The Effects of Salts and Osmoprotectants on Enzyme Activities of Fructose-1,6-biphosphate Aldolases in a Halotolerant Cyanobacterium, Halothece sp. PCC 7418
Abstract
1. Introduction
2. Materials and Methods
2.1. Cyanobacterial Culture Conditions
2.2. Preparation of Rabbit Antiserum Directed Against H2847 Protein
2.3. Preparation of Soluble Protein Extracts of Halothece 7418 for Measurement of FBA Activity
2.4. Preparation of Purified Recombinant H2846 Protein
2.5. Measurement of FBA Activity
2.6. Gel Filtration Chromatography of Halothece Extracts
2.7. Immunoblotting Analysis
2.8. Phylogenetic Analysis
3. Results and discussion
3.1. Protein Accumulation Dynamics of H2846 and H2847 Following Salinity Shock Treatment
3.2. FBA Activity under Salinity-Shocked Conditions in Halothece 7418
3.3. NaCl- and KCl-inhibited FBA Activity of Halothece 7418 Extracts
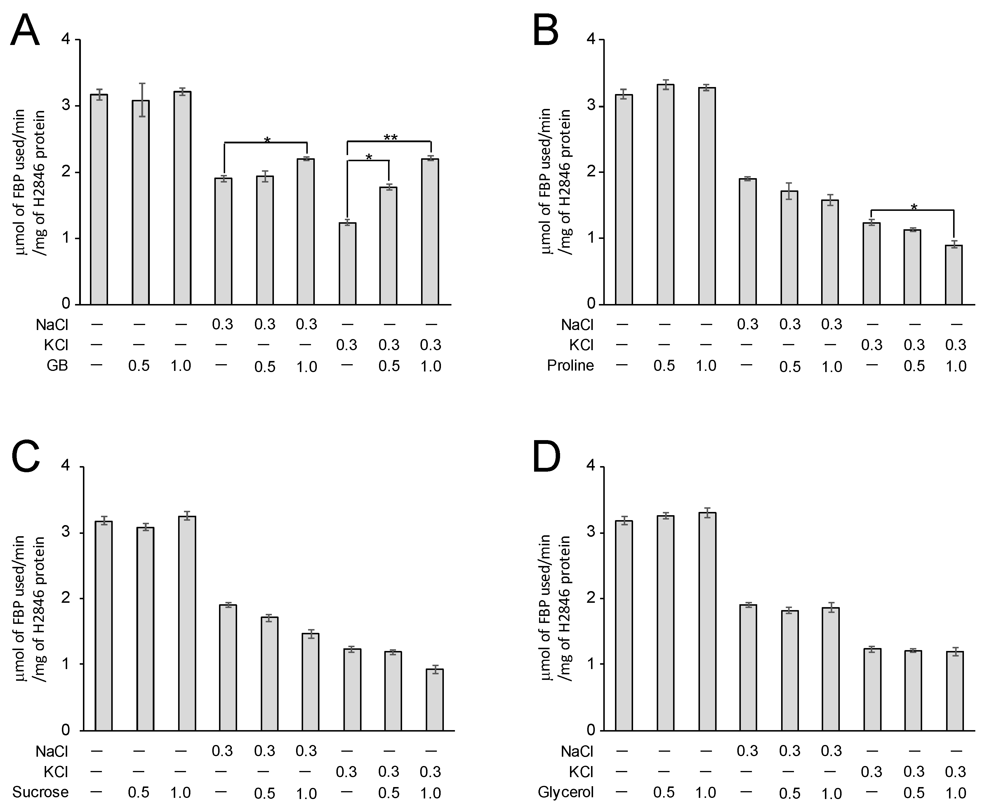
3.4. GB Alleviated the Inhibitory Effect of Salts on the CI-FBA Activity of Recombinant H2846 Protein
3.5. Relationship between the Distribution of H2846-type CI-FBA and the Ability to Synthesize GB in Cyanobacteria
4. Conclusions
Author Contributions
Funding
Acknowledgments
Conflicts of Interest
References
- Ziveri, J.; Tros, F.; Guerrera, I.C.; Chhuon, C.; Audry, M.; Dupuis, M.; Barel, M.; Korniotis, S.; Fillatreau, S.; Gales, L.; et al. The metabolic enzyme fructose-1,6-bisphosphate aldolase acts as a transcriptional regulator in pathogenic Francisella. Nat. Commun. 2017, 8, 853. [Google Scholar] [CrossRef]
- Berry, A.; Marshall, K.E. Identification of zinc-binding ligands in the Class II fructose-1,6-bisphosphate aldolase of Escherichia coli. FEBS Lett. 1993, 318, 11–16. [Google Scholar] [CrossRef]
- Tunio, S.A.; Oldfield, N.J.; Berry, A.; Ala’Aldeen, D.A.A.; Wooldridge, K.G.; Turner, D.P.J. The moonlighting protein fructose-1,6-bisphosphate aldolase of Neisseria meningitidis: Surface localization and role in host cell adhesion. Mol. Microbiol. 2010, 76, 605–615. [Google Scholar] [CrossRef]
- Patipong, T.; Ngoennet, S.; Honda, M.; Hibino, T.; Waditee-Sirisattha, R.; Kageyama, H. A class I fructose-1,6-bisphosphate aldolase is associated with salt stress tolerance in a halotolerant cyanobacterium Halothece sp. PCC 7418. Arch. Biochem. Biophys. 2019, 672, 108059. [Google Scholar] [CrossRef]
- Ramos, V.M.C.; Castelo-Branco, R.; Leão, P.N.; Martins, J.; Carvalhal-Gomes, S.; Sobrinho da Silva, F.; Mendonça Filho, J.G.; Vasconcelos, V.M. Cyanobacterial diversity in microbial mats from the hypersaline lagoon system of Araruama, Brazil: An in-depth polyphasic study. Front. Microbiol. 2017, 8, 1233. [Google Scholar] [CrossRef]
