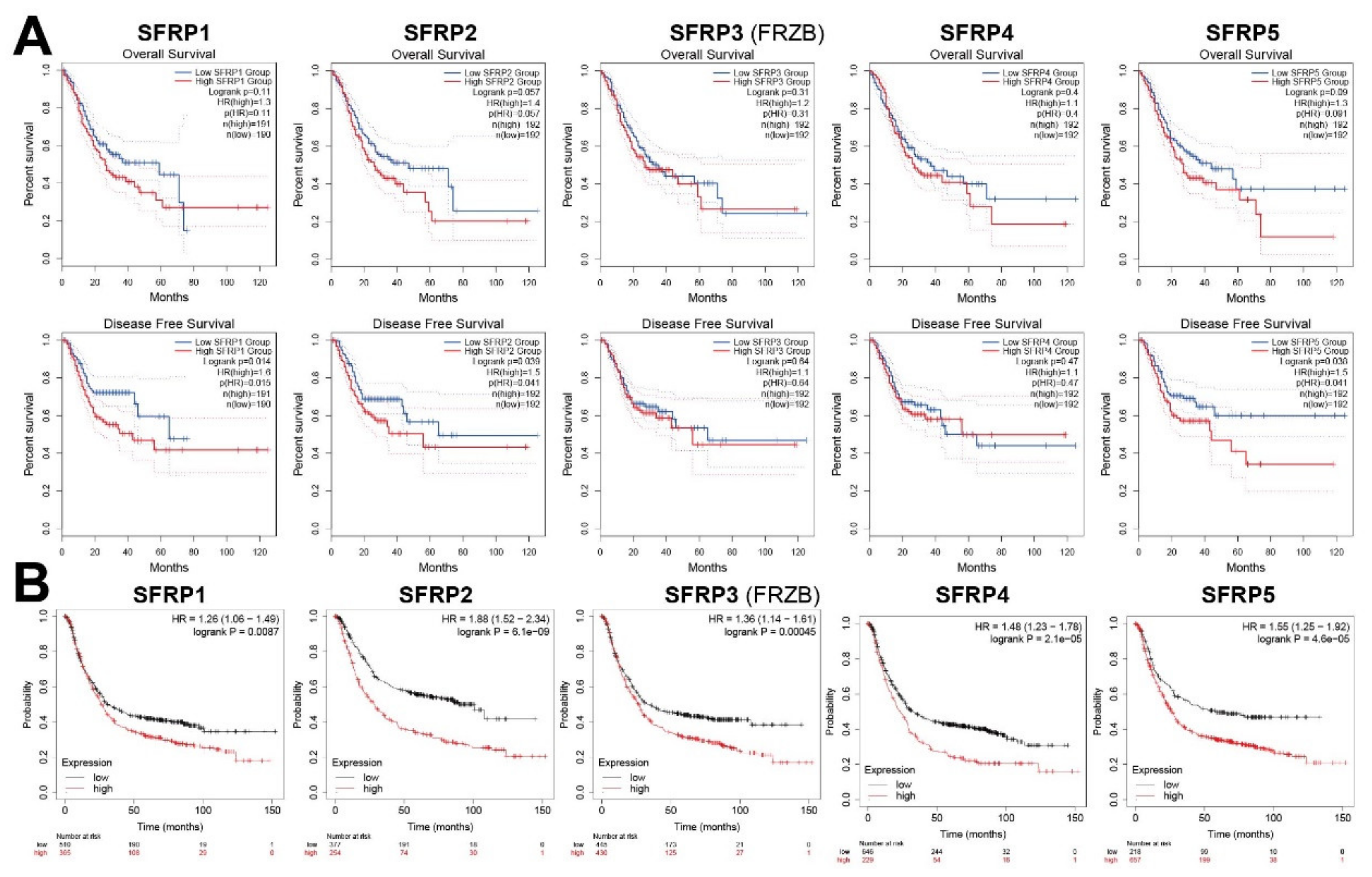
3.3. Prognostic Value of SFRPs mRNA Expression in Patients with GC
3.4. Genetic Alteration and Interaction Analyses of SFRPs in Patients with GC
3.5. Go Enrichment and KEGG Pathway Analysis of SFRPs
3.6. Immune Cell Infiltration of SFRPs in Patients with GC
4. Discussion
5. Conclusions
Supplementary Materials
Author Contributions
Funding
Institutional Review Board Statement
Informed Consent Statement
Data Availability Statement
Conflicts of Interest
References
- Bray, F.; Ferlay, J.; Soerjomataram, I.; Siegel, R.L.; Torre, L.A.; Jemal, A. Global cancer statistics 2018: GLOBOCAN estimates of incidence and mortality worldwide for 36 cancers in 185 countries. CA Cancer J. Clin. 2018, 68, 394–424. [Google Scholar] [CrossRef]
- Tan, Z. Recent Advances in the Surgical Treatment of Advanced Gastric Cancer: A Review. Med. Sci. Monit. 2019, 25, 3537–3541. [Google Scholar] [CrossRef]
- Shi, Y.; He, B.; You, L.; Jablons, D.M. Roles of secreted frizzled-related proteins in cancer. Acta Pharmacol. Sin. 2007, 28, 1499–1504. [Google Scholar] [CrossRef]
- Yin, P.; Wang, W.; Zhang, Z.; Bai, Y.; Gao, J.; Zhao, C. Wnt signaling in human and mouse breast cancer: Focusing on Wnt ligands, receptors and antagonists. Cancer Sci. 2018, 109, 3368–3375. [Google Scholar] [CrossRef] [PubMed]
- Yu, J.; Xie, Y.; Li, M.; Zhou, F.; Zhong, Z.; Liu, Y.; Wang, F.; Qi, J. Association between SFRP promoter hypermethylation and different types of cancer: A systematic review and meta-analysis. Oncol. Lett. 2019, 18, 3481–3492. [Google Scholar] [CrossRef] [PubMed]
- Rattner, A.; Hsieh, J.C.; Smallwood, P.M.; Gilbert, D.J.; Copeland, N.G.; Jenkins, N.A.; Nathans, J. A family of secreted proteins contains homology to the cysteine-rich ligand-binding domain of frizzled receptors. Proc. Natl. Acad. Sci. USA 1997, 94, 2859–2863. [Google Scholar] [CrossRef] [PubMed]
- Galli, L.M.; Barnes, T.; Cheng, T.; Acosta, L.; Anglade, A.; Willert, K.; Nusse, R.; Burrus, L.W. Differential inhibition of Wnt-3a by Sfrp-1, Sfrp-2, and Sfrp-3. Dev. Dyn. 2006, 235, 681–690. [Google Scholar] [CrossRef] [PubMed]
- Martin-Manso, G.; Calzada, M.J.; Chuman, Y.; Sipes, J.M.; Xavier, C.P.; Wolf, V.; Kuznetsova, S.A.; Rubin, J.S.; Roberts, D.D. sFRP-1 binds via its netrin-related motif to the N-module of thrombospondin-1 and blocks thrombospondin-1 stimulation of MDA-MB-231 breast carcinoma cell adhesion and migration. Arch Biochem. Biophys. 2011, 509, 147–156. [Google Scholar] [CrossRef]
