Organic Material on Ceres: Insights from Visible and Infrared Space Observations
Abstract
1. Introduction
2. Average Ceres Spectrum
2.1. Calibration Refinement
- Based on the ground-based spectra (point 2), we calculated a smooth average spectrum that covers the whole spectral range of the infrared channel of the VIR spectrometer.
- We calculated the average spectrum of VIR-IR calibrated data, after artifact and photometric correction, as described above.
- We calculated the ratio between the average spectrum from ground observations (point 3) with the average spectrum obtained from VIR data (point 4). This ratio spectrum is used as a multiplicative correction factor on every single VIR spectrum.
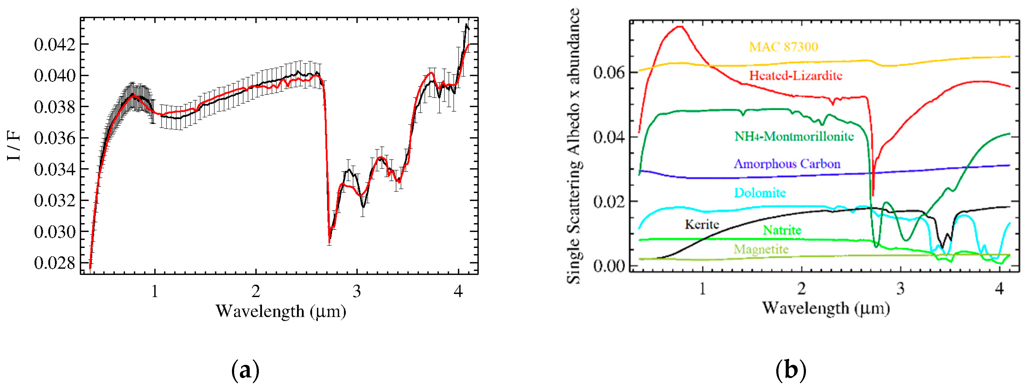
2.2. Spectral Modeling
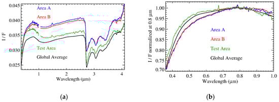
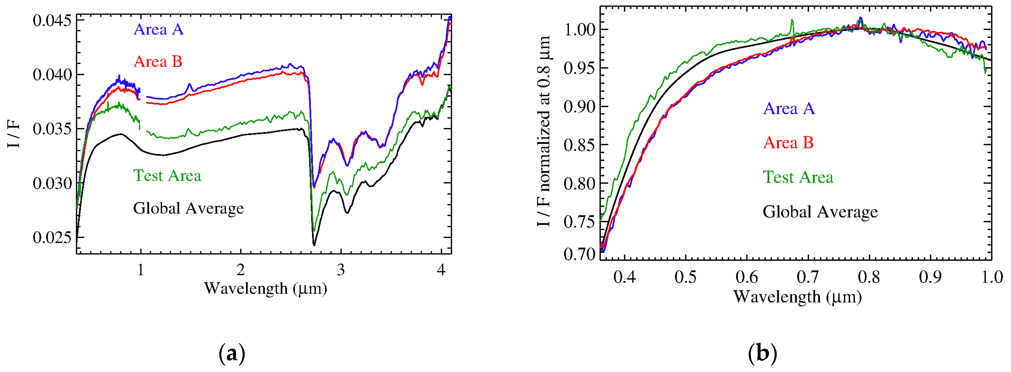
3. Organic-Rich Region
3.1. Data Reduction
3.2. Spectral Modeling
3.3. Spatial Correlations
3.4. Cerealia Facula
4. Discussion
4.1. Ceres Average Spectrum
4.2. Ernutet Organic-Rich Region
4.3. Cerealia Facula
5. Conclusions
Author Contributions
Funding
Conflicts of Interest
References
- Milliken, R.E.; Rivkin, A.S. Brucite and carbonate assemblages from altered olivine-rich materials on Ceres. Nat. Geosci. 2009, 2, 258–261. [Google Scholar] [CrossRef]
- Rivkin, A.S.; Li, J.-Y.; Milliken, R.E.; Lim, L.F.; Lovell, A.J.; Schmidt, B.E.; McFadden, L.A.; Cohen, B.A. The Surface Composition of Ceres. Space Sci. Rev. 2011, 163, 95–116. [Google Scholar] [CrossRef]
- Lebofsky, L.; Feierberg, M.; Tokunaga, A.; Larson, H.; Johnson, J. The 1.7–4.2 μm spectrum of asteroid 1 Ceres: Evidence for structural water in clay minerals. Icarus 1981, 48, 453–459. [Google Scholar] [CrossRef]
- King, T.; Clark, R.; Calvin, W.; Sherman, D.; Brown, R. Evidence for ammonium bearing minerals on Ceres. Science 1992, 255, 1551–1553. [Google Scholar] [CrossRef] [PubMed]
- Vernazza, P.; Mothé-Diniz, T.; Barucci, M.A.; Birlan, M.; Carvano, J.M.; Strazzulla, G.; Fulchignoni, M.; Migliorini, A. Analysis of near-IR spectra of 1 Ceres and 4 Vesta, targets of the Dawn mission. Astron. Astrophys. 2005, 436, 1113–1121. [Google Scholar] [CrossRef]
- Rivkin, A.S.; Volquardsen, E.L.; Clark, B.E. The surface composition of Ceres: Discovery of carbonates and iron-rich clays. Icarus 2006, 185, 563–567. [Google Scholar] [CrossRef]
- De Sanctis, M.C.; Coradini, A.; Ammannito, E.; Filacchione, G.; Capria, M.T.; Fonte, S.; Magni, G.; Barbis, A.; Bini, A.; The VIR Team; et al. The VIR spectrometer. Space Sci. Rev. 2011, 163, 329–369. [Google Scholar] [CrossRef]
