Next Article in Journal
Analysis of Overturning and Vibration during Field Operation of a Tractor-Mounted 4-Row Radish Collector toward Ensuring User Safety
Previous Article in Journal
Investigation on Finishing Characteristics of Magnetic Abrasive Finishing Process Using an Alternating Magnetic Field
 
 
Font Type:
Arial Georgia Verdana
Font Size:
Aa Aa Aa
Line Spacing:
Column Width:
Background:
Article

Multibody-Based Piano Action: Validation of a Haptic Key †

Mechatronic, Electrical Energy, and Dynamic Systems (MEED), Institute of Mechanics, Materials and Civil Engineering (iMMC), Université Catholique de Louvain, 1348 Louvain-la-Neuve, Belgium
*
Author to whom correspondence should be addressed.
This paper is an extended version of our paper published in 12th International Symposium on Linear Drives for Industry Applications (LDIA), 2019.
Machines 2020, 8(4), 76; https://doi.org/10.3390/machines8040076
Submission received: 29 September 2020 / Revised: 10 November 2020 / Accepted: 13 November 2020 / Published: 17 November 2020

Abstract

A piano key prototype actuated by a custom-made linear actuator is proposed to enhance the touch of digital pianos by reproducing the force feedback of an acoustic piano action. This paper presents the design and the validation of the haptic device. The approach exploits a multibody model to compute the action dynamics and the corresponding force on the key in real time. More specifically, a grand piano model that includes the five action bodies, its geometry and the specific force laws, is computed in the haptic device. A presizing step along with Finite Element Method (FEM) analysis produced an especially made actuator satisfying the design requirements, in particular the highly dynamic nature of the force to be transmitted. Force peaks, up to 50 (N) in less than 20 (ms), are reachable with low power consumption. Compared to previous solutions: (i) the key physical characteristics are preserved; (ii) the feedback is based on a real-time multibody model that is easily configurable and interchangeable; (iii) an experimental validation of the actuator within the prototype is developed and demonstrates its feasibility. The results confirm that the voice coil can produce suitable haptic feedback. In particular, rendering a grand piano action within the device shows promising haptic force profiles.

Graphical Abstract

1. Introduction

While playing on an acoustic piano, a pianist refers to an essential sensory information called the touch. The touch is largely caused by the dynamic behavior of the piano action, represented in Figure 1. Present-day digital keyboards offer the possibility to nuance the sound and feel a feedback thanks to simplified passive mechanisms. However, the result is far from reproducing the touch quality of the actions equipping traditional acoustic pianos.
This paper is based on a previous work [1]. Compared to [1], the multibody approach is described and the piano action model is presented. Interesting results are achieved with both this model and a simpler one, showing the easiness to switch from one model to another. Furthermore, the sensors implementation is detailed with a specific combination of two position sensors for the key movement.
In the literature, multiple attempts have created a force feedback key based on passive elements but few proposed a device that actively replicates the feeling of touch.
In 1990, Cadoz [2] designed a multiple force feedback keyboard. His haptic device used a custom sliced motor for each key along with contemporary technologies. It includes two mechanical morphologies to be reproduced: the piano or organ. No details are given about the models.
In 1993, Gillespie [3] worked on virtual environment simulations to reproduce the grand piano feeling. Focused on modeling tools able to take into account the changing kinematic constraints, the authors used simplified descriptions of the action. The two models only include the key and the hammer, under two motion phases. An electromechanical hardware integrating voice-coil motors provided the haptic rendering.
More recently, in 2006, Oboe [4] demonstrated that a feedback is feasible using a reduced dynamic simulator with event management. Furthermore, he has built a prototype using low-cost components as a voice coil motor taken from standard hard disk drives. However, the dynamic model only considers the hammer and the key.
In 2007, Lozada [5] developed a haptic interface with an embedded system based on a magneto-rheological fluid. Thanks to a complete analytical model, the system was able to damp the key motion according to a complete dynamic description of the piano action behavior. Six degrees of freedom are computed in the dynamic model, including friction force laws and unilateral contacts. The main drawbacks is due to the actuator passivity: the magneto-rheological fluid brakes the movement but is unable to apply an active force on the key.
In 2013, Horváth [6] presented an analytical and experimental investigation of piano action modeling. The handmade analytical model is a priori characterized by measurements on a real action. It considers the check and latching phases independently without considering a real-time functioning model. Using a custom-made voice coil actuator, the authors also focused on a detailed study of the magnetic field inside the device.
In 2016, Miedema [7] built a prototype that reproduced different force-displacement piano profiles via the use of a hard disk voice coil. The final layout differs from an usual piano key. Force profiles that were pre-measured on acoustic pianos are used instead of a dynamic model of the action.
With the same approach, Adamou [8] proposed in 2019 a reproduction of a keyboard instrument touch. First, he measured the static and dynamic forces acting on the key while being pressed and depressed. Second, he used low cost components to implement a prototype that can reproduce the measured force profiles. No experimental results have been shown so far.
To summarize, various attempts were made to design a force-feedback piano key using different approaches, layouts and actuation types. In this work, we present the design and the validation of a haptic feedback device aimed at reproducing the touch of a grand piano action. As far as we are concerned, our approach brings three main advantages compared to previous solutions. (i) First of all, our device keeps the key main physical characteristics in terms of dimensions and tactile feeling. Most previous research has resulted in devices quite different from a piano keyboard (i.e., metallic and shorter key [2], rotoid key joint [5], ...). By physically keeping the original key, it enhances the quality of the human interaction as it maintains the conditions of play close to that of an acoustic piano. This paper proposes a solution that preserves the key physical characteristics, as view and felt by the pianist.
(ii) Contrary to the simplified models used in preceding attempts [3,4,6,8], our dynamic model [9] benefits from a multibody approach to compute very precisely the action force to be reproduced by the haptic device. This model perfectly represents the real morphology of the system with all its physical parameters. Moreover, it is fully configurable. For example, the (de)regulation of the action can be processed in real time. In addition, other multibody models of any piano action can be computed inside this haptic device. None of the previous solutions used such a detailed piano action dynamical model, which is essential to capture the action transient dynamical behavior.
(iii) Furthermore, the homemade linear actuator is built as a voice coil based on a presizing step and then on FEM simulations to fulfill the dynamic requirements. Its functioning has been ascertained through experimental validations. Few of previous solutions [4,5,7] showed experimental characterizations, and none presented results of the device feedback during a real key struck. On top of that, none of the previous solutions showed the ability to swap between several models. In this paper, two models are used in the prototype and validated, see Section 3.
The paper is organised as follows. Section 2 describes the approach followed: in Section 2.1, the haptic principle is presented with the prototype set-up and its specifications. Section 2.2 introduces the multibody modeling of the grand piano action. Description and analysis of the sensors used are explained in Section 2.3. The electromagnetic linear actuator layout is developed in Section 2.4. Section 3 deals with the results of an experimental validation with the prototype. Section 4 proposes a discussion on the results and the approach. The last Section 5 concludes the paper and suggests future improvements and perspectives for the prototype.