- Surana, R.; Sikka, S.; Cai, W.; Shin, E.M.; Warrier, S.R.; Tan, H.J.; Arfuso, F.; Fox, S.A.; Dharmarajan, A.M.; Kumar, A.P. Secreted frizzled related proteins: Implications in cancers. Biochim. Biophys. Acta 2014, 1845, 53–65. [Google Scholar] [CrossRef]
- Rhodes, D.R.; Yu, J.; Shanker, K.; Deshpande, N.; Varambally, R.; Ghosh, D.; Barrette, T.; Pandey, A.; Chinnaiyan, A.M. ONCOMINE: A cancer microarray database and integrated data-mining platform. Neoplasia 2004, 6, 1–6. [Google Scholar] [CrossRef]
- Tang, Z.; Li, C.; Kang, B.; Gao, G.; Li, C.; Zhang, Z. GEPIA: A web server for cancer and normal gene expression profiling and interactive analyses. Nucleic Acids Res. 2017, 45, W98–W102. [Google Scholar] [CrossRef] [PubMed]
- Chandrashekar, D.S.; Bashel, B.; Balasubramanya, S.A.H.; Creighton, C.J.; Ponce-Rodriguez, I.; Chakravarthi, B.; Varambally, S. UALCAN: A Portal for Facilitating Tumor Subgroup Gene Expression and Survival Analyses. Neoplasia 2017, 19, 649–658. [Google Scholar] [CrossRef] [PubMed]
- Gyorffy, B.; Surowiak, P.; Budczies, J.; Lanczky, A. Online Survival Analysis Software to Assess the Prognostic Value of Biomarkers Using Transcriptomic Data in Non-Small-Cell Lung Cancer. PLoS ONE 2014, 9, e82241. [Google Scholar] [CrossRef] [PubMed]
- Modhukur, V.; Iljasenko, T.; Metsalu, T.; Lokk, K.; Laisk-Podar, T.; Vilo, J. MethSurv: A web tool to perform multivariable survival analysis using DNA methylation data. Epigenomics 2018, 10, 277–288. [Google Scholar] [CrossRef]
- Gao, J.J.; Aksoy, B.A.; Dogrusoz, U.; Dresdner, G.; Gross, B.; Sumer, S.O.; Sun, Y.C.; Jacobsen, A.; Sinha, R.; Larsson, E.; et al. Integrative Analysis of Complex Cancer Genomics and Clinical Profiles Using the cBioPortal. Sci. Signal 2013, 6, l1. [Google Scholar] [CrossRef]
- Szklarczyk, D.; Gable, A.L.; Lyon, D.; Junge, A.; Wyder, S.; Huerta-Cepas, J.; Simonovic, M.; Doncheva, N.T.; Morris, J.H.; Bork, P.; et al. STRING v11: Protein-protein association networks with increased coverage, supporting functional discovery in genome-wide experimental datasets. Nucleic Acids Res. 2019, 47, D607–D613. [Google Scholar] [CrossRef]
- Vlasblom, J.; Zuberi, K.; Rodriguez, H.; Arnold, R.; Gagarinova, A.; Deineko, V.; Kumar, A.; Leung, E.; Rizzolo, K.; Samanfar, B.; et al. Novel function discovery with GeneMANIA: A new integrated resource for gene function prediction in Escherichia coli. Bioinformatics 2015, 31, 306–310. [Google Scholar] [CrossRef]
- Huang, D.W.; Sherman, B.T.; Lempicki, R.A. Systematic and integrative analysis of large gene lists using DAVID bioinformatics resources. Nat. Protoc. 2009, 4, 44–57. [Google Scholar] [CrossRef]