- Sierks, H.; Keller, H.U.; Jaumann, R.; Michalik, H.; Behnke, T.; Bubenhagen, F.; Büttner, I.; Carsenty, U.; Christensen, U.; Enge, R.; et al. The dawn framing camera. Space Sci. Rev. 2011, 163, 263–327. [Google Scholar] [CrossRef]
- Prettyman, T.H.; Feldman, W.C.; McSween, H.Y.; Dingler, R.D.; Enemark Donald, C.; Patrick, D.E.; Storms, S.A.; Hendricks, J.S.; Morgenthaler, J.P.; Pitman, K.M.; et al. Dawn’s gamma ray and neutron detector. Space Sci. Rev. 2011, 163, 371–459. [Google Scholar] [CrossRef]
- Usui, F.; Hasegawa, S.; Ootsubo, T.; Onaka, T. AKARI/IRC near-infrared asteroid spectroscopic survey: AcuA-spec. Publ. Astron. Soc. Jpn. 2019, 71, 1. [Google Scholar] [CrossRef]
- De Sanctis, M.C.; Ammannito, E.; Raponi, A.; Marchi, S.; McCord, T.B.; McSween, H.Y.; Capaccioni, F.; Capria, M.T.; Carrozzo, F.G.; Ciarniello, M.; et al. Ammoniated phyllosilicates with a likely outer Solar System origin on (1) Ceres. Nature 2015, 528, 241–244. [Google Scholar] [CrossRef] [PubMed]
- Prettyman, T.H.; Yamashita, N.; Toplis, M.J.; McSween, H.Y.; Schörghofer, N.; Marchi, S.; Feldman, W.C.; Castillo-Rogez, J.; Forni, O.; Lawrence, D.J.; et al. Extensive water ice within Ceres’ aqueously altered regolith: Evidence from nuclear spectroscopy. Science 2017, 355, 55–59. [Google Scholar] [CrossRef]
- Prettyman, T.H.; Yamashita, N.; Ammannito, E.; Castillo-Rogez, J.C.; Ehlmann, B.L.; McSween, H.Y.; Marchi, S.; Pieters, C.M.; Schorghofer, N.; Toplis, M.J.; et al. Carbon on Ceres: Implications for Origins and Interior Evolution. In Proceedings of the 49th Lunar and Planetary Science Conference, Woodlands, TX, USA, 19–23 March 2018. Contribution No. 2083, ID 1151. [Google Scholar]
- Marchi, S.; Raponi, A.; Prettyman, T.H.; De Sanctis, M.C.; Castillo-Rogez, J.; Raymond, C.A.; Ammannito, E.; Bowling, T.; Ciarniello, M.; Kaplan, H.; et al. An aqueously altered carbon-rich Ceres. Nat. Astron. 2019, 3, 140–145. [Google Scholar] [CrossRef]
- Kurokawa, H.; Ehlmann, B.L.; De Sanctis, M.C.; Lapôtre, M.G.A.; Usui, T.; Stein, N.T.; Prettyman, T.H.; Raponi, A.; Ciarniello, M. A probabilistic approach to determination of Ceres’ average surface composition from Dawn VIR and GRaND data. J. Geophys. Res. Planets 2020, e2020JE006606. [Google Scholar] [CrossRef]
- Rousseau, B.; Raponi, A.; Ciarniello, M.; Ammannito, E.; Carrozzo, F.G.; De Sanctis, M.C.; Fonte, S.; Frigeri, A.; Tosi, F. Correction of the VIR-visible data set from the Dawn mission. Rev. Sci. Instrum. 2019, 90, 123110. [Google Scholar] [CrossRef]