2. Materials and Methods

2.1. Haptic Piano Key

As depicted in Figure 2, the idea consists of replacing the piano action by a linear actuator which will apply on the key the same force F act as that produced by the action. Assuming that its dynamic model of Section 2.2, driven by the key kinematics captured by position sensors, is able to compute in real time the force on the key F mod , the electromagnetic linear actuator of Section 2.4 transmits the corresponding force F act to the key.
Consequently, the force F haptic felt by the pianist’s finger should be identical to that of a real acoustic grand piano. In the proposed design, most of the key characteristics are preserved, with the same felt stops, pivot, visual aspect and tactile feeling. Its mass, inertia and center of mass have been modified only slightly due to the actuator-key assembly.

2.1.1. Specifications

To be efficient, the proposed haptic system requires the force feedback to be continuously applied to the key. Because of the different sensors in the human somatosensory system [10], the update rate of the haptic rendering should be high enough. Usually, a frequency of at least 1 (kHz) provides a realistic and stable feedback. This implies the actuator to act less than 1 (ms) [11] after the corresponding key kinematic capture.
When playing, the amount of force that the pianist applies to the key varies widely depending on the nuance, but also on the pianist experience [12]. High peaks, up to 25 (N), at fortissimo are possible between the pianist finger and the key [13]. In some cases, the high dynamics of a pianist playing may cause the reaction force on his finger to vary from 0.5 (N) up to 38 (N) in a few milliseconds [14].
Askenfelt extensively measured the kinematics of a grand piano action [15,16] with a focus on timing properties and key-hammer movement. It follows from these observations that the key motion can reach a speed of 0.6 (m/s) and that the complete key up-and-down motion can last less than 100 (ms).
In addition, the creation of the haptic device involves several challenging developments:
  • Conserve the key main characteristics: dimensions, mass, tactile feeling as well as visual aspects. Indeed, keeping the pianist environment close to the grand piano conditions enhances the quality of the physical interaction [17];
  • Limit various design parameters: mass, volume and energy consumption of the device;
  • Fit the actuator within the key width: As a piano keyboard is composed of 88 keys, this specification will allow the device to be assembled within a multi-key prototype.

2.1.2. Experimental Set-Up

The prototype is built from a real acoustic piano key for which the action is outright suppressed and replaced by the designed actuator, see Figure 3. The associated embedded controller computes, via a multibody model, the force to apply to the key, based on the sensors measurements, as depicted in Figure 2. The external force sensor placed at the key front is not required for the prototype functioning, but can be used for futures validations.
Figure 4 shows the actuator main components. An Additive Manufacturing Printed (AMP) piece, called coil support (3), makes a rigid connection between the key (2) and the coil (4), ensuring the force transmission from the actuator (1) to the user’s finger via the original wooden key. AMP technology was chosen for its ability to achieve complex geometries and for its low mass density, using the common thermoplastic polymer ABS as material. The actuator structure is made of two iron walls (6) on which permanent magnets (PMs) are glued. The two sides are facing each other and two spacers (5) ensure a constant gap in which the coil is inserted.

2.2. Piano Action Modeling

Invented at the beginning of the 19th century by the French instrument maker Sebastian Erard, the double escapement action of Figure 1 is now found in every grand piano. This section presents the basic principles of multibody approach using this specific action as illustrative case. Needless to say, the same modeling technique can be applied to any action topology.

2.2.1. Double Escapement Model

The model of the grand piano action [9], containing the main elements visible in Figure 5, is based on the following reasonable hypotheses:
  • the motion is planar;
  • the revolute joints are geometrically perfect, i.e., no backlash;
  • the rotation between the key and the keyboard fixed frame is considered as a perfect revolute joint around a fixed axis, namely the key pivot number 12 in Figure 5;
  • the string force on the hammer is assimilated to that an equivalent vertical spring-damper system, i.e., a force transmitter;
  • the interaction between the damper and the string has not been modeled. The damper is the element responsible for muting the sound by blocking the string once the key is released. Its motion plays a secondary role in the feedback touch.
Let us note that the force applied by the action on the key is located at one point on the key pilot, number 11. in Figure 5, between the key and the wippen.
In Figure 5, the five degrees of freedom of the grand piano action are represented by circled arrows. Three bodies out of five are articulated on the keyboard frame: the key, the wippen and the hammer; while the jack and the repetition lever rotate with respect to the wippen. Two return springs—4. in Figure 5—and several stops condition the motion of these bodies.
The detailed functioning of the action can be found in the literature [9,18]. For the scope of this work, an important point is that all the contacts and forces occurring in the action are somehow felt by the pianist when pressing the key. This force perceived by the finger highly contributes to his feeling called the touch.
The multibody model of the piano action was recently developed and its kinematics experimentally validated in our lab [19].

2.2.2. Multibody Approach

Multibody dynamics is used in engineering to predict the motion of any kind of polyarticulated systems composed of bodies connected by joints. Using the symbolic multibody software Robotran [20] which uses a relative joint coordinates approach, the Newton-Euler equations of motion can be produced and then solved for each body of the system.
More precisely, the so-called direct dynamics of a multibody system described by the relative coordinates is the computation of the generalized joint accelerations q ¨ for a given configuration (q, q ˙ ) of the system to which forces and torques are applied. Synthetically, the equations of motion can be written in the following well-known form.
M ( q , δ ) q ¨ + c ( q , q ˙ , δ , f r c , t r q , g ) = Q ( q , q ˙ )
where for a system of n joints,
  • q [ n 1 ] are the relative generalized positions coordinates;
  • q ˙ [ n 1 ] are the relative generalized velocities coordinates;
  • q ¨ [ n 1 ] are the relative generalized accelerations coordinates;
  • M [ n n ] is the symmetric generalized mass matrix of the system;
  • c [ n 1 ] is the non linear dynamic vector which contains the gyroscopic, centripetal, Coriolis and gravity terms as well as the contribution of external forces f r c and torques t r q ;
  • δ [ 10 n 1 ] gathers together the dynamic parameters of the system, i.e., the masses, center of mass and inertia matrices;
  • Q [ n 1 ] isolates the generalized joint forces and torques, i.e., the effort in the direction of the joint motion.
The resolution of the linear system (1) provides the joint accelerations q ¨ . Velocities and positions are then found by time integration to find the motion of all bodies. Finally, all the forces in the system are computed.
As presented in this section, a piano action can be modeled by a multibody approach to take into account the complex mechanism morphology. By solving the equations of motion (1), the dynamic force F mod in Figure 2 applied by the wippen to the key can be computed, given an imposed key motion.