- Huang, D.W.; Sherman, B.T.; Lempicki, R.A. Bioinformatics enrichment tools: Paths toward the comprehensive functional analysis of large gene lists. Nucleic Acids Res. 2009, 37, 1–13. [Google Scholar] [CrossRef]
- Li, T.W.; Fan, J.Y.; Wang, B.B.; Traugh, N.; Chen, Q.M.; Liu, J.S.; Li, B.; Liu, X.S. TIMER: A Web Server for Comprehensive Analysis of Tumor-Infiltrating Immune Cells. Cancer Res. 2017, 77, E108–E110. [Google Scholar] [CrossRef]
- Chen, X.; Leung, S.Y.; Yuen, S.T.; Chu, K.M.; Ji, J.F.; Li, R.; Chan, A.S.Y.; Law, S.; Troyanskaya, O.G.; Wong, J.; et al. Variation in gene expression patterns in human gastric cancers. Mol. Biol. Cell 2003, 14, 3208–3215. [Google Scholar] [CrossRef]
- Forster, S.; Gretschel, S.; Jons, T.; Yashiro, M.; Kemmner, W. THBS4, a novel stromal molecule of diffuse-type gastric adenocarcinomas, identified by transcriptome-wide expression profiling. Modern Pathol. 2011, 24, 1390–1403. [Google Scholar] [CrossRef]
- Wang, Q.; Wen, Y.G.; Li, D.P.; Xia, J.; Zhou, C.Z.; Yan, D.W.; Tang, H.M.; Peng, Z.H. Upregulated INHBA expression is associated with poor survival in gastric cancer. Med. Oncol. 2012, 29, 77–83. [Google Scholar] [CrossRef]
- Cho, J.Y.; Lim, J.Y.; Cheong, J.H.; Park, Y.Y.; Yoon, S.L.; Kim, S.M.; Kim, S.B.; Kim, H.; Hong, S.W.; Park, Y.N.; et al. Gene Expression Signature-Based Prognostic Risk Score in Gastric Cancer. Clin. Cancer Res. 2011, 17, 1850–1857. [Google Scholar] [CrossRef] [PubMed]
- Cui, J.A.; Chen, Y.B.; Chou, W.C.; Sun, L.K.; Chen, L.; Suo, J.A.; Ni, Z.H.; Zhang, M.; Kong, X.X.; Hoffman, L.L.; et al. An integrated transcriptomic and computational analysis for biomarker identification in gastric cancer. Nucleic Acids Res. 2011, 39, 1197–1207. [Google Scholar] [CrossRef] [PubMed]
- De Oliveira, L.A.; Oshima, C.T.F.; Soffner, P.A.; Silva, M.D.; Lins, R.R.; Malinverni, A.C.D.; Waisberg, J. The Canonical Wnt Pathway in Gastric Carcinoma. ABCD Arq. Bras. Cir. Dig. 2019, 32, e1414. [Google Scholar] [CrossRef] [PubMed]
- Liu, Y.; Zhou, Q.; Zhou, D.; Huang, C.; Meng, X.; Li, J. Secreted frizzled-related protein 2-mediated cancer events: Friend or foe? Pharmacol. Rep. 2017, 69, 403–408. [Google Scholar] [CrossRef] [PubMed]
- Xiao, C.; Wang, L.; Zhu, L.; Zhang, C.; Zhou, J. Secreted frizzledrelated protein 2 is epigenetically silenced and functions as a tumor suppressor in oral squamous cell carcinoma. Mol. Med. Rep. 2014, 10, 2293–2298. [Google Scholar] [CrossRef] [PubMed]
- Lin, H.H.; Feng, W.C.; Lu, L.C.; Shao, Y.Y.; Hsu, C.H.; Cheng, A.L. Inhibition of the Wnt/beta-catenin signaling pathway improves the anti-tumor effects of sorafenib against hepatocellular carcinoma. Cancer Lett. 2016, 381, 58–66. [Google Scholar] [CrossRef]