- Rousseau, B.; de Sanctis, M.C.; Raponi, A.; Ciarniello, M.; Ammannito, E.; Frigeri, A.; Ferrari, M.; de Angelis, S.; Carrozzo, F.C.; Tosi, F.; et al. The surface of (1) Ceres in visible light as seen by the Dawn/VIR. Astron. Astrophys. 2020, 642, A74. [Google Scholar] [CrossRef]
- De Sanctis, M.C.; Ammannito, E.; McSween, H.Y.; Raponi, A.; Marchi, S.; Capaccioni, F.; Capria, M.T.; Carrozzo, F.G.; Ciarniello, M.; Fonte, S.; et al. Localized aliphatic organic material on the surface of Ceres. Science 2017, 355, 719–722. [Google Scholar] [CrossRef]
- De Sanctis, M.C.; Ammannito, E.; Raponi, A.; Frigeri, A.; Ferrari, M.; Carrozzo, F.G.; Ciarniello, M.; Formisano, M.; Rousseau, B.; Tosi, F.; et al. Fresh emplacement of hydrated sodium chloride on Ceres from ascending salty fluids. Nat. Astron. 2020, 4, 786–793. [Google Scholar] [CrossRef]
- Carrozzo, F.G.; Raponi, A.; De Sanctis, M.C.; Ammannito, E.; Giardino, M.; D’Aversa, E.; Fonte, S.; Tosi, F. Artifacts reduction in VIR/Dawn data. Rev. Sci. Instrum. 2016, 87, 124501. [Google Scholar] [CrossRef]
- Hapke, B. Theory of Reflectance and Emittance Spectroscopy; Cambridge University Press: Cambridge, UK, 1993. [Google Scholar]
- Hapke, B. Theory of Reflectance and Emittance Spectroscopy, 2nd ed.; Cambridge University Press: Cambridge, UK, 2012. [Google Scholar]
- Ciarniello, M.; De Sanctis, M.C.; Ammannito, E.; Raponi, A.; Longobardo, A.; Palomba, E.; Carrozzo, F.G.; Tosi, F.; Li, J.-Y.; Schröder, S.E.; et al. Spectrophotometric properties of dwarf planet Ceres from the VIR spectrometer on board the Dawn mission. Astron. Astrophys. 2017, 598, A130. [Google Scholar] [CrossRef]
- Chapman, C.R.; Gaffey, M.J. Reflectance Spectra for 277 Asteroids; Asteroids. (A80-24551 08-91); University of Arizona Press: Tucson, AZ, USA, 1979; pp. 655–687. [Google Scholar]
- Roettger, E.; Buratti, B. Ultraviolet Spectra and Geometric Albedos of 45 Asteroids. Icarus 1994, 112, 496. [Google Scholar] [CrossRef]
- Parker, J.W.; Stern, S.A.; Thomas, P.C.; Festou, M.C.; Merline, W.J.; Young, E.F.; Binzel, R.P.; Lebofsky, L.A. Analysis of the First Disk-resolved Images of Ceres from Ultraviolet Observations with the Hubble Space Telescope. Astron. J. 2002, 123, 549. [Google Scholar] [CrossRef]
- Bus, S.J.; Binzel, R.P. Phase II of the Small Main-Belt Asteroid Spectroscopic Survey. A Feature-Based Taxonomy. Icarus 2002, 158, 146. [Google Scholar] [CrossRef]
- Bus, S.J.; Binzel, R.P. Phase II of the Small Main-Belt Asteroid Spectroscopic Survey. The Observations. Icarus 2002, 158, 106. [Google Scholar] [CrossRef]