2.3. Sensors

To perform active control on the device, its position has to be measured in real time. This is achieved using 2 Hall effect sensors Allegro A1301 [21] placed in opposition on the key in Figure 3, one at the front and the rear, measuring respectively the voltages U front and U rear .
Hall sensors use magnetic field measurements which is not linear versus displacement. However, a chosen combination U combined between U front and U rear allow obtaining experimentally a linear relation:
U combined = k · ( U front 2 U rear 2 )
where k is a proportionality factor determined by calibration. The U combined can then be converted to a position measurement and finally to the key angle via simple trigonometry. The Figure 6 shows the corresponding curves, for a slow movement of the key.
For this validation, a laser sensor SICK OD2-P30W04IO [22] measured the key vertical displacement precisely but with a response time above 1 (ms), which is too slow for a real-time application.
Furthermore, when faster up-and-down movements are measured, a hysteresis phenomenon appears in Figure 7. The resulting combined measurements can still be approximated by a linear function. The maximum deviation between the linear function and U combined represents 8% of the total measured value range.
These Hall effect analog sensors are sampled at high frequency, 23 (kHz) for our device. However, the noise in the key position measurements has to be filtered, as it induces errors in the velocity computation. Indeed, starting from the position, a numerical time derivative is used to compute the key velocity, which is needed as the kinematic input of the multibody model described in Section 2.2.
For this first study, a simple but efficient linear regression filtering approach is applied, as revealed in Section 3.3.

2.4. Linear Actuator Design

The device actuation is achieved using a custom linear electromagnetic actuator, and more specifically a voice coil. Several previous works [6,7,8,23] used the same kind of actuation. Electromagnetic actuators prove remarkably adaptable to the challenges of modern digital instrument design [24]. The actuator needs to fulfill the specifications of Section 2.1.1 in order to reproduce accurately the force feedback feeling of touch. This section brings out the actuator design procedure that follows three steps: analytical presizing, verification by FEM and simulation analysis.

2.5. Working Principle

A current flowing in a conductor placed in a magnetic field creates a proportional force:
F a c t = i d l × B ( N )
where F a c t is the created force (N), i the current (A) in the conductor, l is its length (m) and B is the magnetic field (T).
Figure 8 shows the PMs that create the magnetic field and the iron pieces that are placed around the magnets to close their magnetic field. The copper coil is attached to the piano key on which the actuator force is acting.
The actuator is considered linear because of the small key rotation angle of 1.7 ( ) maximum. The actuator analytical equations are the same of a classical DC motor but adapted to a linear movement:
V = R i + L d i d t + K f x ˙ ( V )
F a c t = K f i ( N )
where V is the voltage (V) applied on the coil, R its resistance ( Ω ), i the electrical current (A) in the coil, L its inductance (H), K f is the force constant (N/A), x ˙ the coil vertical velocity (m/s) and F a c t is the force (N) developed by the actuator through (3).
F a c t of (5) is proportional to the current i and independent of the position because of the actuator morphology and the coil small displacement. A coil—considered of a constant length—is placed inside a—assumed constant—magnetic field, and therefore the formula of (3) simply becomes (5).
If the magnetic field B of the PMs is considered purely normal, the field is assumed to be constant between the magnets and null outside. This constant magnitude can be expressed as:
B = B r 1 + e D ( T )
where B r is the remanent magnetic field (T) of the PMs, e is the distance (m) between opposite magnets and D is their width (m).
Considering this hypothesis and using (3) and (5), one can find the relationship between K f and the magnetic field B:
K f = 2 N l B ( N / A )
where N is the number of turns in the coil. Indeed, the force F a c t will be proportional to the current i and the magnetic field B but also to the coil wire length, which is 2 N l . The constant K f can be deducted from the actuator model of (7) or from experimental measurements, see Section 3.1.
For the optimal design of the next section, a current density j of 5 (A/mm2) inside the coil is considered with a filling factor of 0.5. N will be determined during simulation analysis in Section 2.6 to adjust the current and voltage values.

2.5.1. Optimal Design

An optimisation based on the analytical model of (4) and (5) and performed by a genetic algorithm is used to size the actuator.
The two optimisation variables are the coil thickness l b and height h b represented in Figure 9. A constant air gap of 1 (mm) on each side is imposed to prevent contact between the moving coil and the magnets. l is the total length, imposed to 10 (cm) as we assume that the actuator fits into the initial key length. D is the magnet width, which will depend on coil thickness l b .
The objective function to be minimized is the actuator energy dissipation E j (J) for a specific desired force profile.
For this optimisation, two different force profiles corresponding to F mod of Figure 2 have been used. These two are shown in Figure 10, one with two high intensity peaks corresponding to a double blow play and the other with a softer play. The double blow profile, which is a highly demanding one dynamically speaking, allows to cover most of pianists possible inputs. The soft profile corresponds to a case in which the key is struck and afterwards remains pressed at the key full dip. Optimising with these two profiles ensures the actuator ability to reproduce the complex dynamics happening in a piano action.
To complete the optimisation process, two constraints have to be taken into account.
  • Key thickness is the maximum width of the actuator:
    2 D + l b + 2 ( mm ) < key thickness = 14 ( mm )
  • Coil mass m, which depends on h b and l b , should not increase the key mass:
    m < 0.075 ( kg )
Iron pieces width is not included in the first constraint as, in the case of adjacent keys, the magnetic field will extend on the neighboring PMs.
The optimisation problem can be mathematically formulated as follows.
min h b , l b E j ( h b , l b ) s . t . ( h b , l b ) R + 2 D + l b + 2 ( mm ) < key thickness = 14 ( mm ) m ( h b , l b ) < 0.075 ( kg )
The results of this presizing step can be found in Table 1. The final values E j are small and differ logically depending on the applied force profile. Even for a very demanding output, the mean power dissipated due to Joule losses P j , m e a n stays below 0.22 (W), which will not cause overheating risks on the coil.

2.5.2. FEM Validation

FEM simulation allows verifying that such pre-designed actuator meets the specifications of Section 2.1.1. Phenomena such as border effects and magnetic saturation inside the iron pieces that were neglected in the analytical model of the previous section are now taken into account. Note that, as the actuator is symmetrical around the two planes, the FEM analysis has been computed on the quarter of the actuator only, in order to divide by four the FEM computation time. By imposing the adequate boundary conditions on the symmetry planes, this is equivalent to modeling the entire actuator.
DC force is developed when applying a constant current in the coil. When the key is moving, the coil may comes closer to the magnets border where magnetic field is slightly reduced. This implies a negligible force reduction of 1.5% for a maximal displacement of 7 (mm) and for an arbitrary coil current density of 5 (A/mm2).
Iron pieces are disposed around the magnets in order to close their magnetic field. The magnetic field through the iron will saturate depending on the iron thickness. Consequently, the air gap magnetic field will be reduced as shown in Figure 11. With the iron thickness of 40 (mm), the magnetic field reaches 95% of its maximum value. In the prototype, with iron pieces 12 (mm) thick, the magnetic saturation causes a reduction of 18% of the magnetic flux density. The obtained field value in the air gap is 0.75 (T). For future works, in case of several adjacent keys, the iron pieces are replaced by the magnets of the adjacent actuators. Therefore, our actuator still fit in one-key width.
Estimated actuator parameters can be found in summary Table 2 in Section 3.1.

