An Experimental Test Bench for Cable-Driven Transmission
Abstract
1. Introduction
2. Test Bench Design
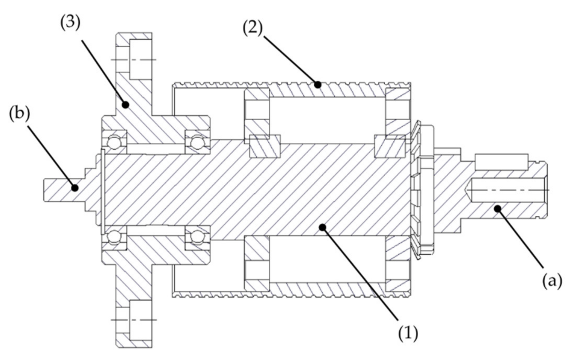
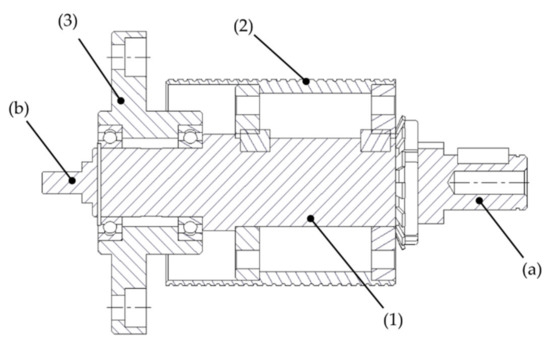
2.1. Link Module
2.2. Transmission Module
2.3. Power Source Module
3. Measurement Module
3.1. Torque Measurement
3.1.1. Instant Cell Calibration
3.1.2. Load Cell Creep Measurement
- Although creep seems to start at the same time in both cases, the measured value starts at a higher value for the delayed measurement than the one made just after the load cell is energized.
- For the measurement with a 30-min delay, the creep variation stabilizes quickly, which does not happen when the measurement is performed just after the load cell is energized.
3.1.3. Creep Compensation for Motor Torque Measurements
3.2. Speed Measurement
4. Command Module
- (1)
- “Function” operating mode: in this mode, it is possible to write speed as a function of time; then the data can be graphed and sent to the motor controller. The only restriction for the type of function is that these functions are included in the Matlab engine.
- (2)
- “Profiles” operating mode: allows the generation of step-type speed profiles, but unlike the profiles that can be created with the MEXE02 software, the transition between speeds (acceleration-deceleration) is not a fixed value, it is a function of the extreme values of the speeds and the time established for this change. Data entry is done in a table, indicating the initial speed, the final speed, and the time of each interval.
- (3)
- “Speed” operating mode: this mode allows executing one of the 16 step-type speed profiles previously stored in the controller. It is possible to concatenate up to three continuous speed profiles. The interface of the “Control” program in the “Speed” operating mode is shown in Figure 14.
- (4)
- “Position” operating mode: in this operating mode, in addition to the speed, it is necessary to indicate the displacement to be executed for that speed. It is possible to have 16 different speed-displacement pairs. The speed profiles are of the step type, whose values correspond to those previously entered in the controller using MEXE02.
5. Data Acquisition Module
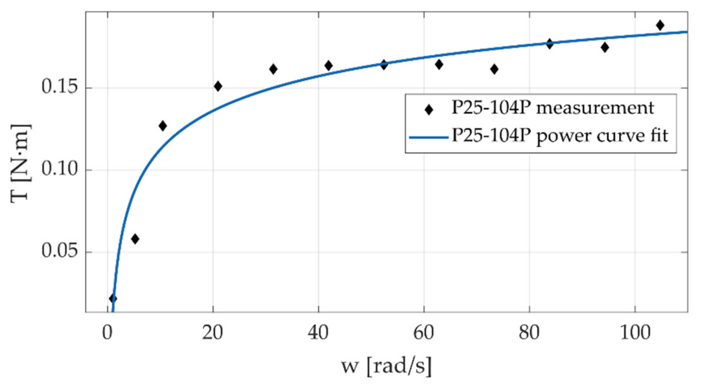
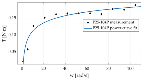
6. Experimental Tests and Results
- (a)
- Cable-driven transmission 25–75 G, with the following characteristics:
- A motor shaft of 25 mm in diameter, with round guiding grooves.
- A pulley of 75 mm in diameter without guiding grooves.
- A steel cable of 1.6 mm in diameter.
- Four turns of cable wrapping over the pulley.
- The cable is wound in a straight pattern around the motor shaft and the pulley.