- Lazzaro, D.; Ferraz-Mello, S.; Fernández, J.A. Asteroids, Comets, Meteors; IAU Symposium (Cambridge University Press): Cambridge, UK, 2006; Volume 229. [Google Scholar]
- Li, J.-Y.; McFadden, L.A.; Parker, J.W.; Young, E.F.; Stern, S.A.; Thomas, P.C.; Russell, C.T.; Sykes, M.V. Photometric analysis of 1 Ceres and surface mapping from HST observations. Icarus 2006, 182, 143. [Google Scholar] [CrossRef]
- Raponi, A.; Carrozzo, F.G.; Zambon, F.; De Sanctis, M.C.; Ciarniello, M.; Frigeri, A.; Ammannito, E.; Tosi, F.; Combe, J.-P.; Longobardo, A.; et al. Mineralogical mapping of Coniraya quadrangle of the dwarf planet Ceres. Icarus 2019, 318, 99–110. [Google Scholar] [CrossRef]
- Carli, C.; Ciarniello, M.; Capaccioni, F.; Serventi, G.; Sgavetti, M. Spectral variability of plagioclase-mafic mixtures (2): Investigation of the optical constant and retrieved mineral abundance dependence on particle size distribution. Icarus 2014, 235, 207–219. [Google Scholar] [CrossRef]
- Davidsson, B.J.R.; Gutiérrez, P.J.; Rickman, H. Physical properties of morphological units on Comet 9P/Tempel 1 derived from near-IR Deep Impact spectra. Icarus 2009, 201, 335–357. [Google Scholar] [CrossRef]
- De Sanctis, M.C.; Vinogradoff, V.; Raponi, A.; Ammannito, E.; Ciarniello, M.; Carrozzo, F.G.; De Angelis, S.; Raymond, C.A.; Russell, C.T. Characteristics of organic matter on Ceres from VIR/Dawn high spatial resolution spectra. Mon. Not. R. Astron. Soc. 2019, 482, 2407–2421. [Google Scholar] [CrossRef]
- Hiroi, T.; Zolensky, E. UV-Vis-NIR absorption features of heated phyllosilicates as remote-sensing clues of thermal histories of primitive asteroids. Antarct. Meteor. Res. 1999, 12, 108. [Google Scholar]
- Querry, M.R. Optical constants. Contractor Report, September 1982–May 1984; Missouri University: Kansas City, MO, USA, 1985. [Google Scholar]
- Zubko, V.G.; Mennella, V.; Colangeli, L.; Bussoletti, E. Optical constants of cosmic carbon analogue grains—I. Simulation of clustering by a modified continuous distribution of ellipsoids. Mon. Not. R. Astron. Soc. 1996, 282, 1321–1329. [Google Scholar] [CrossRef]
- Lantz, C.; Brunetto, R.; Barucci, M.A.; Fornasier, S.; Baklouti, D.; Bourçois, J.; Godard, M. Ion irradiation of carbonaceous chondrites: A new view of space weathering on primitive asteroids. Icarus 2017, 285, 43–57. [Google Scholar] [CrossRef]
- Moroz, L.; Arnold, G.; Korochantsev, A.; Wasch, R. Natural Solid Bitumens as Possible Analogs for Cometary and Asteroid Organics: 1. Reflectance Spectroscopy of Pure Bitumens. Icarus 1998, 134, 253. [Google Scholar] [CrossRef]