2.6. Simulation Analysis

Actuator theoretical behavior is developed using its constitutive Equations (4) and (5) and parameters found thanks to FEM validation. Figure 12 depicts the examination of all voltage terms which correspond to the soft force profile of Figure 10. The dominant term appears to be the back-emf K f x ˙ . Most of the time, the total voltage V has an opposite sign compared to the current, observable by the R i term in Figure 12. This means a negative electrical power that illustrates the actuator braking mode.
No explicit constraints are imposed about maximal current or voltage during the optimisation. For a copper conductor diameter of 0.33 (mm) and a filling factor of 0.5, the number of coil turns is imposed at N = 218 to keep the voltage and current values under usual range of maximum 2 (A) and 15 (V).
Globally, the actuator force F act is able to follow the required output F mod both in amplitude and in dynamics, see Figure 13, for the two force profiles considered. The difference between the red and the blue curves is due to the coil dynamics:
F a c t = F m o d m c o i l ( x ¨ + g ) ( N )
where x ¨ is the coil acceleration (m/s2) g is the gravity constant (m/s2) and m c o i l is the coil mass (kg). Indeed, the actuator needs to develop the model force F m o d as well as to counteract its own dynamics due to the coil mass. Figure 13 illustrates that the coil dynamics is non negligible because high values are reached, especially for the double blow. Equation (8) has been taken into account to compute the current i in Figure 12 according to (5).
As shown in Figure 14, Root Mean Square (RMS) values of coil current density j RMS for the two profiles is less than 2 (A/mm2). In fact, the maximum j stays low for this topology. To improve the actuator design and decrease its size, the maximum current density in the coil could be explicitly constrained at a higher value during the optimisation process. In this case, more investigations are needed to study the actuator thermal behavior to evaluate this maximal j.

3. Results

This section is dedicated to the experimental characterisations of the device. First, an analysis of the actuator parameters is performed. Second, the haptic prototype is validated dynamically with a simple multibody model. Finally, the system is validated with the double escapement piano action.

3.1. Actuator Parameters

As presented in Table 2, main actuator parameters can be measured, which provides values that seem close between the three design steps: presizing, FEM and measurements. However, some differences can be observed.
Coil is lighter in the prototype due to the simplified geometry used during optimisation. Hence, the final key inertia is finally only increased by 3%, compared to a grand piano key. Electrical resistance has increased, possibly because of the coil physical connections. Inductance value does not seem to vary substantially.
The force constant K f in (5) is estimated by measuring the actuator force for different values of input current i. The model value of (7) gives the theoretical value of 32.7 (N/A). Figure 15 presents the force-current relation, with a measured mean value around 35.72 (N/A), for a constant horizontal key position. The differences between the results comes from the number of coil turns (more than 200) which slightly differs in the three steps.
Figure 16 shows the force-position relation, for a constant current i = 0.5 (A). Due to the PMs edge effects, the force reduction at the maximal and minimal key positions is about 6% of the maximum force.

3.2. Dynamic Validation

In a first validation step, a simple dynamic model of a key connected to a spring—i.e., no piano action—is used in the prototype. When the key reaches a certain position, the spring is virtually disconnected to simulate a kind of escapement mechanism.
Manually imposed key position is shown in Figure 17. A corresponding proportional force, depicted in blue in Figure 18, is applied by the actuator, until the escapement.
The actual coil current was measured by an external sensor, from which we can compute through (5) the actuator force, called F act , measured in Figure 18. The measured force developed by the actuator follows the desired F mod curve with small differences during transient states and peaks.
In Figure 18 around 4.5 (s) and 6.2 (s), F a c t , m e a s u r e d shows two peaks while the F m o d only show one. This difference is due to the contribution of the coil dynamics because the latter has a non-negligible vertical acceleration x ¨ at these times. Referring to Equation (8), the coil dynamics m c o i l ( x ¨ + g) is subtracted from F m o d to get F a c t . Therefore, the two forces are obviously different but this does not influence the output force F h a p t i c , given that the key is physically present in the prototype and that it applies its own dynamics.
The actuator is open-loop feed-forward controlled: a current is applied in the coil thanks to a Pulse Width Modulation (PWM) approach on the voltage. The force is proportional to the current as in Equation (5). A closed-loop controller could be considered, although it could affect the system reactivity and the real-time computation.
The reference voltage V r e f is the application of Equation (4):
V r e f = R i r e f + L d i r e f d t + K f x ˙ f i l t ( V )
where i r e f = F act K f is the reference current flowing through the coil and x ˙ f i l t is the coil filtered velocity.
As requested during the optimisation of Section 2.5.1, the actuator is energy efficient: the maximum current density is low, 3.19 (A/mm2) during this actuator dynamic validation. The corresponding mean power due to Joule losses P j , m e a n is 0.99 (W), which will not overheat the coil. It confirms the first simulated results illustrated in Figure 14.