- Saini, S.; Liu, J.; Yamamura, S.; Majid, S.; Kawakami, K.; Hirata, H.; Dahiya, R. Functional significance of secreted Frizzled-related protein 1 in metastatic renal cell carcinomas. Cancer Res. 2009, 69, 6815–6822. [Google Scholar] [CrossRef] [PubMed]
- Yamamura, S.; Kawakami, K.; Hirata, H.; Ueno, K.; Saini, S.; Majid, S.; Dahiya, R. Oncogenic functions of secreted Frizzled-related protein 2 in human renal cancer. Mol. Cancer Ther. 2010, 9, 1680–1687. [Google Scholar] [CrossRef] [PubMed]
- Baharudin, R.; Tieng, F.Y.F.; Lee, L.H.; Ab Mutalib, N.S. Epigenetics of SFRP1: The Dual Roles in Human Cancers. Cancers 2020, 12, 445. [Google Scholar] [CrossRef] [PubMed]
- Lin, Y.W.; Shih, Y.L.; Lien, G.S.; Suk, F.M.; Hsieh, C.B.; Yan, M.D. Promoter methylation of SFRP3 is frequent in hepatocellular carcinoma. Dis. Markers 2014, 2014, 351863. [Google Scholar] [CrossRef]
- Pawar, N.M.; Rao, P. Secreted frizzled related protein 4 (sFRP4) update: A brief review. Cell Signal 2018, 45, 63–70. [Google Scholar] [CrossRef]
- Pohl, S.; Scott, R.; Arfuso, F.; Perumal, V.; Dharmarajan, A. Secreted frizzled-related protein 4 and its implications in cancer and apoptosis. Tumor Biol. 2015, 36, 143–152. [Google Scholar] [CrossRef] [PubMed]
- Yang, M.W.; Tao, L.Y.; Yang, J.Y.; Jiang, Y.S.; Fu, X.L.; Liu, W.; Huo, Y.M.; Li, J.; Zhang, J.F.; Hua, R.; et al. SFRP4 is a prognostic marker and correlated with Treg cell infiltration in pancreatic ductal adenocarcinoma. Am. J. Cancer Res. 2019, 9, 363–377. [Google Scholar]
- Xie, G.; Ke, Q.; Ji, Y.Z.; Wang, A.Q.; Jing, M.; Zou, L.L. FGFR1 is an independent prognostic factor and can be regulated by miR-497 in gastric cancer progression. Braz. J. Med. Biol. Res. 2019, 52, e7816. [Google Scholar] [CrossRef] [PubMed]






| Types of GC versus Normal | Fold Change | p-Value | t-Test | References | |
|---|---|---|---|---|---|
| SFRP1 | Diffuse Gastric Adenocarcinoma | 2.488 | 4.79 × 10−5 | 5.003 | Chen Gastric [21] |
| Diffuse Gastric Adenocarcinoma | 12.858 | 3.47 × 10−5 | 4.54 | Forster Gastric [22] | |
| SFRP2 | Gastric Cancer | 9.956 | 1.78 × 10−5 | 5.019 | Wang Gastric [23] |
| Diffuse Gastric Adenocarcinoma | 10.073 | 7.00 × 10−6 | 4.982 | Forster Gastric [22] | |
| SFRP3 | Diffuse Gastric Adenocarcinoma | 5.896 | 3.95 × 10−7 | 5.977 | Forster Gastric [22] |
| SFRP4 | Diffuse Gastric Adenocarcinoma | 4.814 | 5.75 × 10−10 | 8.398 | Cho Gastric [24] |
| Gastric Intestinal Type Adenocarcinoma | 3.437 | 7.77 × 10−6 | 5.637 | Cho Gastric 2 [24] | |