- Pieters, C.M.; Nathues, A.; Thangjam, G.; Hoffmann, M.; Platz, T.; de Sanctis, M.C.; Ammannito, E.; Tosi, F.; Zambon, F.; Pasckert, J.H.; et al. Geologic constraints on the origin of red organic-rich material on Ceres. Meteorit. Planet. Sci. 2018, 53, 1983–1998. [Google Scholar] [CrossRef]
- De Sanctis, M.C.; Raponi, A.; Ammannito, E.; Ciarniello, M.; Toplis, M.J.; McSween, H.Y.; Castillo-Rogez, J.C.; Ehlmann, B.L.; Carrozzo, F.G.; Marchi, S.; et al. Bright carbonate deposits as evidence of aqueous alteration on (1) Ceres. Nature 2016, 536, 54–57. [Google Scholar] [CrossRef] [PubMed]
- Raponi, A.; De Sanctis, M.C.; Carrozzo, F.G.; Ciarniello, M.; Castillo-Rogez, J.C.; Ammannito, E.; Frigeri, A.; Longobardo, A.; Palomba, E.; Tosi, F.; et al. Mineralogy of Occator crater on Ceres and insight into its evolution from the properties of carbonates, phyllosilicates, and chlorides. Icarus 2019, 320, 83–96. [Google Scholar] [CrossRef]
- Nathues, A.; Platz, T.; Thangjam, G.; Hoffmann, M.; Scully, J.E.C.; Stein, N.; Ruesch, O.; Mengel, K. Occator crater in color at highest spatial resolution. Icarus 2019, 320, 24–38. [Google Scholar] [CrossRef]
- Kaplan, H.H.; Milliken, R.E.; Alexander, C.M. New Constraints on Abundance and Composition of Organic Matter on Ceres from Laboratory Reflectance Spectra. Geophys. Res. Lett. 2018, 45, 5274–5282. [Google Scholar] [CrossRef]
- Postberg, F.; Schmidt, J.; Hillier, J.; Kempf, S.; Srama, R. A salt-water reservoir as the source of a compositionally stratified plume on Enceladus. Nature 2011, 474, 620–622. [Google Scholar] [CrossRef]
- Waite, J.H., Jr.; Lewis, W.S.; Magee, B.A.; Lunine, J.I.; McKinnon, W.B.; Glein, C.R.; Mousis, O.; Young, D.T.; Brockwell, T.; Westlake, J. Liquid water on Enceladus from observations of ammonia and 40Ar in the plume. Nature 2009, 460, 1164. [Google Scholar] [CrossRef]
- Poch, O.; Jaber, M.; Stalport, F.; Nowak, S.; Georgelin, T.; Lambert, J.-F.; Szopa, C.; Coll, P. Effect of Nontronite Smectite Clay on the Chemical Evolution of Several Organic Molecules under Simulated Martian Surface Ultraviolet Radiation Conditions. Astrobiology 2015, 15, 221–237. [Google Scholar] [CrossRef] [PubMed]
- Dos Santos, R.; Patel, M.; Cuadros, J.; Martins, Z. Influence of mineralogy on the preservation of amino acids under simulated Mars conditions. Icarus 2016, 277, 342–353. [Google Scholar] [CrossRef]









| Mineral | Type | RELAB Sample ID/Reference |
|---|---|---|
| Antigorite | Mg-phyllosilicate | AT-TXH-007 |
| Heated Lizardite | Mg-phyllosilicate | [35] |
| NH4-montmorillonite | NH4-phyllosilicate | JB-JLB-189 |
| Dolomite | Mg-Ca-Carbonate | CB-EAC-003 |