3.3. Validation with the Piano Action Model

To validate the haptic feedback, the piano action model of Section 2.2 is used in the prototype, as explained in Section 2.1. This double escapement model is computed in real time in the embedded controller.
Figure 19 and Figure 20a,b show respectively the position, velocity and acceleration of the key applied manually during the experiment. Key is fully pressed and released, at low speed of maximum 0.03 (m/s).
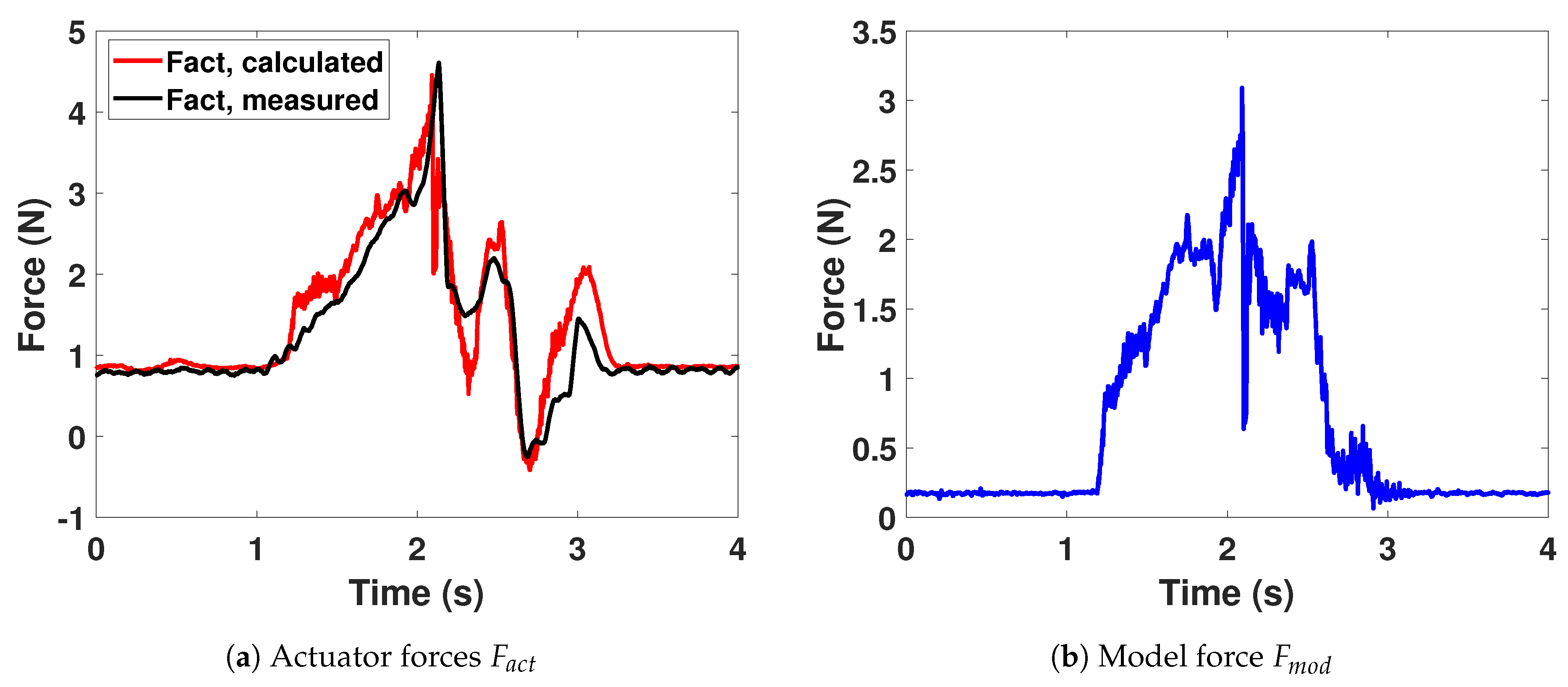
As in Section 3.2, the actuator force F act , measured is estimated by an external coil current measurement. In Figure 21a, the measured force F act , measured follows the F act , calculated curve with small differences during transient states and peaks. F act , calculated is calculated from (5) with the desired current in the coil. The two curves should be identical, apart from the measurement errors. This results would suggest that a parameter of the actuator is imperfectly computed, which induces a difference in the coil current and thus in the output force. An other possibility is that the coil velocity is not perfectly estimated. This would influence the back-emf term K f x ˙ f i l t e r e d of (9) and induce errors in the output force.
Figure 21b shows the corresponding F mod that is quite different from the F act . Indeed, for this experiment, the coil acceleration of Figure 20b is non negligible and impact the output force through (8).
As one can observe, the model force F mod is quite noisy and contains high frequencies. These are mainly due to the multibody model itself, which contains stiff components and intermittent contacts with changing states. The model dynamics has still to be experimentally characterized and the force F mod compared to the force acting inside a real piano action.

3.4. Haptic Force Validation

The force felt by the pianist is F h a p t i c of Figure 2, which depends of course of F m o d and F a c t but also on the physical components of the prototype. To characterize F h a p t i c , an external actuator (Faulhaber LM1247) has been used to apply the same position-driven profile that corresponds to one full key dip at 0.01 (m/s). The F h a p t i c force can be deduced from the external actuator current measurement on both the Renner® demonstrator and the prototype, see Figure 22.
The result in Figure 23 is central as it shows the haptic force at the key tip versus key tip vertical position. Position zero refers to a key at rest and position 9.5 (mm) to a fully pressed, as suggested in [7]. From left to right: Phase A is the setting in motion of the action; Phase B corresponds to the upward movement of the action, while the hammer is getting closer to the string; The escapement occurs in Phase C, where a harsh point takes place, with an increased force until the hammer roller escapes from the jack; The key bottom contact appears in phase D with an increasing force.
The two profiles of Figure 23 show similar behaviors, which is particularly encouraging. Most of the differences are due to the physical components that differ between the prototype and the Renner® demonstrator. The contact between the key and the damper spoon is triggered—phase B—at a slightly shifted position, 3 (mm) instead of 4 (mm). The key bottom contact—phase D—is also different due to the fact that the green felt below the key, see Figure 22, is a little bit abraded in the prototype versus the Renner® demonstrator one.
The small difference in the force amplitude between 4 and 7 (mm)—phase B—and during escapement—phase C—is due to the force F m o d computed by the multibody model whose all parameters have not been experimentally characterized yet.
Despite theses differences, Figure 23 shows that the prototype designed throughout this paper is able to reproduce the F haptic force quite faithfully, i.e., the touch of a grand piano.