| Diffuse Gastric Adenocarcinoma | 5.36 | 2.43 × 10−6 | 7.716 | Chen Gastric [21] | |
| Gastric Intestinal Type Adenocarcinoma | 3.559 | 1.93 × 10−18 | 11.327 | Chen Gastric 2 [21] | |
| Gastric Cancer | 3.423 | 3.74 × 10−7 | 4.173 | Cui Gastric [25] | |
| Diffuse Gastric Adenocarcinoma | 8.758 | 4.90 × 10−5 | 4.316 | Forster Gastric [22] |
| coef | HR | 95% CI_l | 95% CI_u | p-Value | Sig. | |
|---|---|---|---|---|---|---|
| B cell | 4.041 | 56.862 | 0.936 | 3453.136 | 0.054 | |
| CD8 T cell | −1.924 | 0.146 | 0.009 | 2.405 | 0.178 | |
| CD4 T cell | −4.756 | 0.009 | 0 | 0.808 | 0.04 | * |
| Macrophage | 4.655 | 105.108 | 2.667 | 4141.972 | 0.013 | * |
| Neutrophil | 0.608 | 1.837 | 0.006 | 519.318 | 0.833 | |
| Dendritic | 1.055 | 2.871 | 0.22 | 37.5 | 0.421 | |
| SFRP1 | −0.057 | 0.945 | 0.802 | 1.112 | 0.493 | |
| SFRP2 | 0.135 | 1.145 | 0.989 | 1.324 | 0.07 | |
| SFRP3 | 0.076 | 1.079 | 0.901 | 1.292 | 0.41 | |
| SFRP4 | −0.077 | 0.926 | 0.796 | 1.077 | 0.321 | |
| SFRP5 | 0.112 | 1.118 | 1.001 | 1.249 | 0.048 | * |
Publisher’s Note: MDPI stays neutral with regard to jurisdictional claims in published maps and institutional affiliations. |
© 2021 by the authors. Licensee MDPI, Basel, Switzerland. This article is an open access article distributed under the terms and conditions of the Creative Commons Attribution (CC BY) license (https://creativecommons.org/licenses/by/4.0/).
Share and Cite
Liu, D.; Sun, C.; Kim, N.; Bhan, C.; Tuason, J.P.W.; Chen, Y.; Ma, S.; Huang, Y.; Cheng, C.; Zhou, Q.; et al. Comprehensive Analysis of SFRP Family Members Prognostic Value and Immune Infiltration in Gastric Cancer. Life 2021, 11, 522. https://doi.org/10.3390/life11060522
Liu D, Sun C, Kim N, Bhan C, Tuason JPW, Chen Y, Ma S, Huang Y, Cheng C, Zhou Q, et al. Comprehensive Analysis of SFRP Family Members Prognostic Value and Immune Infiltration in Gastric Cancer. Life. 2021; 11(6):522. https://doi.org/10.3390/life11060522
Chicago/Turabian StyleLiu, Dehua, Chenyu Sun, Nahyun Kim, Chandur Bhan, John Pocholo Whitaker Tuason, Yue Chen, Shaodi Ma, Yuting Huang, Ce Cheng, Qin Zhou, and et al. 2021. "Comprehensive Analysis of SFRP Family Members Prognostic Value and Immune Infiltration in Gastric Cancer" Life 11, no. 6: 522. https://doi.org/10.3390/life11060522
APA StyleLiu, D., Sun, C., Kim, N., Bhan, C., Tuason, J. P. W., Chen, Y., Ma, S., Huang, Y., Cheng, C., Zhou, Q., & Zhang, K. (2021). Comprehensive Analysis of SFRP Family Members Prognostic Value and Immune Infiltration in Gastric Cancer. Life, 11(6), 522. https://doi.org/10.3390/life11060522