- Waditee-Sirisattha, R.; Kageyama, H.; Sopun, W.; Tanaka, Y.; Takabe, T. Identification and upregulation of biosynthetic genes required for accumulation of mycosporine-2-glycine under salt stress conditions in the halotolerant cyanobacterium Aphanothece halophytica. Appl. Environ. Microbiol. 2014, 80, 1763–1769. [Google Scholar] [CrossRef]
- Waditee, R.; Tanaka, Y.; Aoki, K.; Hibino, T.; Jikuya, H.; Takano, J.; Takabe, T.; Takabe, T. Isolation and functional characterization of N-methyltransferases that catalyze betaine synthesis from glycine in a halotolerant photosynthetic organism Aphanothece halophytica. J. Biol. Chem. 2003, 278, 4932–4942. [Google Scholar] [CrossRef]
- Patipong, T.; Hibino, T.; Waditee-Sirisattha, R.; Kageyama, H. Efficient bioproduction of mycosporine-2-glycine, which functions as potential osmoprotectant, using Escherichia coli cells. Nat. Prod. Commun. 2017, 12, 1593–1594. [Google Scholar] [CrossRef]
- Kageyama, H.; Waditee-Sirisattha, R. Antioxidative, anti-Inflammatory, and anti-aging properties of mycosporine-like amino acids: Molecular and cellular mechanisms in the protection of skin-aging. Mar. Drugs 2019, 17, 222. [Google Scholar] [CrossRef]
- Waditee-Sirisattha, R.; Kageyama, H.; Fukaya, M.; Rai, V.; Takabe, T. Nitrate and amino acid availability affects glycine betaine and mycosporine-2-glycine in response to changes of salinity in a halotolerant cyanobacterium Aphanothece halophytica. FEMS Microbiol. Lett. 2015, 362, fnv198. [Google Scholar] [CrossRef]
- Soontharapirakkul, K.; Promden, W.; Yamada, N.; Kageyama, H.; Incharoensakdi, A.; Iwamoto-Kihara, A.; Takabe, T. Halotolerant cyanobacterium Aphanothece halophytica contains an Na+-dependent F1F0-ATP synthase with a potential role in salt-stress tolerance. J. Biol. Chem. 2011, 286, 10169–10176. [Google Scholar] [CrossRef]
- Kageyama, H.; Waditee-Sirisattha, R.; Sirisattha, S.; Tanaka, Y.; Mahakhant, A.; Takabe, T. Extraction and quantification of alkanes in cyanobacteria. Bio-Protoc. 2015, 5, e1684. [Google Scholar] [CrossRef]
- Hobey, W.D.; Prybyla, J.A. Artifacts in Manganese/Tris(hydroxymethyl)aminomethane solutions. Clin. Chem. 1978, 24, 2206–2207. [Google Scholar] [CrossRef]
- Siebers, B.; Brinkmann, H.; Dörr, C.; Tjaden, B.; Lilie, H.; van der Oost, J.; Verhees, C.H. Archaeal fructose-1,6-bisphosphate aldolases constitute a new family of archaeal type class I aldolase. J. Biol. Chem. 2001, 276, 28710–28718. [Google Scholar] [CrossRef]