4. Discussion

A piano action is a complex multibody system which is composed of many different elements made of wood, felt, leather, metal and where intermittent contacts take place (e.g., hammer escapement). The interaction between the parts and with the external world (string, stops,...) delivers at the key tip a very specific feeling and haptic rendering to the finger that strongly participates to the touch. The latter plays a crucial sensory role for pianists. The virtual restitution of this mechanical touch is the aim of the developed haptic system.
To offer this sensory information, present-day digital keyboards offer the possibility to nuance the sound and feel a certain feedback via a simplified passive mechanism. If their keyboard offers the possibility to tune the sound through their haptic response, from the sensory point of view, the result is far from reliably reproducing the touch of the actions equipping traditional acoustic pianos.
Even with complex mechanical systems, current passive solutions can only globally reproduce the inertia and stiffness effects, but miss some fundamental haptic feelings related to the escapement and the repetition mechanisms. For example, just before hitting the string and producing the sound, the hammer escapes suddenly from the action via the so-called escapement mechanism. While pressing the key of an acoustic grand piano, experienced pianists are able to detect the escapement re-triggering necessary to provoke a fast note repetition. As discussed in [25], the haptic feedback corresponding to the key harsh points induced by the escapement is of prime interest to them.
Furthermore, an important aspect relates to the possibility to tune the action parameters, as a piano maker should do, at the pianists’ convenience and, ultimately, to switch between different types of actions at a glance, on the same keyboard.
Last but not least, the synchronization of the “virtual action–string” interactions with a sound model constitutes obviously a longer-term perspective that a research work should investigate in the future, by taking advantage of the real-time multibody model, particularly in terms of force amplitude triggering and duration.
Haptic devices interact with the human body through the complex human somatosensory system [26]. Both force feedback and tactile sensation are felt by the contact of the skin with objects. In this work, the tactile information—i.e., the texture and mass properties—are preserved as the key characteristics remains identical to the acoustic piano one.
The force feedback of the haptic device could be seen as an equivalent stiffness-viscosity-type force that can rapidly change with time. In fact, more generally, and in a more accurate way, the multibody model computes a reaction force that depends on the key position and the key velocity, but also on the action internal dynamics, which involves frictional contacts between bodies.
The mass and inertia of the key remain close to the real one, see Section 3.1 and Table 2. In other words, from a sensory point of view, the pianist sees and feels the same key at the end of his finger, as that of a real acoustic piano.
The simple but efficient linear regression filtering approach applied to filter the noise in the key kinematics produces profiles are reasonably smooth, even though this part of the study could be enhanced. Additional works actually deserves to be carried out in the next future to select the best filters to be used in real time inside a haptic device such as ours, for example using a Kalman filtering technique, as suggested in [27] for a linear actuator.
Finally, the prototype should be validated not only with a force-feedback approach as proposed in this paper but also on the basis of real pianists’ feelings. To achieve that, a multi-key prototype will be built on the basis of our current key design so that pianists may test our haptic device and play in an environment close to the real playing conditions.

5. Conclusions

For the pianist playing on an acoustic piano, the touch gives useful information that, along with the sound feedback, allows him to nuance his play. In this paper, the design and validation of an active haptic prototype is presented, which aims at reproducing the touch of an grand piano. A multibody model of the double escapement action is computed in real time in the device, the goal being to upgrade the force feedback response of digital keyboards.
In combination with sound feedback, the touch of a grand piano gives useful information for the pianist to nuance his play. However, current digital keyboard are equipped with passive mechanical systems whose dynamics fails to imitate the action feeling of the acoustic pianos.
To improve the sensation of the pianist, the force feedback of digital keyboard can be upgraded with a haptic force-feedback device, as suggested in this work. Instead of the mechanism, a real-time multibody model enables the actuator to apply the same dynamic force on the key to provide the same touch feeling as in an acoustic piano.
In the haptic prototype designed, the linear electromechanical actuator is based on the voice coil principle contained within one-key width. A specific care has been taken in the actuator design process, with three steps: presizing based on dimensional optimisation; electromechanical design verification by FEM techniques; validation by simulations and measurements.
As the optimisation aimed at reducing the losses, the mean power dissipated stays below 1 (W) even for a very demanding force profile, which will not cause overheating risks on the coil. A bi-objective optimisation could enhance the design by optimising the force-density along with minimizing the losses. Developing a thermal model of the actuator would also enhance the design process.
In the case of a force density optimisation, inserting a spring-based element between the key and its frame could alleviate the force to be produced. For instance, the spring could balance for the action equilibrium weight. Yet, the spring will introduce an oscillatory behavior [28] that, if not correctly taken into account in the model, could regrettably influence the touch.
Thanks to the proposed design, (i) the properties of the key (texture, mass, center of mass, inertia, kinematics) is the same as its acoustic equivalent, which is a unique attribute of this work with respect to the current haptic keyboard state-of-the-art; (ii) furthermore, the multibody approach allows, in addition to mimic the dynamics of a real action, to (de)regulate it or even to swap between different types of action. (iii) moreover, the homemade actuator is experimentally validated and answers some challenging problem requirements, especially in terms of action dynamics and speed. The custom design allows fortissimo nuances, with peak forces up to 50 (N) in less than 20 (ms).
Increasingly accepted by pianists, digital pianos would greatly benefit from these three advantages. Their keyboards could produce the same touch as their acoustic equivalent. The multibody model could be swapped between, for example, the grand and the upright piano, so that the pianist can experience both sensations with only one keyboard. The multibody approach and the real-time capabilities of our models make this possible. The homemade actuator is easy to fabricate and to assemble for several consecutive keys and aims at reproducing realistic active forces that current digital keyboard are unable to generate.
Moreover, proposing a haptic device in which a multibody model is computed in real time could embrace multiple other applications [29,30,31,32,33]. That being said, dealing with a complex dynamical model such as that of a piano action within a haptic keyboard represents a challenging and concrete application of this multibody-based approach.
Results with both a simplified model and a full double escapement piano action model illustrate the functioning of the haptic feedback. Actuator force follows the required dynamics for a manually applied kinematics. Besides, a validation with an external actuator shows that the prototype reproduces a haptic force felt at the pianist’s finger that is close to the force feedback a of grand piano action.
In the future, the multibody model of Section 2.2 will be dynamically validated with additional experiments on the mechanism of Figure 1. Then, the design of a multi-key prototype will allow carrying out experiments with pianists to validate the proposed concept in terms of touch and playing comfort.

Author Contributions

Conceptualization, S.T., B.D. and P.F.; methodology, B.D. and P.F.; software, S.T. and P.F.; investigation, S.T.; validation, S.T.; writing—original draft preparation, S.T.; writing—review and editing, B.D. and P.F.; supervision, P.F. All authors have read and agreed to the published version of the manuscript.

Funding

Sébastien Timmermans is FRIA Grant Holder of the Fonds de la Recherche Scientifique-FNRS, Belgium.

Acknowledgments

The authors would like to thank Quentin Desclée and Guillaume Paillot for their contributions.

Conflicts of Interest

The authors declare no conflict of interest.

Abbreviations

The following abbreviations are used in this manuscript:
AMPAdditive Manufacturing Printed
CADComputer Aided Design
FEMFinite Element Method
PMPermanent Magnet
PWMPulse Width Modulation