- (b)
- Cable-driven transmission 35–75 G, with these characteristics:
- A motor shaft of 35 mm in diameter, with round guiding grooves.
- A pulley of 75 mm in diameter without guiding grooves.
- A steel cable of 1.6 mm diameter.
- Four turns of cable wrapping over the pulley.
- The cable is wound in a straight pattern around the motor shaft and the pulley.
- (c)
- Cable-driven transmission 25–104 P, with these characteristics:
- A motor shaft of 25 mm in diameter, with round guiding grooves.
- A pulley of 104 mm in diameter with round guiding grooves.
- A steel cable of 1.6 mm diameter.
- Four turns of cable wrapping over the pulley.
- The cable is wound in a straight pattern around the motor shaft and the pulley.
- (d)
- Cable-driven transmission 25–104 X, with these characteristics:
- A motor shaft of 25 mm diameter, with round guiding grooves.
- A pulley of 104 mm diameter with round guiding grooves.
- A steel cable of 1.6 mm diameter.
- Four turns of cable wrapping over the pulley.
- The cable is wound in an eight pattern around the motor shaft and the pulley.
7. Conclusions
Author Contributions
Funding
Institutional Review Board Statement
Informed Consent Statement
Data Availability Statement
Conflicts of Interest
References
- Wang, A.; Kim, S. Directional Efficiency in Geared Transmissions: Characterization of Backdrivability towards Improved Proprioceptive Control. In Proceedings of the 2015 IEEE International Conference on Robotics and Automation (ICRA), Seattle, WA, USA, 26–30 May 2015; pp. 1055–1062. [Google Scholar]
- Sensinger, J.W.; Lipsey, J.H. Cycloid vs. Harmonic Drives for Use in High Ratio, Single Stage Robotic Transmissions. In Proceedings of the 2012 IEEE International Conference on Robotics and Automation, Saint Paul, MN, USA, 14–18 May 2012; Volume 60611, pp. 4130–4135. [Google Scholar]
- Townsend, W.T.; Guertin, J.A. Teleoperator Slave—WAM Design Methodology. Ind. Robot Int. J. 1999, 26, 167–177. [Google Scholar] [CrossRef]
- Rooks, B. The Harmonious Robot. Ind. Robot Int. J. 2006, 33, 125–130. [Google Scholar] [CrossRef]
- Whitsell, B.; Artemiadis, P. Physical Human–Robot Interaction (PHRI) in 6 DOF With Asymmetric Cooperation. IEEE Access 2017, 5, 10834–10845. [Google Scholar] [CrossRef]
- Lee, H.; Lee, B.; Kim, W.; Gil, M.; Han, J.; Han, C. Human-Robot Cooperative Control Based on PHRI (Physical Human-Robot Interaction) of Exoskeleton Robot for a Human Upper Extremity. Int. J. Precis. Eng. Manuf. 2012, 13, 985–992. [Google Scholar] [CrossRef]
- Pervez, A.; Ryu, J. Safe Physical Human Robot Interaction-Past, Present and Future. J. Mech. Sci. Technol. 2008, 22, 469–483. [Google Scholar] [CrossRef]
- Li, H.; Liu, W.; Wang, K.; Kawashima, K.; Magid, E. A Cable-Pulley Transmission Mechanism for Surgical Robot with Backdrivable Capability. Robot. Comput. Integr. Manuf. 2018, 49, 328–334. [Google Scholar] [CrossRef]
- Zinn, M.; Roth, B.; Khatib, O.; Salisbury, J.K. A New Actuation Approach for Human Friendly Robot Design. Int. J. Robot. Res. 2004, 23, 379–398. [Google Scholar] [CrossRef]
- Morris, M.M.; Shoham, M.; Nahon, M. Applications and Theoretical Issues of Cable-Driven Robots. In Proceedings of the Florida Conference on Recent Advances in Robotics, Boca Raton, FL, USA, 21–22 May 2009; pp. 1–29. [Google Scholar]
- Saric, A.; Xiao, J.; Shi, J. Reducing Uncertainty in Robotic Surface Assembly Tasks Based on Contact Information. In Proceedings of the 2014 IEEE International Workshop on Advanced Robotics and its Social Impacts, Evanston, IL, USA, 11–13 September 2014; pp. 94–100. [Google Scholar]