- Nakahara, K.; Yamamoto, H.; Miyake, C.; Yokota, A. Purification and characterization of class-I and class-II fructose-1,6-bisphosphate aldolases from the cyanobacterium Synechocystis sp. PCC6803. Plant Cell Physiol. 2003, 44, 326–333. [Google Scholar] [CrossRef]
- Oren, A. Salt and brines. In The Ecology of Cyanobacteria, 1st ed.; Whitton, B.A., Potts, M., Eds.; Springer: Dordrecht, The Netherlands, 2000; pp. 281–306. [Google Scholar]
- Miller, D.M.; Jones, J.H.; Yopp, J.H.; Tindall, D.R.; Schmid, W.E. Ion metabolism in a halophilic blue-green alga, Aphanothece halophytica. Arch. Microbiol. 1976, 111, 145–149. [Google Scholar] [CrossRef]
- Reed, R.H.; Chudek, J.A.; Foster, R.; Stewart, W.D.P. Osmotic adjustment in cyanobacteria from hypersaline environments. Arch. Microbiol. 1984, 138, 333–337. [Google Scholar] [CrossRef]
- Incharoensakdi, A.; Takabe, T. Determination of intracellular chloride ion concentration in a halotolerant cyanobacterium Aphanothece halophytica. Plant Cell Physiol. 1988, 29, 1073–1075. [Google Scholar]
- Takabe, T.; Rai, A.K.; Akazawa, T. Interaction of constituent subunits in Ribulose 1,5-bisphosphate carboxylase from Aphanothece halophytica. Arch. Biochem. Biophys. 1984, 229, 202–211. [Google Scholar] [CrossRef]
- Klähn, S.; Hagemann, M. Compatible solute biosynthesis in cyanobacteria. Environ. Microbiol. 2011, 13, 551–562. [Google Scholar] [CrossRef]
- Zou, H.; Wu, Z.; Xian, M.; Liu, H.; Cheng, T.; Cao, Y. Not only osmoprotectant: Betaine increased lactate dehydrogenase activity and L-lactate production in lactobacilli. Bioresour. Technol. 2013, 148, 591–595. [Google Scholar] [CrossRef]
- Incharoensakdi, A.; Takabe, T.; Akazawa, T. Effect of betaine on enzyme activity and subunit interaction of riblose-1,5-bisphosphate carboxylase/oxygenase from Aphanothece halophytica. Plant Physiol. 1986, 81, 1044–1049. [Google Scholar] [CrossRef]
- Oren, A. Salts and brines. In Ecology of Cyanobacteria II: Their diversity in Space and Time, 1st ed.; Whitton, B.A., Ed.; Springer: Heidelberg, Germany, 2012; pp. 401–425. [Google Scholar]
- Szabados, L.; Savouré, A. Proline: A multifunctional amino acid. Trends Plant Sci. 2009, 15, 89–97. [Google Scholar] [CrossRef]
- Syiem, M.B.; Nongrum, N.A. Increase in intracellular proline content in Anabaena variabilis during stress conditions. J. Appl. Nat. Sci. 2011, 3, 119–123. [Google Scholar] [CrossRef]
- Kolman, M.A.; Nishi, C.N.; Perez-Cenci, M.; Salerno, G.L. Sucrose in cyanobacteria: From a salt-response molecule to play a key role in nitrogen fixation. Life 2015, 5, 102–126. [Google Scholar] [CrossRef]