References

  1. Timmermans, S.; Desclée, Q.; Paillot, G.; Fisette, P.; Dehez, B. Application and Validation of a Linear Electromagnetic Actuator within a Haptic Piano Key. In Proceedings of the 12th International Symposium on Linear Drives for Industry Applications, Neuchatel, Switzerland, 1–3 July 2019; pp. 1–6. [Google Scholar]
  2. Cadoz, C.; Lisowski, L.; Florens, J.L. A modular feedback keyboard design. Comput. Music J. 1990, 14, 47–51. [Google Scholar] [CrossRef]
  3. Gillespie, B.; Cutkosky, M. Interactive dynamics with haptic display. In Proceedings of the 2nd annual symposium on Haptic Interfaces for Virtual Environment and Teleoperator Systems, ASME/WAM, New Orleans, LA, USA, 28 November–3 December 1993; p. 55. [Google Scholar]
  4. Oboe, R. A multi-instrument, force-feedback keyboard. Comput. Music J. 2006, 30, 38–52. [Google Scholar] [CrossRef][Green Version]
  5. Lozada, J.; Boutillon, X.; Hafez, M. Modélisations mécaniques de la touche de piano et de son imitation haptique. In Proceedings of the 8ème Congrès Français de Mécanique, Grenoble, France, 27–31 August 2007. [Google Scholar]
  6. Horváth, P. Towards to haptic keyboard: Modeling the piano action. In Mechatronics; Recent Technological and Scientific Advances; Springer Publishing: Cham, Switzerland, 2013; pp. 49–55. [Google Scholar]
  7. Miedema, W. Active Haptic Feedback within a Musical Keyboard. Master’s Thesis, University of Twente, Twente, The Netherlands, 2016. [Google Scholar]
  8. Adamou, D.; Chin, C.; Rovelli, D.; Szafián, M.; Wood, M.G.; Yanchev, B.; Bailey, N.; Muir, D. Analysis and Reproduction of Keyboard Instrument Touch. In Proceedings of the 8th International Scientific Meeting for the Study of Sound and Musical Instruments–Organological Congress, Belmonte, Portugal, 20–22 September 2019. [Google Scholar]
  9. Bokiau, B.; Poncelet, A.; Fisette, P.; Docquier, N. Multibody Model of a Grand Piano Action Aimed at Understanding and Demystifying the Escapement Principle. In Proceedings of the 2nd Joint International Conference on Multibody System Dynamics, Stuttgart, Germany, 29 May–1 June 2012. [Google Scholar]
  10. MacLean, K.E. Haptic interaction design for everyday interfaces. Rev. Hum. Factors Ergon. 2008, 4, 149–194. [Google Scholar] [CrossRef]
  11. Xia, P. New advances for haptic rendering: State of the art. Vis. Comput. 2016, 34, 271–287. [Google Scholar] [CrossRef]
  12. Parlitz, D.; Peschel, T.; Altenmüller, E. Assessment of dynamic finger forces in pianists: Effects of training and expertise. J. Biomech. 1998, 31, 1063–1067. [Google Scholar] [CrossRef]
  13. Hirschkorn, M.C. Dynamic Model of a Piano Action Mechanism. Ph.D. Thesis, University of Waterloo, Waterloo, ON, Canada, 2004. [Google Scholar]
  14. Horváth, P.; Törocsik, D. Magnetic Issues of a Haptic Keyboard; Szãlchenyi Istvã an University: Gyöor, Hungary, 2013. [Google Scholar]
  15. Askenfelt, A.; Jansson, E.V. From touch to string vibrations. I: Timing in the grand piano action. J. Acoust. Soc. Am. 1990, 88, 52–63. [Google Scholar] [CrossRef]
  16. Askenfelt, A.; Jansson, E.V. From touch to string vibrations. II: The motion of the key and hammer. J. Acoust. Soc. Am. 1991, 90, 2383–2393. [Google Scholar] [CrossRef]
  17. MacLean, K.E. Designing with haptic feedback. In Proceedings of the IEEE International Conference on Robotics and Automation (ICRA’00), San Francisco, CA, USA, 24–28 April 2000; Volume 1, pp. 783–788. [Google Scholar]
  18. Askenfelt, A.; Jansson, E. Du toucher aux vibrations des cordes. Musique Technol. Rev. Prof. Facture Instrum. 2007, 2, 59–73. [Google Scholar]
  19. Bokiau, B.; Ceulemans, A.E.; Fisette, P. Historical and dynamical study of piano actions: A multibody modelling approach. J. Cult. Herit. 2017, 27, S120–S130. [Google Scholar] [CrossRef]
  20. Samin, J.C.; Fisette, P. Symbolic Modeling of Multibody Systems; Springer: Dordrecht, The Netherlands, 2003. [Google Scholar]
  21. MicroSystems, A. Continuous-Time Ratiometric Linear Hall-Effect Sensor ICs: A1301 and A1302. Available online: https://www.allegromicro.com/~/media/Files/Datasheets/A1301-2-Datasheet.ashx (accessed on 2 September 2020).
  22. Sick. Displacement Measurement Sensors OD2-P300W200I0. Available online: https://www.sick.com/media/pdf/5/15/915/dataSheet_OD2-P300W200I0_6048912_en.pdf (accessed on 2 September 2020).
  23. Gillespie, R.B.; Yu, B.; Grijalva, R.; Awtar, S. Characterizing the feel of the piano action. Comput. Music J. 2011, 35, 43–57. [Google Scholar] [CrossRef]
  24. McPherson, A. Techniques and Circuits for Electromagnetic Instrument Actuation. In Proceedings of the 12th International Conference on New Interfaces for Musical Expression, Ann Arbor, MI, USA, 21–23 May 2012. [Google Scholar]
  25. Thorin, A.; Boutillon, X.; Lozada, J. Modelling the dynamics of the piano action: Is apparent success real? Acta Acust. United Acust. 2014, 100, 1162–1171. [Google Scholar] [CrossRef]
  26. Hayward, V. A Brief Overview of the Human Somatosensory System. In Musical Haptics; Springer: Berlin/Heidelberg, Germany, 2018. [Google Scholar]
  27. Maridor, J.; Markovic, M.; Perriard, Y. Kalman filter to measure position and speed of a linear actuator. In Proceedings of the 2011 IEEE International Electric Machines & Drives Conference (IEMDC), Niagara Falls, ON, Canada, 15–18 May 2011; pp. 330–335. [Google Scholar] [CrossRef]
  28. Lewiston, C. MaGKeyS: A Haptic Guidance Keyboard System for Facilitating Sensorimotor Training and Rehabilitation. Ph.D. Thesis, MIT Media Laboratory, Cambridge, MA, USA, 2008. [Google Scholar]
  29. Varalakshmi, B.; Thriveni, J.; Venugopal, K.; Patnaik, L. Haptics: State of the art survey. Int. J. Comput. Sci. Issues 2012, 9, 234–244. [Google Scholar]
  30. Moten, S.; Celiberti, F.; Grottoli, M.; van der Heide, A.; Lemmens, Y. X-in-the-loop advanced driving simulation platform for the design, development, testing and validation of ADAS. In Proceedings of the IEEE Intelligent Vehicles Symposium (IV), Changshu, China, 26–30 June 2018. [Google Scholar] [CrossRef]
  31. Paris, J.N.; Archut, J.L.; Hüsing, M.; Corves, B. Haptic simulation and synthesis of mechanisms. Mech. Mach. Theory 2020, 144, 103674. [Google Scholar] [CrossRef]
  32. Khadim, Q.; Kaikko, E.P.; Puolatie, E.; Mikkola, A. Targeting the user experience in the development of mobile machinery using real-time multibody simulation. Adv. Mech. Eng. 2020, 12. [Google Scholar] [CrossRef]