- Phan, S.; Lioulemes, A.; Lutterodt, C.; Makedon, F.; Metsis, V. Guided Physical Therapy through the Use of the Barrett WAM Robotic Arm. In Proceedings of the 2014 IEEE International Symposium on Haptic, Audio and Visual Environments and Games (HAVE) Proceedings, Richardson, TX, USA, 10–11 October 2014; pp. 24–28. [Google Scholar]
- Vicentini, F.; Pedrocchi, N.; Malosio, M.; Molinari Tosatti, L. SafeNet: A Methodology for Integrating General-Purpose Unsafe Devices in Safe-Robot Rehabilitation Systems. Comput. Methods Programs Biomed. 2014, 116, 156–168. [Google Scholar] [CrossRef] [PubMed]
- Zakeri, F.; Hirobe, T.; Akbari Noghabi, K. Biological Effects of Low-Dose Ionizing Radiation Exposure on Interventional Cardiologists. Occup. Med. 2010, 60, 464–469. [Google Scholar] [CrossRef]
- Luo, H.; Tang, Y.G.; Shen, J. A Study on Drive Capstan Stiffness of Cable-Driven Picking Manipulator. Adv. Mater. Res. 2012, 605–607, 1113–1119. [Google Scholar] [CrossRef]
- Xie, X.; Qi, C.; Tan, R.; Fan, D. Design and Performance Analysis of a Many-to-One Configuration Precise Cable Drive Mechanism with High Precision and Large Torque. Proc. Inst. Mech. Eng. Part C J. Mech. Eng. Sci. 2019, 233, 5903–5915. [Google Scholar] [CrossRef]
- Mazumdar, A.; Spencer, S.J.; Hobart, C.; Dabling, J.; Blada, T.; Dullea, K.; Kuehl, M.; Buerger, S.P. Synthetic Fiber Capstan Drives For Highly Efficient, Torque Controlled, Robotic Applications. In IEEE Robotics and Automation Letters; IEEE: Piscataway, NJ, USA, 2016; pp. 554–561. [Google Scholar]
- Rahmati, Z.; Behzadipour, S. Analysis and Design of a Cable-Driven Mechanism for a Spherical Surgery Robot. In Proceedings of the 2015 22nd Iranian Conference on Biomedical Engineering (ICBME), Tehran, Iran, 25–27 November 2015; pp. 221–226. [Google Scholar]
- Chua, J.Y. Design of a Wearable Cobot; The Florida State University: Tallahassee, FL, USA, 2006. [Google Scholar]
- Lu, Y.; Fan, D. Non-Intervene Cable Wrapping Method for Precise Cable Drive. In Proceedings of the 2012 International Conference on Optoelectronics and Microelectronics, Changchun, China, 23–25 August 2012; pp. 378–383. [Google Scholar]
- Jung, J.H.; Pan, N.; Kang, T.J. Generalized Capstan Problem: Bending Rigidity, Nonlinear Friction, and Extensibility Effect. Tribol. Int. 2008, 41, 524–534. [Google Scholar] [CrossRef]
- Jung, J.H.; Pan, N.; Kang, T.J. Capstan Equation Including Bending Rigidity and Non-Linear Frictional Behavior. Mech. Mach. Theory 2008, 43, 661–675. [Google Scholar] [CrossRef]
- Desai, J.P.; Howe, R.D. Towards the Development of a Humanoid Arm by Minimizing Interaction Forces through Minimum Impedance Control. In Proceedings of the Proceedings 2001 ICRA, IEEE International Conference on Robotics and Automation (Cat. No.01CH37164), Seoul, Korea, 21–26 May 2001; Volume 4, pp. 4214–4219. [Google Scholar]
- Pineda Rico, Z.; Lecchini-Visintini, A.; Quian Quiroga, R. Iterative Feedback Tuning for the Joint Controllers of a 7-DOF Whole Arm Manipulator. In Proceedings of the 2012 IEEE 51st IEEE Conference on Decision and Control (CDC), Maui, HI, USA, 10–13 December 2012; pp. 544–549. [Google Scholar]
- Rico, Z.P. The WAM Arm: Modelling, Control and Its Application in a HMI Based on Gaze Tracking; University of Leicester: Leicester, UK, 2014. [Google Scholar]
- Colome, A.; Planells, A.; Torras, C. A Friction-Model-Based Framework for Reinforcement Learning of Robotic Tasks in Non-Rigid Environments. In Proceedings of the 2015 IEEE International Conference on Robotics Automation (ICRA), Seatle, WA, USA, 26–30 May 2015; pp. 5649–5654. [Google Scholar] [CrossRef][Green Version]
- Khan, Z.A.; Chacko, V.; Nazir, H. A Review of Friction Models in Interacting Joints for Durability Design. Friction 2017, 5, 1–22. [Google Scholar] [CrossRef]