- Lai, M.C.; Lan, E.I. Advances in metabolic engineering of cyanobacteria for photosynthetic biochemical production. Metabolites 2015, 5, 636–658. [Google Scholar] [CrossRef]
- Savakis, P.; Tan, X.; Du, W.; Branco dos Santos, F.; Lu, X.; Hellingwerf, K.J. Photosynthetic production of glycerol by a recombinant cyanobacterium. J. Biotechnol. 2015, 195, 46–51. [Google Scholar] [CrossRef]
- Waditee-Sirisattha, R.; Singh, M.; Kageyama, H.; Sittipol, D.; Rai, A.K.; Takabe, T. Anabaena sp. PCC7120 transformed with glycine methylation genes from Aphanothece halophytica synthesized glycine betaine showing increased tolerance to salt. Arch. Microbiol. 2012, 194, 909–914. [Google Scholar] [CrossRef]







| Addition | Relative Activity (%) 1 | ||
|---|---|---|---|
| Metal Ion 2 | NaBH4 3 | EDTA 4 | |
| - | - | - | 298 ± 9.34 5 |
| - | + | - | ND 6 |
| Mg2+ | + | - | 73.2 ± 4.88 |
| Ca2+ | + | - | 68.3 ± 5.63 |
| Mn2+ | + | - | 100 ± 10.8 |
| Fe2+ | + | - | ND 6 |
| Co2+ | + | - | ND 6 |
| Cu2+ | + | - | 46.3 ± 2.44 |
| Zn2+ | + | - | ND 6 |
| Mn2+ | + | + | ND 6 |
| Clade | Cyanobacterial Strain Name | H2846-Like Protein | GSMT-Like Protein | DMT-Like Protein | Two MT Genes Are Neighboring | |||
|---|---|---|---|---|---|---|---|---|
| Accession | Identity (%) | Accession | Identity (%) | Accession | Identity (%) | |||
| I | Halothece sp. PCC 7418 | WP_015226850.1 | 100.0 | WP_015227493.1 | 100.0 | BAC56940.1 | 100.0 | yes |
| I | Euhalothece sp. KZN 001 | PNW51873.1 | 91.35 | PNW34186.1 | 92.83 | PNW34185.1 | 91.70 | yes |
| I | Dactylococcopsis salina | WP_015230391.1 | 90.78 | WP_015231090.1 | 93.58 | WP_015231089.1 | 91.70 | yes |
| I | Euhalothece natronophila | WP_146295003.1 | 89.91 | WP_146296755.1 | 89.06 | WP_146296756.1 | 94.22 | yes |
| I | Cyanobacteria bacterium SW_9_44_58 | PSO48123.1 | 82.71 | PSO48946.1 | 82.71 | PSO48947.1 | 90.60 | yes |
| I | Cyanobacteria bacterium QS_4_48_99 | PSO81898.1 | 78.10 | PSO78094.1 | 80.84 | PSO78093.1 | 53.09 | yes |
| I | Cyanobacteria bacterium QH_1_48_107 | PSO51072.1 | 78.10 | PSO56755.1 | 80.84 | PSO56754.1 | 53.09 | yes |
| I | Cyanobacteria bacterium QH_8_48_120 | PSO71131.1 | 77.81 | PSO78323.1 | 80.84 | PSO78322.1 | 53.09 | yes |
| I | Geitlerinema sp. PCC 9228 | WP_071515292.1 | 76.68 | WP_071515313.1 | 71.76 | WP_071515314.1 | 57.45 | yes |
| I | Cyanobacteria bacterium QS_8_64_29 | PSP19570.1 | 76.16 | PSP18883.1 | 79.54 | PSP18856.1 | 57.45 | no |