| Natrite | Na-carbonate | CB-EAC-034-C |
| Magnetite | Iron oxide | [36] |
| Kerite | Organic material | MA-ATB-043 |
| Amorphous Carbon | Organic material | [37] |
| Mineral | Area A (Area B) | Global Average |
|---|---|---|
| MAC 87300 | 56% | 60% |
| Heated Lizardite | 12% | 10% |
| Antigorite | 1% | 1% |
| NH4-montmorillonite | 5% | 6% |
| Dolomite | 2% | 2% |
| Natrite | 1% | 0% |
| Magnetite | 1% | 1% |
| Kerite | 2% | 0% |
| Amorphous Carbon | 20% | 20% |
| Grain size | 270 µm | 210 µm |
| Multiplicative factor | 0.72 (0.74) | 0.63 |
| Additional Slope | 7.8 (7.6) 10−3 µm−1 | 7.8 10−3 µm−1 |
| Area | Lon (°) | Lat (°) | N. Pixel VIS | N. Pixel IR |
|---|---|---|---|---|
| A | 39.0–41.5 | 54.5–56. | 22 | 22 |
| B | 40.0–44.0 | 48.5–52.5 | 184 | 180 |
| Test | 42.5–44.0 | 60.5–62.0 | 127 | 145 |
Publisher’s Note: MDPI stays neutral with regard to jurisdictional claims in published maps and institutional affiliations. |
© 2020 by the authors. Licensee MDPI, Basel, Switzerland. This article is an open access article distributed under the terms and conditions of the Creative Commons Attribution (CC BY) license (http://creativecommons.org/licenses/by/4.0/).
Share and Cite
Raponi, A.; De Sanctis, M.C.; Giacomo Carrozzo, F.; Ciarniello, M.; Rousseau, B.; Ferrari, M.; Ammannito, E.; De Angelis, S.; Vinogradoff, V.; Castillo-Rogez, J.C.; et al. Organic Material on Ceres: Insights from Visible and Infrared Space Observations. Life 2021, 11, 9. https://doi.org/10.3390/life11010009
Raponi A, De Sanctis MC, Giacomo Carrozzo F, Ciarniello M, Rousseau B, Ferrari M, Ammannito E, De Angelis S, Vinogradoff V, Castillo-Rogez JC, et al. Organic Material on Ceres: Insights from Visible and Infrared Space Observations. Life. 2021; 11(1):9. https://doi.org/10.3390/life11010009
Chicago/Turabian StyleRaponi, Andrea, Maria Cristina De Sanctis, Filippo Giacomo Carrozzo, Mauro Ciarniello, Batiste Rousseau, Marco Ferrari, Eleonora Ammannito, Simone De Angelis, Vassilissa Vinogradoff, Julie C. Castillo-Rogez, and et al. 2021. "Organic Material on Ceres: Insights from Visible and Infrared Space Observations" Life 11, no. 1: 9. https://doi.org/10.3390/life11010009
APA StyleRaponi, A., De Sanctis, M. C., Giacomo Carrozzo, F., Ciarniello, M., Rousseau, B., Ferrari, M., Ammannito, E., De Angelis, S., Vinogradoff, V., Castillo-Rogez, J. C., Tosi, F., Frigeri, A., Formisano, M., Zambon, F., Raymond, C. A., & Russell, C. T. (2021). Organic Material on Ceres: Insights from Visible and Infrared Space Observations. Life, 11(1), 9. https://doi.org/10.3390/life11010009