- Lu, Y.; Fan, D. Transmission Backlash of Precise Cable Drive System. Proc. Inst. Mech. Eng. Part C J. Mech. Eng. Sci. 2013, 227, 2256–2267. [Google Scholar] [CrossRef]
- Baser, O.; Ilhan Konukseven, E. Theoretical and Experimental Determination of Capstan Drive Slip Error. Mech. Mach. Theory 2010, 45, 815–827. [Google Scholar] [CrossRef]
- Werkmeister, J.; Slocum, A. Theoretical and Experimental Determination of Capstan Drive Stiffness. Precis. Eng. 2007, 31, 55–67. [Google Scholar] [CrossRef]
- Xie, X.; Qi, C.; Zhang, L.; Fan, D. Analytical and Experimental Research on Transmission Backlash in Precise Cable Drive for an Electro-Optical Targeting System. Adv. Mech. Eng. 2019, 11, 168781401986605. [Google Scholar] [CrossRef]
- Hwangbo, J.; Tsounis, V.; Kolvenbach, H.; Hutter, M. Cable-Driven Actuation for Highly Dynamic Robotic Systems. In Proceedings of the 2018 IEEE/RSJ International Conference on Intelligent Robots and Systems (IROS), Madrid, Spain, 1–5 October 2018; pp. 8543–8550. [Google Scholar]
- Mohamed, M.I.; Hasan, E.H.; Aggag, G. Study of Creep Behavior of Load Cells. Meas. J. Int. Meas. Confed. 2009, 42, 1006–1010. [Google Scholar] [CrossRef]
- Holdsworth, S.R. Constitutive equations for creep curves and predicting service life. In Creep-Resistant Steels; Elsevier: Amsterdam, The Netherlands, 2008; pp. 403–420. ISBN 9781845691783. [Google Scholar] [CrossRef]
- Makabe, M.; Kohashi, T. High Accurate Creep Compensation Method for Load Cell. In Proceedings of the SICE Annual Conference 2007, Takamatsu, Japan, 17–20 September 2007; pp. 29–36. [Google Scholar]
- Ohtsuka, A.; Koyama, T.; Kohashi, T.; Adachi, M. Digital Creep Compensation Method for Load Cell in Various Loading Patterns. In Proceedings of the ICCAS-SICE 2009, Fukuoka, Japan, 18–21 August 2009; pp. 369–373. [Google Scholar]
- Chao, W.Y.; Xin, H.Y.; Wei, W.; Rong, L.J. Frictional Analysis of Deep-Groove Ball Bearings with Varying Circumference Radial Preloads. Adv. Mech. Eng. 2017, 9, 168781401770389. [Google Scholar] [CrossRef]
- Wang, Y.; Lin, F.; Jiang, H.; Yuan, W. Investigation on Frictional Characteristic of Deep-Groove Ball Bearings Subjected to Radial Loads. Adv. Mech. Eng. 2015, 7, 168781401558611. [Google Scholar] [CrossRef]





















| Analog Input | Digital Input | ||
|---|---|---|---|
| Number of channels | 8 differential or 16 single-ended | Number of channels | 4 |
| ADC (Analogue to digital Converter) resolution | 16 bits | Number of counters | 2 |
| Max. single sample rate | 250 kS/s | Resolution | 32 bits |
| Max. multichannel sample rate | 250 kS/s | Internal base clocks | 80 MHz, 20 MHz, 0.1 MHz |
Publisher’s Note: MDPI stays neutral with regard to jurisdictional claims in published maps and institutional affiliations. |
© 2021 by the authors. Licensee MDPI, Basel, Switzerland. This article is an open access article distributed under the terms and conditions of the Creative Commons Attribution (CC BY) license (https://creativecommons.org/licenses/by/4.0/).
Share and Cite
Torres Charry, G.; Gómez Mendoza, J.B. An Experimental Test Bench for Cable-Driven Transmission. Machines 2021, 9, 83. https://doi.org/10.3390/machines9050083
Torres Charry G, Gómez Mendoza JB. An Experimental Test Bench for Cable-Driven Transmission. Machines. 2021; 9(5):83. https://doi.org/10.3390/machines9050083
Chicago/Turabian StyleTorres Charry, Giovanni, and Juan Bernardo Gómez Mendoza. 2021. "An Experimental Test Bench for Cable-Driven Transmission" Machines 9, no. 5: 83. https://doi.org/10.3390/machines9050083
APA StyleTorres Charry, G., & Gómez Mendoza, J. B. (2021). An Experimental Test Bench for Cable-Driven Transmission. Machines, 9(5), 83. https://doi.org/10.3390/machines9050083