| II | Gloeocapsa sp. PCC 7428 | WP_015191192.1 | 73.70 | WP_015188788.1 | 32.43 | WP_015190787.1 | 50.00 | yes |
| II | Halomicronema hongdechloris | WP_080808545.1 | 73.12 | WP_080807129.1 | 69.88 | WP_080807129.1 | 52.54 | no |
| II | Aphanothece hegewaldii | WP_106456509.1 | 72.25 | N.H. 1 | - | WP_106456849.1 | 39.39 | no |
| II | Leptolyngbya sp. IPPAS B-1204 | RNJ65497.1 | 71.97 | RNJ64902.1 | 53.12 | RNJ68485.1 | 35.20 | no |
| II | Gloeocapsa sp. PCC 73106 | WP_006527803.1 | 71.80 | WP_006530277.1 | 26.67 | WP_006530803.1 | 31.63 | no |
| II | Pseudanabaena sp. PCC 7367 | WP_015164428.1 | 72.33 | N.H. 1 | - | WP_015165920.1 | 38.18 | no |
| II | Crocosphaera watsonii | WP_007311889.1 | 71.88 | N.H. 1 | - | WP_048316702.1 | 36.96 | no |
| II | Leptolyngbya sp. JSC-1 | WP_035999928.1 | 71.39 | WP_051925143.1 | 53.12 | WP_036010558.1 | 35.20 | no |
| II | Nodularia sp. | TVP63635.1 | 70.93 | TVP63914.1 | 29.63 | TVP61242.1 | 36.36 | no |
| II | Hyella patelloides | WP_144874142.1 | 70.52 | WP_144866681.1 | 20.16 | WP_144867980.1 | 33.71 | no |
© 2020 by the authors. Licensee MDPI, Basel, Switzerland. This article is an open access article distributed under the terms and conditions of the Creative Commons Attribution (CC BY) license (http://creativecommons.org/licenses/by/4.0/).
Share and Cite
Ngoennet, S.; Honda, M.; Patipong, T.; Hibino, T.; Waditee-Sirisattha, R.; Kageyama, H. The Effects of Salts and Osmoprotectants on Enzyme Activities of Fructose-1,6-biphosphate Aldolases in a Halotolerant Cyanobacterium, Halothece sp. PCC 7418. Life 2020, 10, 23. https://doi.org/10.3390/life10030023
Ngoennet S, Honda M, Patipong T, Hibino T, Waditee-Sirisattha R, Kageyama H. The Effects of Salts and Osmoprotectants on Enzyme Activities of Fructose-1,6-biphosphate Aldolases in a Halotolerant Cyanobacterium, Halothece sp. PCC 7418. Life. 2020; 10(3):23. https://doi.org/10.3390/life10030023
Chicago/Turabian StyleNgoennet, Siripat, Masaki Honda, Tanutcha Patipong, Takashi Hibino, Rungaroon Waditee-Sirisattha, and Hakuto Kageyama. 2020. "The Effects of Salts and Osmoprotectants on Enzyme Activities of Fructose-1,6-biphosphate Aldolases in a Halotolerant Cyanobacterium, Halothece sp. PCC 7418" Life 10, no. 3: 23. https://doi.org/10.3390/life10030023
APA StyleNgoennet, S., Honda, M., Patipong, T., Hibino, T., Waditee-Sirisattha, R., & Kageyama, H. (2020). The Effects of Salts and Osmoprotectants on Enzyme Activities of Fructose-1,6-biphosphate Aldolases in a Halotolerant Cyanobacterium, Halothece sp. PCC 7418. Life, 10(3), 23. https://doi.org/10.3390/life10030023