  33. Hooshiar, A.; Najarian, S.; Dargahi, J. Haptic Telerobotic Cardiovascular Intervention: A Review of Approaches, Methods, and Future Perspectives. IEEE Rev. Biomed. Eng. 2020, 13, 32–50. [Google Scholar] [CrossRef] [PubMed]
Figure 1. Grand piano action and its Computer Aided Design (CAD) replica.
Figure 1. Grand piano action and its Computer Aided Design (CAD) replica.
Machines 08 00076 g001
Figure 2. Haptic force feedback principle.
Figure 2. Haptic force feedback principle.
Machines 08 00076 g002
Figure 3. View of the haptic key prototype.
Figure 3. View of the haptic key prototype.
Machines 08 00076 g003
Figure 4. Detailed view of the prototype elements: (1) Actuator; (2) Key; (3) Coil support; (4) Coil; (5) Spacers; (6) Magnets on steel walls.
Figure 4. Detailed view of the prototype elements: (1) Actuator; (2) Key; (3) Coil support; (4) Coil; (5) Spacers; (6) Magnets on steel walls.
Machines 08 00076 g004
Figure 5. Multibody model elements for a double escapement piano action: bodies, joints, stops, springs.
Figure 5. Multibody model elements for a double escapement piano action: bodies, joints, stops, springs.
Machines 08 00076 g005
Figure 6. Position sensor measurements: one slow movement.
Figure 6. Position sensor measurements: one slow movement.
Machines 08 00076 g006
Figure 7. Position sensor measurements: several fast up-and-down movements.
Figure 7. Position sensor measurements: several fast up-and-down movements.
Machines 08 00076 g007
Figure 8. Components of the actuator: (1) Coil; (2) Superior PMs; (3) Inferior PMs; (4) Iron pieces; (5) Air gap. Red and blue colors on the magnets correspond to opposite magnetization direction.
Figure 8. Components of the actuator: (1) Coil; (2) Superior PMs; (3) Inferior PMs; (4) Iron pieces; (5) Air gap. Red and blue colors on the magnets correspond to opposite magnetization direction.
Machines 08 00076 g008
Figure 9. Actuator side and front views: parameters used during optimisation.
Figure 9. Actuator side and front views: parameters used during optimisation.
Machines 08 00076 g009
Figure 10. Force profiles F mod considered for the presizing.
Figure 10. Force profiles F mod considered for the presizing.
Machines 08 00076 g010
Figure 11. Magnetic field amplitude (T) for different iron pieces thicknesses, 3D view.
Figure 11. Magnetic field amplitude (T) for different iron pieces thicknesses, 3D view.
Machines 08 00076 g011
Figure 12. Voltage decomposition according to (4) for the soft force profile.
Figure 12. Voltage decomposition according to (4) for the soft force profile.
Machines 08 00076 g012
Figure 13. Results for the two considered force profiles using FEM simulations.
Figure 13. Results for the two considered force profiles using FEM simulations.
Machines 08 00076 g013
Figure 14. Coil current density during the two profiles. RMS value is computed over the duration considered.
Figure 14. Coil current density during the two profiles. RMS value is computed over the duration considered.
Machines 08 00076 g014
Figure 15. Force-current relation: the slope corresponds to K f .
Figure 15. Force-current relation: the slope corresponds to K f .
Machines 08 00076 g015
Figure 16. Force-position relation, for a constant input current.
Figure 16. Force-position relation, for a constant input current.
Machines 08 00076 g016
Figure 17. Key position applied for actuator validation.
Figure 17. Key position applied for actuator validation.
Machines 08 00076 g017
Figure 18. Measured actuator coil force compared to the target.
Figure 18. Measured actuator coil force compared to the target.
Machines 08 00076 g018
Figure 19. Key position applied for the validation with piano action model.
Figure 19. Key position applied for the validation with piano action model.
Machines 08 00076 g019
Figure 20. Vertical key velocity and acceleration during the validation.
Figure 20. Vertical key velocity and acceleration during the validation.
Machines 08 00076 g020
Figure 21. Measured and targeted forces during validation with the piano action model.
Figure 21. Measured and targeted forces during validation with the piano action model.
Machines 08 00076 g021
Figure 22. Measurements of the force felt by the pianist F h a p t i c through an external linear actuator for the Renner® demonstrator (up) and the haptic prototype (bottom).
Figure 22. Measurements of the force felt by the pianist F h a p t i c through an external linear actuator for the Renner® demonstrator (up) and the haptic prototype (bottom).
Machines 08 00076 g022
Figure 23. Haptic force measured on the Renner® demonstrator of Figure 1 and on the prototype of Figure 3.
Figure 23. Haptic force measured on the Renner® demonstrator of Figure 1 and on the prototype of Figure 3.
Machines 08 00076 g023
Table 1. Results of the presizing after the optimisation.
Table 1. Results of the presizing after the optimisation.
Variables (Units)Soft ProfileDouble Blow Profile
h b (mm)19.619.8
l b (mm)2.12.1
E j (J)0.0360.11
P j , m e a n (W)0.180.22
Table 2. Recapitulative table of parameters: presizing, FEM simulation and measurements.
Table 2. Recapitulative table of parameters: presizing, FEM simulation and measurements.
Parameters (Units)PresizingFEM SimulationMeasures
Coil mass m (kg)0.070/0.065
Resistance R ( Ω )10.78/12.6
Inductance L (mH)/10.3210.64
Publisher’s Note: MDPI stays neutral with regard to jurisdictional claims in published maps and institutional affiliations.

Share and Cite

MDPI and ACS Style

Timmermans, S.; Dehez, B.; Fisette, P. Multibody-Based Piano Action: Validation of a Haptic Key. Machines 2020, 8, 76. https://doi.org/10.3390/machines8040076

AMA Style

Timmermans S, Dehez B, Fisette P. Multibody-Based Piano Action: Validation of a Haptic Key. Machines. 2020; 8(4):76. https://doi.org/10.3390/machines8040076

Chicago/Turabian Style

Timmermans, Sébastien, Bruno Dehez, and Paul Fisette. 2020. "Multibody-Based Piano Action: Validation of a Haptic Key" Machines 8, no. 4: 76. https://doi.org/10.3390/machines8040076

APA Style

Timmermans, S., Dehez, B., & Fisette, P. (2020). Multibody-Based Piano Action: Validation of a Haptic Key. Machines, 8(4), 76. https://doi.org/10.3390/machines8040076

Note that from the first issue of 2016, this journal uses article numbers instead of page numbers. See further details here.

Article Metrics

Back to TopTop